一、 名词解释(10分) 1、无力矩理论:在旋转薄壳的受力分析中忽略了弯矩的作用,该情况下的应力状态和承受内压的薄膜相似,又称薄膜理论。 2、法兰的公称压力:以16MnR在200℃时的力学性能为基础,其最大操作压力即为具有该尺寸法兰的公称压力。 3、泊松比:弹性阶段杆件的横向应变与轴向应变之比的绝对值,称为横向变形系数或泊松比。是一无量纲的量,其数值随材料而异,也是通过试验测定的。

添加图片注释,不超过 140 字(可选)
4、同素异构转变:在固态下晶体构造随温度发生变化的现象,称同素异构转变。 5、热脆:硫以FeS的形态存在于钢中,FeS和Fe形成低熔点(9850C)化合物,而钢材的热加工温度一般在11500C-12000C以上,当钢材热加工时由于FeS化合物的过早熔化而导致工件开裂,称为“热脆”。 二. 作图题(共10分) 根据受力图画出剪力图和弯矩图(10分) '

编辑
添加图片注释,不超过 140 字(可选)
三、问答题(共26分) 1. Q235-A●F代表 普通碳素钢 (钢种),其中Q为 屈服强度的头一个拼音字母 ,235为 屈服强度值 ,A表示 质量等级 ,F表示 沸腾钢 ;0Cr18Ni9 代表 铬镍不锈钢 (钢种),18 表示 含铬18% , 9 表示 含镍9% ;ZL7代表 铸铝 (钢种); H80 代表 黄铜 (钢
种),80 表示平均含铜80% 。(5分)
2.埋弧自动焊的优缺点是什么不锈钢焊接采用何种方法及其特点是什么(5分)
埋弧自动焊的优点:1)生产效率高;2)焊缝质量高;3)劳动条件好
缺点:不及手工电弧焊灵活,工件边缘准备和装配质量要求高、费工时,必须严格控制焊接规范。
不锈钢焊接可采用氩弧焊,用氩气为保护介质,是惰性气体,既不与金属起化学反应也不溶于液态金属,可避免焊接缺陷,获得高质量的焊缝。
、
3.什么是外压容器的失稳简述外压容器侧向失稳的形式并说明如何通过失稳形势判断外压容器的类型(8分)
容器强度足够,却突然失去原有的形状,筒壁被压瘪或发生褶皱,筒壁的圆环截面一瞬间变成了曲波形,这种现象称为弹性失稳。其实质是容器筒壁内的应力状态有单纯的压应力平衡跃变为主要受弯曲应力的新平衡。
侧向失稳时壳体断面由原来的圆形被压瘪而呈现波形,产生的波形数n=2时,为长圆筒;n>2时,为短圆筒;如只发生强度破坏,无失稳则为刚性筒。
4、下列容器属一、二、三类容器的哪一类(8分)
(1) 直径为2000mm,设计压力为10Mpa的废热锅炉
(2) 设计压力为的氟化氢气体储罐
(3) 设计压力为的搪玻璃压力容器
(4) p为4Mpa的剧毒介质容器
(1) <
(2) 为三类容器;(2)为二类容器;(3)为二类容器;(4)为三类容器。

编辑切换为居中
添加图片注释,不超过 140 字(可选)

编辑切换为居中
添加图片注释,不超过 140 字(可选)

编辑切换为居中
添加图片注释,不超过 140 字(可选)

编辑切换为居中
添加图片注释,不超过 140 字(可选)

编辑切换为居中
添加图片注释,不超过 140 字(可选)

编辑切换为居中
添加图片注释,不超过 140 字(可选)

