这期来谈谈数学方面的话题。欧拉公式被誉为“最美数学公式”,它把e(自然对数的底)、π(圆周率)、i(虚数单位)、整数0和1联系在一起。

笔者第一次见到这个式子是在科普读物上。当时最为困惑的一点就是,πi是纯虚数,e的πi次方怎么就变成了一个实数?e、π两个看似无关的数学常数为何神奇地通过虚数单位i联系在一起?
事实上,上面提到的公式只是原始欧拉公式的特殊情况,其原始形式如下图所示。表面上看,它似乎提供了计算“纯虚数次方”的方法。要正确理解欧拉公式,就有必要先理解“虚数次方”的概念(“虚数”默认指纯虚数,下同)。

↑↑欧拉公式的原始形式
一个数的“多少次方”的概念最初只对正整数幂次才有意义。a的n次方(n为正整数)就是n个a相乘:a×a×a×…×a。在不引入新定义的情况下,若n不是正整数,a的n次方就无意义。例如,我们尚不明确“-3个a相乘”或是“1.23个a相乘”的含义。
在数学中,我们之所以能计算非整数次方,是因为人们对定义做了拓展,这带有人为规定的性质。当然,拓展遵守一个原则:尽量使拓展前的数学性质在拓展后仍适用,类似于软件的“前向兼容性”。此外,作为新定义,拓展必须建立在已有的定义上,否则就会有模糊性。
作为例子,我们来看看“a的n次方”(简记为a^n)中的n是如何拓展到负整数的:n为负整数时,记n的绝对值为|n|,则a^n等于a^|n|再取倒数。这一拓展满足“前向兼容性”,例如(a^n)×(a^m)=a^(n+m)这个性质在拓展后仍适用;拓展中的绝对值、倒数运算都是已定义的,没有模糊性。这样看,这个拓展是非常自然的。最终,我们把n推广到了任意实数x。
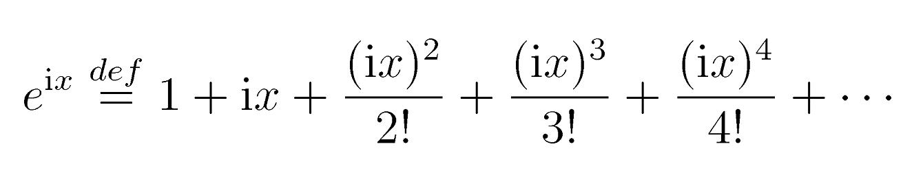
那么,我们能否把实数x拓展到虚数情况?为了契合主题,这里只考虑e^x。要以“较为自然”的方式把x拓展到虚数,可以考察e^x的幂级数形式,如下:

似乎把上式的x简单代换为ix,拓展工作就完成了。但要注意的是,e^x原本是定义在x为实数的情况下,因此上式只对实数情况适用,把x简单替换为ix得到的“等式”必须理解为仿照e^x幂级数形式人为规定的定义式。

在上图中,我们特别在等号上加“def”以强调它是定义式。我们可以把等号右边每一项计算出来,然后把实数部分和虚数部分各自合并,如下图。

↑↑ e^(ix)的正式定义
我们把上式作为“e的虚数次方”的正式定义。它的右边只涉及乘除运算、正整数次方以及无穷级数求和,因此建立在已有定义上。定义式中括号部分刚好就是余弦、正弦函数的级数形式,从而自然地导出了欧拉公式!利用这点,我们可以证明仍有e^(ix)×e^(iy)=e^(ix+iy),因此这个定义也满足一定“兼容性”。

根据这些讨论,欧拉公式是e^(ix)的定义式的简单推论。不难看出,e的“虚数次方”与e的实数次方在定义上有很大差别。此外,“虚数次方”与实数次方并不是完全兼容,比方说,实数情况下有a≠b就一定有e^a≠e^b,这个性质在虚数情况下不适用,一个简单例子是e^(πi)=e^(3πi)。因此,“虚数次方”并不是好的说法,e^(ix)只是一个形式记号。在一定意义上,e^(ix)是cos x+isin x的简便记法。