【研究背景】
锂离子电池的安全性需求推动了全固态锂离子电池的发展。固态电解质的应用为提高锂电池的能量和功率密度提供了机会,但同时也面临着生产可扩展性、界面相互作用和环境稳定性等挑战。为了充分发挥无机电解质在全固态电池中的潜力,利用聚合物和陶瓷填料的协同特性,提出了复合电解质。复合电解质需要克服均匀性和离子通道连接的挑战,以达到与掺杂盐类聚合物电解质相当的离子导电性和机械强度。为此,通过设计创新的聚合物,并调控填料表面功能来优化复合电解质性能。
【内容简介】
本研究使用具有大表面积和优异热力学相容性的二元核-壳纳米粒子(NPs)开发了固态单离子导电的混合电解质。通过控制NPs的尺寸和数量比例,共组装了超晶格结构,通过高度互联的通道促进了Li+的传导。二元聚合物纳米粒子(BNPs)电解质在25°C下表现出了0.94的Li+传输数,10-4 S cm-1的离子导电性以及0.12 GPa的弹性模量。坚固的核心颗粒使机械性能在温度变化时保持稳定。使用BNPs电解质的全固态Li-S电池,显示出高放电容量、优异的倍率性能和良好的循环稳定性。
【内容详情】

图 1. 两种不同类型核壳聚合物纳米粒子的合成路线:(a) 核交联 PS(LiTFSI)纳米颗粒和 (b) PEO 接枝二氧化硅纳米颗粒。
通过采用两种不同类型的核-壳聚合物纳米粒子合成了BNPs 电解质,它们的核和壳都具有机械稳定性,能够促进 Li+的传输。图 1a 展示了交联聚苯乙烯(x-PS)内核和由poly(4-styrenesulfonyltrifluoromethylsulfonyl)外壳合成NPs路线(PS(LiTFSI) NPs)。为了增强 Li+在 BNPs 电解质中的传输,通过溶胶-凝胶反应合成了表面具有硫醇的二氧化硅NPs,然后利用硫醇-烯烃化学反应合成了接枝PEO的二氧化硅NPs(称为PEO NPs)(图1b)。TEM显示了PS(LiTFSI) NPs和PEO NPs的尺寸和形状(图1a b)。PS(LiTFSI) NPs和PEO NPs的平均直径分别为20 nm和60 nm。PS(LiTFSI)壳层的厚度为3-4 nm,而PEO壳层的厚度约为2-3 nm。

图 2.(a)自组装结构示意图;(b)不同质量比 PEO NPs 和 PS(LiTFSI) NPs 的 BNPs 电解质的 SEM 图。(c) PEO NPs : PS(LiTFSI) NPs = 6:1、3:1 和 3:2 不同质量比的 BNPs 电解质示意图和TEM 图和结构。
图2a显示了不同组成BNPs预期结构。PEO NPs和PS(LiTFSI) NPs之间的质量比为6:1对应于1:3的数量比,导致形成AB3结构。同样,PEO NPs和PS(LiTFSI) NPs之间的质量比为3:1和3:2,分别预期产生AB6和AB12结构。图2b表明PS(LiTFSI) NPs均匀覆盖在PEO NPs表面上,没有明显的宏观相分离。TEM图清晰显示了在BNPs电解质中通过调整PEO NPs和PS(LiTFSI) NPs的质量比得到的不同ABn结构。图2c显示了不同的超晶格对称性和PEO NPs之间间距的变化。重要的是,对于AB3和AB6结构,PEO NPs的互连结构保持完整,这对于减少Li+传输中的死角非常关键。然而,在AB12结构的BNPs中,PEO NPs的排列被打乱。

