摘要:真空是空无一物吗?我认为:不是,真空中弥漫着一种基本粒子,我把它称为电磁力子,我本来想把它称为光子,但光子已被严格定义为光量子,其能量为hν。这种电磁力子是一粒一粒的基本粒子,打个比喻就像空气分子在我们周围一样。电磁力子是一切电磁现象的参与者,是电磁现象的根源。电磁力子是基本粒子,有确定的静止质量,只是现在的技术力量暂时无法精确测量,但是我们不能否认它的存在,我在正文中会列举一些间接的证据证明它的存在。既然我认为真空中弥漫着电磁力子,而且这些电磁力子高速自转,高速运动,频繁地进行相互激烈的碰撞,就像我们周围的空气分子一样,相互碰撞并交换动量和能量,需要指出的是电磁力子的自转角速度远高于我们常见的宏观物体。既然“真中”中充满着电磁力子,那么电磁波产生和传播机理就变得非常简单,电磁波的产生和传播就类似于空气中产生和传播声音一样,而不必用麦克斯韦方程组来解释,而且麦克斯韦方程组中用到一个位移电流假设,只要用上假设就存在很大的漏洞。电磁波的传播类似声波的传播,在这过程中,能量、动量、角动量,都因电磁力子间的碰撞而由近及远地传播,在这过程中都遵守能量守恒、动量守恒,角动量守恒定律。关键词:电磁力子;光子;电磁波;传播;碰撞;真空;动量;守恒RE UNDERSTANDING THE VACUUM AND PROPAGATION MECHANISM OF ELECTROMAGNETIC WAVELi Han-qiang(Dongguang opon university, Dongguang 523000 China)Abstract:Is a vacuum empty?I think: no, the vacuum is filled with lot of elementary particle, I call it the electromagnetron,The electromagnetron is particle by particle, metaphorically speaking, like the air molecules around us.Electromagnetron is the participant of all electromagnetic phenomena and the root of electromagnetic phenomena.The electromagnetron is an elementary particle with a definite rest mass. However,it cannot be accurately measured by the current technical force, but we cannot deny its existence. I will enumerate some indirect evidence to prove its existence in the text.I think:the electromagnetrons are in high-speed rotation and high-speed movement in the vacuum,they are in fierce collision each other frequently, like the air molecules around us, collide with each other and exchange of momentum and energy, it should be pointed out that rotation velocity of the electromagnetron is much higher than our common macroscopic object.Since the vacumm is filled witch lot of electromagnetrons,propagtion mechanism of electromagnetic wave become very simple, propagation of