编辑
添加图片注释,不超过 140 字(可选)
*
1、材料的刚度条件是指构件抵抗( B )的能力。
A.破坏 B.变形 C.稳定性 D.韧性
2、一梁截面上剪力左上右下,弯矩左顺右逆,描述正确的是( A )。
A.剪力弯矩均为正 B.剪力弯矩均为负
C.剪力为正弯矩为负 D.剪力为负弯矩为正
3、内压容器封头直边的作用是( B )。
A.制造加工容易 B.防止热应力与边缘应力叠加
C.局部加强 D.节约材料
4、构件的强度、刚度和稳定性( C )
A.只与材料的力学性质有关; B.只与构件的形状尺寸有关;
.
C.与A和B都有关; D.与A和B都无关。
5、为保证整个机器设备在外力作用下安全可靠地工作,它们的每个构件必须满足三个基本条件,即要有足够的( C )
A.强度、刚度、塑性 B. 塑性、韧性、稳定性
C.强度、刚度、稳定性 D. 塑性、韧性、强度
6、下述类型设备中,承压性能最好的是( A )。
A.球形容器 B. 圆筒形容器 C.方形容器 D.椭圆形容器

编辑
添加图片注释,不超过 140 字(可选)
8、受外压的圆筒壳体其破坏形式为失稳的是( C )
)
A.长圆筒、刚性圆筒 B.短圆筒、刚性圆筒
C.长圆筒、短圆筒 D.长圆筒、短圆筒、刚性圆筒
9、单元体上的主平面是指( A )
A.剪应力为零的平面 B.既有正应力又有剪应力的平面
C.正应力为零的平面 D.既没有正应力又没有剪应力的平面
10、优质非合金钢20g表示( D )
A.含碳量为千分之20的容器用钢
B.含碳量为万分之20的容器用钢
C.含碳量为千分之20的锅炉用钢
D.含碳量为万分之20的锅炉用钢
-
11、关于低碳钢试样拉伸至屈服时,有以下结论,正确的是( D )
A.应力和塑性变形很快增加,因而认为材料失效;
B.应力和塑性变形虽然很快增加,但不意味着材料失效;
C.应力不增加,塑性变形很快增加,因而认为材料失效;
D.应力不增加,塑性变形很快增加,但不意味着材料失效
12、在承受内压的圆柱形容器上开椭圆孔,应使椭圆的长轴( B )
A.与筒体轴线平行 B.与筒体轴线垂直
C.与筒体轴线成45度角 D.任何方向均可
13、下述材料中哪一个与其它材料不同类( C/D )。
A.低碳钢 B.优质钢 C.铜 D.铸铁
、
14、当采用无缝钢管作为筒体时,其公称直径为( A )
A.管子的外径 B.管子的内径
C.管子的平均直径 D.管子的公称直径
15、用三种不同材料制成尺寸相同的试件,在相同的试验条件下进行拉伸试验,得到的应力—应变曲线如图示。比较三条曲线,可知拉伸强度最高、弹性模量最大、塑性最好的材料是( A )

编辑
添加图片注释,不超过 140 字(可选)
A.a、b、c
B.b、c、a
C.b、a、c
D.c、b、a
16、化工容器就其整体而言,通常属于轴对称问题,是因为( D )
…
A.壳体的几何形状对称于回转轴 B.约束对称于回转轴
C.所受外力对称于回转轴 D.A、B、C均是
17、根据小变形条件,可以认为( D )
A.构件不变形 B.构件不破坏
C.构件仅发生弹性变形 D.构件的变形远小于其原始尺寸
18、图示两截面面积相等,则抗弯截面模量Wz1/Wz2为( D )

