说到ASI相机,第一时间浮现在你脑海里的,可能是ASI1600、ASI071、ASI294等。这些相机性能强悍,不少优秀的国际大作都是用它们拍摄出来的。
不过今天,我们不打算聊这几个耳熟能详的相机。我们要聊一聊一款新相机,ASI相机家族的小兄弟——ASI533MC Pro。你可能在前阵子的星空大会上有看到过这台相机,早闻其名,但是未知其详。
这是我们第一次公开宣传这款相机,我们给它的定位是:最适合入门的深空摄影相机。

价格
既然我们在标题中说到性价比,那么肯定要谈到价格,这里我们不卖关子,直接公布:
ASI533MC Pro定价人民币5980元,马上就可以接受预定。
在目前所有在售的ASI深空相机中,ASI533MC Pro的价格接近最低,只比ASI183MC Pro贵了500元。事实上,用户们不妨将它看作是ASI183MC Pro的全面升级版。
命名
细心的朋友们,可能会关注ASI533MC Pro的命名。按照ZWO一向的规则,ASI是ZWO的天文相机品牌,533代表Sony最新背照式芯片IMX533,M代表CMOS,C代表彩色相机,Pro则意味着它性能进阶,拥有DDR3缓存和冷冻性能。
下面这张图可能会帮助你更好的认识ASI相机的命名规则:

IMX533背照式传感器
ASI533MC Pro采用SONY最新背照式IMX533传感器,1英寸方形画幅,分辨率3008*3008。背照式相较于传统的前照式芯片,光线利用率提升,从而拥有更高的灵敏度和信噪比。我们现在能看到的比较新的CMOS天文相机,几乎都是背照式的了。
而1英寸方形画幅不仅大小适中,而且正方形也更适合构图。对于刚入门的天文摄影爱好者们很友好。值得注意的是,我们在选择相机时,并非画幅越大越宽就越好,选择自己更容易操作的才是正道。
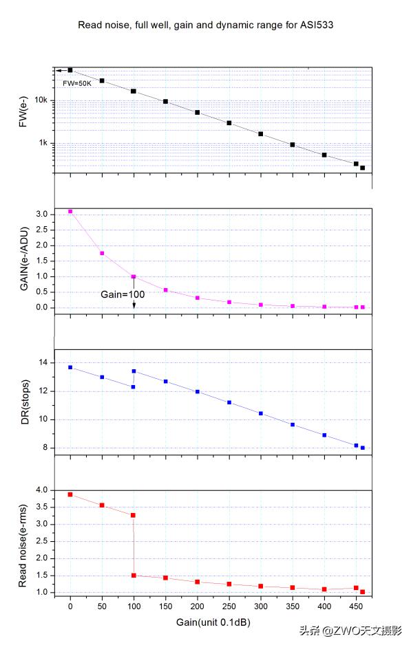
此外,ASI533MC Pro的像素大小为3.76um,满阱50ke,和旗舰相机ASI6200一致。14bit ADC下,动态范围可以达到14 stops。高动态范围带来的影响是显著的,在长曝光下,明部细节得以显示,但又不至于过曝以致失去星点本身的色彩。这样,整个画面的色彩和影调就会更加细腻丰富。

除了以上参数,各位深空摄影爱好者在在挑选相机时,最关注的无外乎于量子效率、读出噪声、暗电流和辉光等。在这里,我们可以先肯定的说一句,ASI533MC Pro虽然作为入门级相机,但这些方面的表现不输旗舰机。下面我们一一分析:
量子效率
量子效率(QE,Quantum Efficiency)很容易理解,它指的是传感器的光电转换效率。相机感光元件上每个像素接收到光子,会有一定的概率被转化为电子。通常情况下,单反相机的量子效率比较低,传统单反的QE峰值大概在50%左右,而ASI深空相机率则在70%-80%之间,ASI533MC Pro的量子效率大于80%,可以说是位列前沿了。
而量子效率越高,相机的灵敏度就越高。
读出噪声
在噪声方面,ASI533MC Pro的读出噪声在1.0e-3.8e之间。增益为0时,读出噪声3.8e,增益越高,读出噪声越低。增益大于100时,读出噪声断崖式下降,最低可达到1.0e!超低的读出噪声显著提升了相机的信噪比,极大的减少了后期处理负担。

暗电流
我们在考虑降低噪声时,除了降低读出噪声,还有一种有效的方法——制冷。给传感器制冷,可以大幅降低暗电流噪声。暗电流噪声在短曝光下无足轻重,但是深空摄影中动辄需要进行长曝光,导致暗电流成倍增长,累计下来不容小觑。有效的制冷不仅可以抑制暗电流,还可以保持恒温,有助于拍摄温度准确的暗场。
ASI533MC Pro在制冷方面做了一些努力。和旗舰相机ASI6200 Pro系列一样,我们采用了2级TEC制冷器,在环境温度30℃测试结果下,能将CMOS传感器下降到40°以下。换而言之,就是制冷温差高达40°!
制冷带来的效果显著,如下图所示,制冷到-10℃时,暗电流仅为0.00048e/s,几乎可以忽略不计。

辉光
一直以来,辉光都是深空摄影的几大难题之一。辉光到底是什么?通俗的讲,就是传统CMOS传感器在通电工作时,会产生微弱的红外光,当相机处于曝光过程中相当于一个发光源。这个光源会导致拍摄图像有很明显的亮块。

(有辉光-曝光300秒照片成像)
如图所示,曝光300秒下,辉光非常明显,严重影响图像质量。
这个困扰很多天文摄影爱好者的难题,在ASI533MC Pro这得到了解决,我们非常自豪的说,ASI533MC Pro无辉光!在实际拍摄中,无论你使用长曝光还是高增益,图像都不会再受到辉光的影响。

(无辉光-曝光300秒照片成像)
DDR3缓存
USB 2.0到3.0的转变,意味着传输速率的大大提升,这在ASI相机中被广泛使用。而256M的DDR3内存,可以保证数据传输稳定——丢帧?不存在的!ASI533MC Pro在USB 3.0和DDR3缓存上的使用,大大节省了广大天文摄影爱好者们的时间和精力。

系列三宝
从星空大会开始,我们一直在对外“*绑捆**”宣传的今年的三款新相机:ASI6200MM/MC Pro、ASI2600MC Pro以及ASI533MC Pro。

不难看出,在我们的定位中,ASI6200 Pro系列属于旗舰相机,其全画幅、高分辨率、16bit ADC等参数使它毫无疑问的成为系列的老大哥。而ASI533MC Pro,则凭借其小巧玲珑,成为队内老小,最最适合刚入门的用户使用。
不仅如此,各位对ASI6200 Pro系列相机期待已久、却苦于其价格昂贵的爱好者们,也可以选择ASI533MC Pro。
为什么这么说?正如我们前面提到的,除却芯片尺寸等问题,ASI533在多方面的表现,都不输ASI6200。诸位完全可以花5980的价钱,提前体验接近3万的相机的拍摄效果。等到ASI6200 Pro系列正式发售,相信大家届时,已经对这一款旗舰相机的性能成竹在胸了。
讲到这里,一定有人好奇我们“系列三宝”三款相机的具体参数差异,能说的我们这里已经说了,其他的就不再赘述,欲知详情,咱们下回分解。