electromagnetic wave is similar to the propagation of a coustic wave in the air, and don’t have to be explained by maxwell’s equations, and displacemont current hypothesis is used in maxwell’s equations, as long as use hypothesis there is a big loophole.The propagation of electromagnetic wave is similar to the propagation of sound wave. In this process, energy, momentum and angular momentum are all propagated from near to far due to the collision between electromagnetrons. In this process, the conservation of energy, momentum and angular momentum are all observed.Keywords:electromagnetron;photon;electromagnetic wave;propagation;collision;vacuum;momentum;conservation回想经典力学中没有令人费解的假设,但到了麦克斯韦在电磁波传播的方程组中应引入了位移电流假设并预言电磁波的存在,随后赫兹用实验证明了电磁波的存在。麦克斯韦的预言终于得证实,于是人们就全面认可麦克斯韦方程组对电磁波的解释,包括对位移电流假设的承认。严重的逻辑问题就在这里,当一种理论可以解释一个现象时,就连这种理论的假设都获得承认。类似的情况还发生在狭义相对论中,当人们发现质量损失会产生大量的能量时,人们也承认了狭义相对论的假设,当然包括光速极限假设,可是当人们发现一些超光速现象时,例如在一些实验中发现中微子的运动速度比光速还快,人们并没有立即怀疑狭义相对论的正确性,当然我这里所指的是主流现象。其实,承认一种理论附带承认这种理论的假设本来就无可厚非,但是,在更多的假设上推导的理论更容易出现谬误。这就是我感到不踏实的地方,例如:光子的静止质量为0等等。下面我从几个方面去论证我的观点。1静电场的存在本身就证明了在我们所认为的“真空”中存在大量的电磁力子,像空气一样包围在静电荷周围。我们常说静电荷能产生电场,由库仑定律给出量化的描述。若进一步追问:场是什么?法拉第的答复是:场是一种特殊的物质。再深入一步提问:这种特殊的物质来源于哪里?我们知道在静电场中,带有静电荷的粒子本身质量没有发生变化,场这种特殊的物质并不是由带有静电荷的粒子发射出来,场这种特殊物质只能来源我们所认为的“真空”,但是我们会问:当没有静电荷粒子时,真空并没有测量到静电场的存在,场这种特殊的物质去了哪里呢?我认为:在没有带电粒子存在的情况下,在体积足够大的“真空”中大量的电磁力子处于无规则运动状态,即在一定的体积内,建立一个坐标系,电磁力子的动量之和为0, ,n是一定体积内的电磁力子的数量,是正整数。电磁力子的角动量之和为0,即: ;所以,在电场强度为0时,在现有技术的条件下无法测量到电磁力子的存在,但是当电场强度不为0时,真空中肯定存在场这种特殊物质,而这种物质早已存在“真空”里,只是这种特殊的物质电磁力子呈有规律的分布或有规则的运动而已。试想,当带电粒子周围的电磁力子呈有规律分布时(如,在一个足够大的封闭空间里,建立一个极坐标系,电磁力子的动量之和为0,电磁力子的自转角动量之和大于0 ,两个带电粒子相互靠近,它们周围的电磁力子呈有规律分布,当这个带电粒子周围的电磁力子相互碰撞时就会使这两个带电粒子产生相互作用力(库仑力)。2电磁波的存在就证明了真空存在电磁力子。大家都知道对波的定义是:某一物理量的扰动或振动在空间逐点传递时形成的运动称为波。