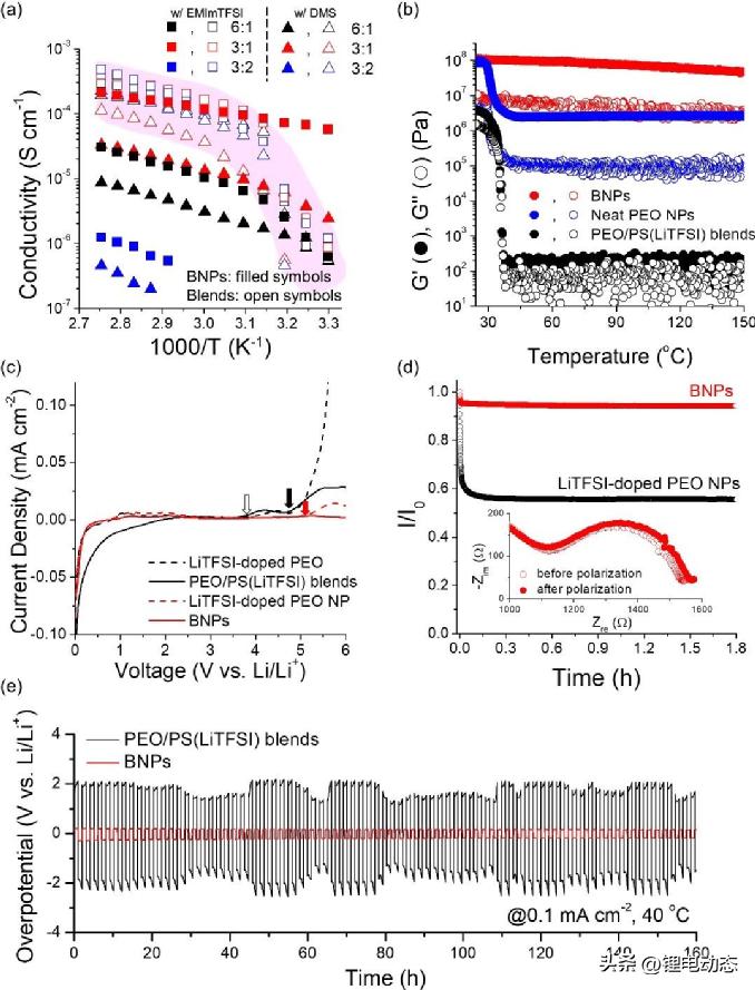
图 3. (a) 与 PEO/PS(LiTFSI)混合物电解质(开口符号)相比,含有 EMImTFSI和 DMS的 BNPs 电解质的离子电导率与温度的函数关系。(b) 含 DMS 的 AB6 结构 BNPs 与具有相同成分和添加剂的 PEO/PS(LiTFSI)混合物的存能模量和损耗模量。(c) BNPs 与 DMS 的线性扫描伏安图。(d) 在 ΔV = 50 mV 和 40 °C条件下对使用 BNPs 和掺杂 LiTFSI 的 PEO NPs 的锂对称电池进行的极化测试。(e) 在 J = 0.1 mA cm-2 和 40 ℃条件下对 BNPs 和 PEO/PS(LiTFSI)混合物进行的锂镀层/剥离测试。
研究了不同共组装结构的BNPs电解质的温度和离子导电性的关系。为了缓解由于NPs之间的空隙导致的离子传输受阻的问题,在形成超晶格后引入了固态添加剂(4 wt% 二甲基*砜亚**,DMS)或离子液体(10 wt% EMImTFSI)来填充这些空隙。如图3a所示,具有AB6结构的BNPs无论使用何种添加剂,都表现出最高的离子导电性。具有AB3结构的BNPs的导电性比AB6结构的低约2-10倍。
尽管AB12结构的BNPs相对于AB6结构具有两倍的Li+浓度,但其导电性明显较低。PEO / PS(LiTFSI)的导电性不明显依赖于组成。共组装PEO NPs和PS(LiTFSI) NPs结构的BNPs电解质在提高力学性能方面表现出显著优势。图3b显示了带有DMS的AB6结构BNPs的储能(G')和损耗(G")模量。结果无疑表明BNPs电解质通过超晶格结构的独特设计避免了传统的导电性和力学强度之间的权衡,从而在固态单离子电解质领域取得了重要突破。图3c展示了与其他双离子或单离子聚合物电解质相比,BNPs电解质具有明显更高的电化学稳定性。
这些发现强调了BNPs电解质作为高压正极材料的重要潜力。利用Li对称电池进行极化实验,结合电化学阻抗谱测定了BNPs电解质的tLi+值。图3d比较了在50 mV和40℃的极化后2小时内测得的电流密度。通过分析极化前后的界面电阻值确定了tLi+值为0.94,从而确认了BNPs电解质的单离子导电特性。利用BNPs改善了锂剥离和电镀过程中的循环稳定性(图3e)。进行锂剥离和电镀时,过电位始终保持较低。这些发现确认了BNPs提供的增强循环稳定性主要来自于其强大的机械强度核心,明显的纳米限制效应以及通过高tLi+值防止阴离子耗尽。因此,成功地防止了枝晶体形成和随后的短路。

