没想到比披着羊皮的狼更恐怖的是披着周五外皮的周四啊!
“女儿呀,这个月生活费给你打过去了,咱家虽说不缺钱,但你也要看着点花啊。”
“知道了妈,我十点花。” #多一分钟都不行!#
没想到还有脚脖子修容



微博@终月冥
鲁迅曾写过:在我的后园,可以看见墙外有两株树,一株是枣树,还有一株也是枣树。
小时不懂,如今有了调休,反倒有种莫名地理解。
因为在这一周里,可以看见两个最后的工作日,一个是周五,另一个也是周五。 #笑死,工地人表示工地不停我不停#
军训时防晒千万别涂太多



中国最早的说唱厂牌是龙门镖局,他们专业搞押运的! #那他们的对手厂牌应该是丐帮,因为丐帮的每个人都很real,而且都梳着脏辫#
当娃娃脸到中年时的样子



我是处于社交恐惧症和社交牛逼症的中间,简称︰社交牛杂症 #独自出门:我给老子您赔不是。和朋友出门:快来给劳资赔不是#
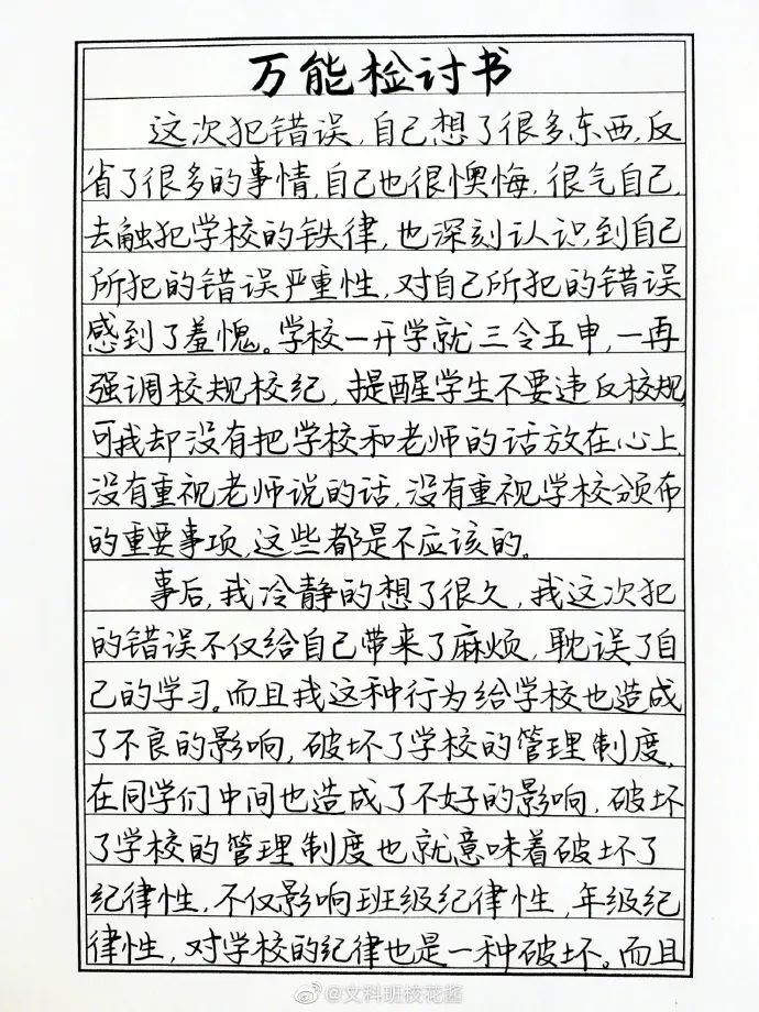
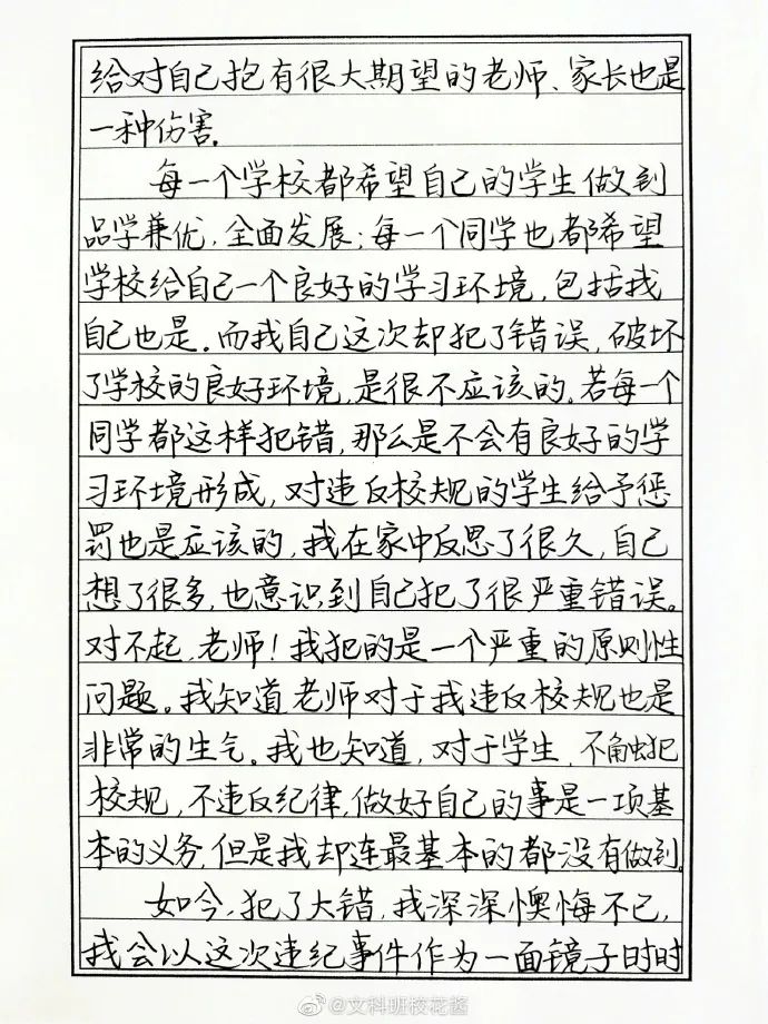
检讨书的万能模版,以后不怕犯错误了



微博@鞭鞭于白水
爱工作的人可真幸福啊,人生短短几十年,他们的快乐时间最长 #真的有爱上班的人吗?#
当月饼出现在柳州






微博@原耽bot
他总算明白了为什么网上很多人说:“人类需要小狗。”
因为人类需要拥抱,需要一双干净的、只盛着自己的眼睛,需要一些热乎乎的真心。 #舔狗是这个世界的光!#
怎么浇灭我爱情的火


微博@難自渡
永远不要对别人有太多的指望,无论多么亲近的关系都不行。尤其是不要把自己的情绪和生活寄托在别人身上,只有自己拥有了快乐的能力两个人在一起才会更快乐,要学会满足自己的期待,而不是去期待别人。 #最可靠的还是自己#
书法写一半写不下了


怀疑男朋友是只七星瓢虫