我认为这种对波的描述过于理想化,其一是出现在“在空间中逐点”传递上,体现了波在空间传递的连续性,但实际状态下波的传播不总是具有连续性;其二,没有强调介质的作用,以致后来发展到认同电磁波[1-2]的传播不需要介质。我认为波的传播机理是这样的:传播介质在某处受到扰动或振动,通过介质间的相互作用或碰撞,把这种扰动或振动传播到更远的地方,介质的运动,在传播过程中遵守动量守恒,角动量守恒,能量守恒定律。也就是说,波传播的本质是介质运动造成的,是介质运动状态的传递,并由此而导致某个物理量的传递。由此可见,波的传播不能离开介质,就像真空不能传播声音的原理一样,但后来很多人认为电磁波的传播不需要介质,理由主要是找不到电磁波传播的介质,我认为这样的理由是站不住脚的,用现时的科技手段找不到电磁波的传播介质也不能说明它不存在。其实我们看到的光就是这种介质,电磁波也是这种介质。也许有人会提出迈克耳逊——莫雷实验已间接证明电磁波传播的介质(以前所说的以太)不存在,其实解释迈克耳逊——莫雷实验的结果可以有别的理由(例如地球对这种介质的拖曳效应)。当然我认为电磁波传播的介质并不是以前所说的以太,而是一种基本粒子——电磁力子,一种具有静止质量的远小于电子质量的基本粒子,这种粒子——电磁力子以庞大的数量在我们所认为的“真空”中高速运动(速度达到光速量级),相互激烈碰撞。因为这种介质(电磁力子)的存在,电磁波的传播就变成水到渠成的事,就类似于声音在空气中传播一样。下面我把电磁波的传播机理论述一下。(从机械运动的角度)。3电磁波的传播机理我们所处的宇宙中充满着电磁力子,它们都是一些高速运动,高速自旋的粒子,当一个物理事件(例如:碰撞)在空间发生时,必然会影响其周围的电磁力子的运动状况,但是这种影响存在一定的范围,是具有一定边界。

图一
打开百度APP看高清图片
图一
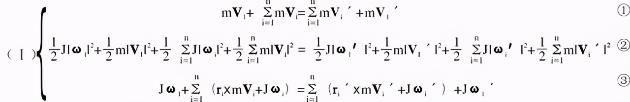
如图一所示,有一粒电磁力子在O点处,它们的运动方向和X轴的正方向一致,它的速度是V1,角速度是ω1,在这粒电磁力子的周围是一从此“平静”的(没有任何扰动)、无序的、处于动态平衡的空间,所谓动态平衡的空间是单位体积内的电磁力子数不变(类似饱和的概念),在足够大的确定的空间内,处于任何一种运动状态的电磁力子数量不变(主要是指质心运动速度的大小和方向以及自旋角动量的大小和方向)。无序空间是指在足够大的空间内,电磁力子的动量之和为0,角动量之和为0,单位体积内的电磁力子的能量之和为恒量(把质心动能和转动动能相加),电磁力子速率分布规律不变,电磁力子自旋角速度的大小的分布规律不变。这粒额外的电磁力子对于其周围的电磁力子产生什么影响?首先,这粒速度为V1,角速度为ω1,的电磁力子和周围的电磁力子(尤其是右边的)发生一系列的碰撞,对其周围的空间发生扰动;其次,周围的电磁力子受扰动后又对更大范围电磁力子产生碰撞,造成更大范围的扰动。但是这种扰动是逐渐减弱的,直到消失为止。就在这种扰动消失的位置,可把这些位置坐标连结成一个封闭曲面S,也就是说,这里发生的扰动是有一定范围的,有一定的边界S,这边界S(封闭曲面)所围成的体积V是确定的,而且体积V的这间是很小的。从O点到边界S的最长距离为R1,我把它称为扰动半径。扰动半径R1会因“外来”电磁力子的能量大小有所不同。其实边界S外的空间里的电磁力子间也进行着激烈的碰撞,只是这些碰撞没有因为这粒“额外”的电磁力子(V1,ω1)的经过而发生改变,也就是说,这粒“额外”的电磁力子的经过对边界S外的电磁力子的运动状况没有影响。我们知道,电磁波经过的空间在传播电磁波后,这个空间很快就“平静”下来重新回到原来的无序状态;也就是说,电磁波对这空间产生的扰动很快地消失了。根据空间里的电磁力子很快恢复“平静”性质,我们可以把S所包围的电磁力子看作一个整体,这样我们就可以列出以下碰撞方程组(以O点为极点,X轴方向为极轴建立一个极坐标系)。