图 4. (a) 在 0.05 C和 25 ℃条件下测量的锂/BNPs/聚(S-TABQ)电池的充放电电压曲线、(b) 比容量和库仑效率。(c) Li/BNPs/poly(S-TABQ) 电池与掺杂 Li/LiTFSI 的 PEO NPs/poly(S-TABQ) 电池在 1 C和 25 ℃下的充放电电压曲线比较。(d) 使用不同添加剂制造的 BNPs 聚(S- TABQ)锂电池在 25 ℃ 下的倍率性能。(e) 与使用掺杂 LiTFSI 的 PEO NPs 的电池相比,使用 BNPs 的聚(S-TABQ)锂电池在 25 °C 下 200 个循环的循环寿命。
使用聚(S-TABQ)作为活性材料,铝作为电流收集器制备了硫阴极。图4a显示使用BNPs电解质的Li-S电池在0.05C和25℃下的恒流放电和充电过程的代表性电压曲线。初始放电和充电容量分别为1090 mAh g-1和1147 mAh g-1,库伦效率(CE)为95%。CE值在前五个循环内迅速达到高值(>99%)。值得注意的是,Li / BNPs / poly(S-TABQ)电池表现出较小的极化,表明通过单离子导电的BNPs电解质实现了高效的电荷传输动力学。
在图4b中绘制了50个循环后的放电容量,容量保持率为87%,并在长时间循环中保持较高的CE值(>99%)。这些结果表明在电极表面形成了稳定的固体电解质界面(SEI)。高且稳定的高CE值表明通过使用BNPs电解质,成功地减轻了Li-S电池中多硫化物穿梭效应。Li-S电池的性能严重依赖于BNPs电解质的导电性。AB3结构的BNPs比AB6结构的BNPs导电性低4.5倍(图3a)。这导致电池的极化从0.17V增加到0.22V,容量从1090 mAh g-1减少到695 mAh g-1。图4c比较了在1C和25°C下使用BNPs和LiTFSI掺杂的PEO NPs的Li-S电池的恒流充放电电压曲线。BNPs制备的锂电池容量保持率为96%,并伴随着100%的高CE。
相比之下,含有LiTFSI掺杂的PEO NPs的锂电池显示出明显较低的初始特定容量,并在后续充放电过程中迅速衰减。图4d展示了在25°C下,不同倍率的Li / BNPs / poly(S-TABQ)电池的放电容量。通过使用含有DMS的BNPs,Li电池展示出显著的倍率性能。此外,使用DMS的Li / BNPs / poly(S-TABQ)电池展示出了较长的循环寿命。图4e展示了在0.2C和1C下获得的代表性高放电容量和CE值。低倍率下的较低CE值可以归因于BNPs电解质中捕获的少量不可逆多硫化物损失。与多硫化物形成相比,通过BNPs的较慢多硫化物扩散导致了这一点,在低倍率下特别明显。
【结论】
通过利用两种不同尺寸和不同数目比例的核壳型纳米颗粒的共组装而实现的单离子电解质,将Li+给体PS(LiTFSI)纳米颗粒与Li+输运PEO纳米颗粒相结合,我们在室温下实现了10-4 S cm-1的离子导电率、0.94的锂转移数以及约0.1 GPa的机械强度,这些性质在较宽的温度范围内保持稳定。应用于全固态锂硫电池后具有显著改善的电化学稳定性、倍率性能和循环寿命。本研究将为利用固态混合电解质的未来高能量密度锂电池的安全运行铺平道路。
文章来源:中粉固态电池
注:本站转载的文章大部分收集于互联网,文章版权归原作者及原出处所有。文中观点仅供分享交流,如涉及版权等问题,请您告知,我将及时处理。