编辑
添加图片注释,不超过 140 字(可选)
(1) (2)
A. B. C. D.
19、下述容器中哪一个易发生失稳( D )
》
A.高大立式容器 B.高压容器 C.内压容器 D.外压容器
20、下述设备哪一项不属于三类压力容器( D )
A.容积为60m3球形储罐 B.移动式压力容器
C.高压容器 D.低压管壳式余热锅炉
21、卧式布置的容器其受力情况可简化为( C )
A.受均布载荷的简支梁 B.受集中载荷作用的简支梁
C.受均布载荷的外伸梁 D.受集中载荷作用的外伸梁
22、下述各项中哪一个不属于容器附件( D )。
A.视镜 B.人孔 C.液位计 D.容器外保温
23、下述措施哪一项不会改善梁的强度与刚度( D )。
《
A.集中力改为分布力 B.将简支梁变为外伸梁
C.将矩形梁改为工字钢梁 D.将矩形梁改为圆形梁
24、优质碳钢与普通碳钢的划分是依据( D )的不同。
A.含碳量 B.防腐性能 C.强度 D.S+P含量
25、若轴向拉伸等直杆选用同种材料,三种不同的截面形状:圆形、正方形、空心圆,比较三种情况的材料用量,则( D )
A.正方形截面最省料 B.圆形截面最省料
C.空心圆截面最省料 D.三者用料相同
26、下列封头受力状况最好的是( A )P142
A.球形封头 B.椭圆形封头 C.碟形封头 D.平板封头
27、容器的标准化参数包括( B )。
-
A.公称直径和公称容积 B. 公称直径和公称压力
C.公称压力和壁厚 D.公称质量和公称容积
28、压力容器设计中,碳素钢及低合金钢要求的最小厚度为( A )。
A.3mm B.4mm C.5mm D. 6mm
29、化工装置中下述哪个设备受力可视为扭转变形( B )。
A.承受风压的塔器 B.转动的泵轴
C.容器的拉杆 D.塔器的地脚螺栓
30、从受力角度分析,锥形壳体( B )处应力最大,因此开孔应避开此位置。
A.锥顶 B.锥底 C.锥顶与锥底中间处 D.各部位相同
31、下述材料中哪一个归属优质碳钢( B )。
-
A.1Cr13 B.20 C.1Cr25Si2 D.16MnDR
32、下述哪一种封头没有直边( D )。
A.椭圆形封头 B.碟形封头 C.球冠封头 D.大端折边锥形封头
33、以下材料哪一个是压力容器专用钢( B )
A.Q235-A B.16MnR C.20g D.0Cr18Ni9Ti

编辑
添加图片注释,不超过 140 字(可选)
35、压力容器在名义厚度计算时,不考虑记入下述哪一项( D )。
A.钢板负偏差 B.腐蚀裕量 C. 圆整值 D.容器最小厚度
*
36、塑性与脆性材料是用延伸率来划分的,塑性材料的延伸率为( B )。
A. >3% B.>5% C.>8% D.>10%
37、下述哪种约束类型是由力和力矩共同作用( D )。
A.柔索约束 B.光滑面约束 C.固定铰约束 D.固定端约束
38、化工装置中装有液体的卧式容器可视为( B )。
A.简支梁 B.外伸梁 C.非静定梁 D. 悬臂梁
39、对圆筒型容器下述说法正确的是( D )。
A.经向应力与环向应力相等 B.经向应力与环向应力均为零
C.经向应力大于环向应力 D.经向应力小于环向应力
40、造成梁断裂破环的主要原因是( B )。
{
A.弯矩 B.剪应力 C.弯矩和剪应力共同作用 D.扭矩

编辑
添加图片注释,不超过 140 字(可选)
42、圆筒形容器的直径为D,则其第一曲率半径为( C )。
A.D B.D/2 C.