其中m是电磁力子的质量,V1是“额外”电磁力子的速度,n是封闭曲面S内处于动态平衡时的电磁力子数量,Vi是闭合曲面S内其中一个电磁力子的速度,Vi'是碰撞扰动后曲面S内其中一个电磁力子的速度,V1'是碰撞扰动后(即曲面S内的空间恢复“平静”后),闭合曲面S里释放出的一粒“额外”的电磁力子的速度,J是电磁力子的转动惯量,ri是对应于速度为Vi的电磁力子的矢径,ωi是对应于速度Vi的电磁力子的自旋角速度矢量,ri'是对应于速度为Vi'的电磁力子的矢径,ωi'是对应于速度为Vi'的电磁力子的角速度矢量,ω1'是对应于速度V1'的电磁力子的角速度矢量。n在扰动前后保持不变。方程①根据动量守恒定律,方程②根据能量守恒定律得出,方程③是根据角动量守恒定律得出。由于闭合曲面S内的电磁力子的运动状态在碰撞扰动前后保持不变(但扰动过程中发生变化),在碰撞扰动前后,闭合曲面S内的电磁力子数量保持不变;也就是:

所以根据方程组(I),我们可以得出V1'=V1,ω1'= ω1 ,这个结论有重要的意义:当外界的一粒电磁力子(如状态为:V1,ω1 )对一个“平静”的空间发生碰撞扰动时,无论一系列的碰撞多么复杂,直到这个空间释放一粒相同运动状态(状态为V1,ω1 )的电磁力子后,这个受扰动的空间就可以恢复“平静”(回到受扰动前的状态)。这个状态为(V1,ω1)的电磁力子好像是沿直接穿过这个空间一样,但实际上,释放出来的状态为(V1,ω1)的电磁力子不一定是原来的那粒电磁力子,只是它们的运动状态相同而已。在闭合曲面S内,原来的那粒电磁力子在碰撞过程中运动状态发生改变。释放出来的电磁力子状态为(V1,ω1)又对相邻的有限空间作碰撞扰动,同理,这有限空间最后也会释放出运动状态相同的电磁力子(V1,ω1), 这样不断地重复进行下去,就形成了电磁波的传播了。连结释放出来的电磁力子状态为(V1,ω1)通过边界时和边界曲面的交点(图一的A点就是这样的交点),会得到一条直线,所以我们以足够大的空间观察电磁波的传播时,会认为它是沿直线传播的,当然,当发生衍射时,就显得不是直线传播了。我们观察磁波时,并不能看到某一粒电磁力子所产生的信号,而是大量电磁力子所产生的信号。假设有k个“额外”的电磁力子在“真空”中传播时,我们可以看出有k个方程组(I)的叠加,这样就可以使这k个“额外”的电磁力子在“真空”中传播,形成电磁波。4施温格效应也证明了“真空”中有大量的电磁力子存在。在施温格效应[3-4]中,在超强场的“真空”中产生正负电子对,正负电子这些物质不能凭空产生,组成正负电子的物质只能来自“真空”中的物质,这种物质就是电磁力子。当正负电子相撞湮灭而产生光波,正负电子里的物质重新又分解成电磁力子。在整从此施温格效应的过程中,我们只测量到电磁场、电磁波、正负电子。我认为过程是这样的:在超强场中的“真空”中的电磁力子呈有规律化分布(即建立一个极坐标系后单位体积内电磁力子的角动量之和不为0)或有规律运动,当极高自旋角速度而又极低质心运动速度的电磁力子聚集在一起(即电磁力子间距极小)就容易产生正负电子对。当正负电子相撞湮灭并产生光波,极高自转动能的电磁力子将部分转动动能量转移到电磁力子的质心运动动能,这过程中电子里的电磁力子分崩离析,电磁力子间的距离迅速拉大。从电子里分离出来的较高自转动能和质心运动能的电磁力子对周围的电磁力子形成冲击产生光波,这就是质量亏损而产生巨大能量的实质,其实,能量早已隐藏在组成物质的电磁力子极高的自转动能上,因而无须相对论的E=△mc2 来解释,这公式用来做经验公式倒也无妨。从施温格效应中可以看出,电磁力子是组成物质的基本粒子,电子质量是电磁力子质量的整数倍。5光电效应也说明电磁力子的存在大家都知道光电效应[5-8]说明光具有粒子性,光电效应的方程是:Ek=hν-w0(h为普朗克常数,ν为入射光的频率,Ek为被发射的电子动能,hν为一份光量子的能量。在我看来,一份光量子的能量远大于一个电磁力子所具备的动能(包括转动动能和质心运动动能)我们之所以在量子力学中常用hν作为一份量子能量,是因为这个量级的能量可令电子发生能级跃迁而可被测量而已。人们在光电效应所说的电子吸收了光量子的能量hν。那我要问,怎样吸收?我想人们难以回答。我认为,这个吸收过程就是一群电磁力子和电子发生碰撞而发生了动能的转移。把光电效应的方程改为:

k为参与碰撞的电磁力子数量,m为电磁力子质量,J为电磁力子的转动惯量,Vi为电磁力子碰撞前速度,Vi'为对应电磁力子碰撞后的速度,ωi为电磁力子碰撞前的自转角速度,ωi'为对应电磁力子和电子碰撞后的角速度。这就表明只有“真空”中存在电磁力子才能很好地解释光电子吸收动能量的细节,否则难以解释。6脉冲量的制动效应也说明“真空”有电磁力子存在。人类已发现多颗脉冲量,发现脉冲量普遍具有制动现象[7-15],即脉冲量自转速度越来越慢,通过观察,以脉冲量的自转周期来计时,数千万年才慢1秒(当然不同的脉冲量数据不一样),而且脉冲量表面的线速度很高,有些达到亚光速,所以脉冲量转速的减慢是由于“真空”中电磁力子对高速转动的脉冲量表面产生的阻力。所以,脉冲量的制动效应说明“真空”不空,弥漫着大量的电磁力子。7微观粒子的运动状况也证明“真空”中有大量电磁力子。我们都知道微观粒子的运动存在不确定性,这种不确定性的根本原因是“真空”中弥漫着电磁力子,微观粒子和电磁力子发生碰撞,从而交换动能和动量。原子核外“电子云”就是这种现象之一。结论:综上所述以及对大量的微观世界粒子运动状态的观测,说明“真空”弥漫大量的构成物质基础的基本粒子——电磁力子。正是基于“真空”存在大量的电磁力子,电磁波才得以传播。参考文献[1]张景,付海洋.电磁波在任意磁偏角等离子体中的传播[J].电波科学学报,2017,32(06):629-637.ZHANG J,FU H Y. Electromagnetic wave propagation in magnetized plasmas with arbitrary inclination angle[J].CHINESE JOURNAL OF RADIO SCIENCE, 2017,32(06):629-637.[2]刘康,黎湘,王宏强,程永强.涡旋电磁波及其在雷达中应用研究进展[J].电子学报,2018,46(09):2283-2290.LIU K,LI X,WANG H Q,CHENG Y Q. The Advances of Vortex Electromagnetic Wave in Radar Applications[J]. ACTA ELECTRONICA SINICA, 2017,32(06):629-637.[3]李玉琼.量子电动力学重整化理论的形成[J].上海工程技术大学学报,2001(03):193-198.[4]谢柏松,李子良,唐琐,刘杰.超强场下的正负电子对产生[J].物理,2017,46(11):713-720.XIE B S,LI Z L,TANG S,LIU J. Electron-positron pair production in ultrastrong fields[J]. physics,2017,46(11):713-720.[5]徐誉洲,肖洪洋,罗泽,李欢欢,彭川黔,龚恒翔.光电效应测量单色光波长[J].科技资讯,2019,17(16):39-41.[6]彭寿斌,彭飞.用光的纯电场性来解释光电效应等十三种光学现象[J].科学技术创新,2020(29):41-42.[7]汪洋.地表铁锰氧化物矿物膜转化太阳能光电效应[J].资源环境与工程,2019,33(03):447.[8]鲁安怀,李艳,丁竑瑞,王长秋,许晓明,刘菲菲,刘雨薇,朱莹,黎晏彰.天然矿物光电效应:矿物非经典光合作用[J].地学前缘,2020,27(05):179-194.[9]李林森.脉冲星磁衰减制动力矩对两成分模型自旋的长期减速(理论研究)[J].天文研究与技术,2020,17(01):21-26.[10]杭恒荣,王德焴.脉冲星的制动系数[J].天文学报,1984(02):107-111.[11]A. Qadir,M. Rafique.脉冲星的能量损失和年龄估计[J].科学通报,1983(09):543-545.[12]乔国俊,吴鑫基,张汉,夏晓阳.关于脉冲星制动指数的一些讨论[J].科学通报,1985(05):367-370.[13]高旭东,张双南,付建宁.正常脉冲星计时噪声的研究进展[J].天文学进展,2016,34(02):163-180.[14]胡永峰,仝号.环加速间隙下的脉冲星星风制动模型[J].天文学报,2020,61(03):123-134.[15]熊雪宇,高春媛,徐仁新.中子星制动机制的研究[J].原子核物理评论,2013,30(01):17-21.