如果我问你三阶魔方状态数有几种,能够回答出4.3千亿亿的我估计没有几个。
如果我问你二阶魔方状态数有几种,能讲出367万的更是寥寥无几。
如果我问你任意阶的魔方有多少种状态,有没有统一的函数表达式,你估计已经想抄起平底锅打我了。
但是你还是不知道呀。
好了希望你在看完这篇文章之后能够彻底弄懂所有的这些问题。
我们先约法三章:
- 我们不考虑对称性
- 我们的每一个块只有颜色,不标数字文字等
- 我们以六阶作为偶数阶代表,七阶作为奇数阶代表
首先我们来热热身,看看二阶的状态数量G2。

因为二阶没有中心块来确定坐标,所以我们必须要定义一个角块来确定坐标。事实上就只有7个角块用来排列了。而当7个角块排列的时候,只有6个角块可以自由选择方向,第7个角块的方向取决于前6个,所以说是3^6。
搞懂了么?
我们接着看三阶的状态数量,这个就比较难了。

首先,三阶有8个角块可以排列,7个角块的方向自由选择,最后1个角块被唯一确定。12个棱块也是同样的道理,11个棱块的的方向自由选择,最后1个棱块被唯一确定。那为什么还要除以2呢,你可以简单的理解为这样排列的魔方只有一般是可以还原的。具体为什么,我们留到文末讨论。
那高阶是什么样一个情况呢?
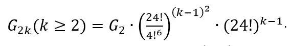
我们把六阶(偶数阶代表)分为角块、翼棱组和中心组3种块。


一开始肯定看不懂,别急。
角块
2k自然表示偶数阶。那么六阶的时候k=3。
G2我们已经讨论过了,偶数阶的角块和二阶的角块是一样的。
翼棱组
翼棱简单一些。
我们总共有24个翼棱可以任意排列,就是24!。对于2k阶偶数阶魔方来说,就有k-1个翼棱,所以指数是k-1。
那你要问我?为什么这个时候没有2^24次方这种东西了呢?
你想象一下,你单独翻一个三阶棱块你可以装回去么?可以。
单独翻一个四阶棱块呢?根本塞不回去。
你魔方都装不起来你还和我讨论什么变化情况呢?
然后你肯定又来找我茬,你说不对啊,四阶就是有翻棱的情况的呀?

但是四阶的翻棱和三阶不同。四阶翻棱本质上是一种棱块位置交换。
就看上面那张图,原来1的位置翻棱之后并不在原地,而是跑到了2的位置。反之同理。
你要是再不信你可以自己做个记号试一下。
中心组
那么后面一项是什么?是中心组,我们一步步来看。我们在上图标出来的中心组一共有4种中心块。
对于其中的每一种中心块来说,每一面都有4个,总共24个,可以任意排列,24!。
他们在一个面上就会有4!种排列。
我们知道,不管这个中心块在一个面上怎么排,都不影响魔方的状态。
所以我们要把24!除掉6个面,每一个面上的4!。
由于每一个中心块都是独立的,我们就可以把总的结果乘起来。对于2k阶偶数阶来说,中心组共有(k-1)^2种中心块。
所以最外面的指数是(k-1)^2。
所以我们可以得到这样一个解析式:

偶数阶魔方状态解析式
我们再来看看七阶。
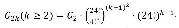
我们把七阶(奇数阶代表)分为角块、中心棱、翼棱组和中心组4种块。


角块和中心棱
2k+1自然表示奇数阶。那么七阶的时候k=3。
G3我们也已经讨论过了,奇数阶的角块和中心棱和三阶的角块棱块是一样的。
所以我们直接把他们视作三阶。
翼棱组
翼棱简单一些。
我们总共有24个翼棱可以任意排列,就是24!。对于2k阶偶数阶魔方来说,就有k-1个翼棱,所以指数是k-1。
这个不管奇数阶和偶数阶是一样的。
中心组
中心组这一部分奇数阶偶数阶有一些差别。
我们在上图标出来的中心组一共有6种中心块。
下面和偶数阶是一样的。
对于其中的每一种中心块来说,每一面都有4个,总共24个,可以任意排列,24!。他们在一个面上就会有4!种排列。我们知道,不管这个中心块在一个面上怎么排,都不影响魔方的状态。所以我们要把24!除掉6个面,每一个面上的4!。由于每一个中心块都是独立的,我们就可以把总的结果乘起来。
下面和偶数阶是不一样的。
对于2k+1阶奇数阶来说,中心组共有k(k-1)种中心块。
所以最外面的指数是k(k-1)。
你看看是不是我中心组圈起来的这个长方形是不是有k(k-1)种块?
所以我们可以得到这样一个解析式:

奇数阶魔方状态解析式
为了给各路杠精戏精加点戏,你们可以自行验证一下
四阶:

五阶:

六阶:

七阶:

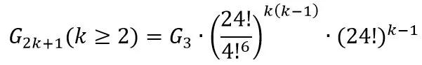
八阶:

为了描述这个数量级究竟有多大,我只告诉你们一件事情:
宇宙中原子的总数才10^80个,是的没错,全宇宙。
好啦~我们似乎都讲完了~
不对!还有最后一件事不能忘了,我们还没解释三阶里面那个奇怪的/2呢对不对?

我们为什么要放在最后介绍这个事情呢?
因为要引入新的概念,并且不知道这个概念并不影响我们理解高阶的计算。
好我们引入奇排列和偶排列的概念~

能明白么?
那么在三阶里面,交换两个角就是一个奇排列,交换三个角(三角换)就是偶排列。
无论如何,在一组数组中,奇排列和偶排列总是各占一半的,于是我们下面四种组合。
角奇——棱奇 角奇——棱偶 角偶——棱偶 角偶——偶奇
这没问题吧?

绿色存在 红色不存在
只有三阶的棱块和角块存在着一种制约关系,当他们为一奇一偶的时候不能还原,同奇同偶的时候可以还原。
希望你读完此文后,能彻底弄懂魔方的变化状态数。