添加图片注释,不超过 140 字(可选)
D. 0
43、下述封头中,哪一个制造容易但抗压性能最差( C )。P142
A.锥形封头 B.椭圆形封头 C.平板封头 D.球形封头
44、下述对外压容器临界压力叙述错误的是( )。
A.筒体椭圆度与临界压力关系不大 B.有加强圈时可以增加临界压力
】
C.长径比相同但厚度大者临界压力大 D.筒体材料与临界压力关系不大
45、容器进行压力实验的方法中不包括下述哪一项( D )。
A.液压实验 B.气压实验 C.气密实验 D.密封实验
46、碳钢和铸铁的划分是依据( C )的不同。
A.含碳量 B.含铁量 C.含硫量 D.含磷量
47、材料的强度条件是指构件抵抗( A )的能力。
A.破坏 B.变形 C.稳定性 D.韧性
48、化工装置中下述哪个设备受力可视为弯曲变形( A )。
A.承受风压的塔器 B.转动的泵轴
C.容器的拉杆 D.塔器的地脚螺栓
\

编辑
添加图片注释,不超过 140 字(可选)
50、铸铁材料广泛用于机床床身、机座等部位是因为其( B )。
A.抗拉性能好 B.抗压性能好 C.弹性好 D.韧性好
51、低碳钢拉伸时沿与轴线450方向出现滑移线现象可以用下述哪个理论加以解释( C )。
A.最大拉应力理论 B.最大伸长线应变理论 P82
C.最大剪应力理论 D.形状改变比能理论
52、各向同性假设认为,材料沿各个方向具有相同的( D )
A. 外力; B. 变形; C. 位移; D. 力学性质。
~
53、以下关于轴力的说法中,哪一个是错误的( C )
A.拉压杆的内力只有轴力 B.轴力的作用线与杆轴重合
C.轴力是沿杆轴作用的外力 D.轴力与杆的横截面与材料无关
54、关于刚体的描述,下面正确的是( D )
A.刚体是理想化的模型 B. 在力的作用下不发生变形的物体
C.变形为主要因素时不能将物体看成刚体 D. A、B、C都正确
55、用标距50mm和100mm的两种拉伸试样,测得低碳钢的屈服应力分别为σs1和σs2,延伸率分别为δ5和δ10,比较两试样的结果,则有( D )
A.σs1<σs2,δ5>δ10 B.σs1<σs2,δ5=δ10
C.σs1=σs2,δ5>δ10 D.σs1=σs2,δ5=δ10
56、对于塑性材料从经济性考虑,采取哪种截面形式的梁最合理( A )。
*
A.工字钢 B.矩形 C.圆形 D. T型
57、下述设备哪一项不属于三类压力容器( D )。
A.高压容器 B.移动式压力容器
C.球形容器 D.低压容器
58、低碳钢材料在拉伸实验过程中,不发生明显的塑性变形时,承受的最大应力应当小于的数值是( B )
A.比例极限 B.屈服极限 C.强度极限 D.许用应力
59、图示单向均匀拉伸的板条。若受力前在其表面画上两个正方形a 和b,则受力后正方形a、b 分别变为( C )
A. 正方形、正方形 B. 正方形、菱形
C. 矩形、菱形 D. 矩形、正方形

编辑
添加图片注释,不超过 140 字(可选)
、
60、图示结构,杆1 的材料是钢,杆2 的材料为铝,两杆的横截面面积相等。在力F作用下,节点A ( A )

编辑
添加图片注释,不超过 140 字(可选)
A. 向左下方位移
B. 向铅垂方向位移
C. 向右下方位移
D. 不动
61、下面介质中不能用作气压试验的气体是( C )
A.氮气 B.干燥、洁净的空气 C.二氧化碳 D.惰性气体
62、图示平板,两端受均布载荷q 作用,若变形前在板面划上两条平行线段AB和CD,则变形后( A )
A. AB ∥CD, α角减小 B. AB ∥CD, α角不变
$
C. AB ∥CD, α角增大 D. AB不平行于CD

编辑
添加图片注释,不超过 140 字(可选)
63、一等直拉杆在两端承受拉力作用,若其一半为钢,另一半为铝,则两段的( B )
A. 应力相同,变形相同 B. 应力相同,变形不同
C. 应力不同,变形相同 D. 应力不同,变形不同
64、从制造角度来看,椭圆形、半球形、锥形和平板封头的制造从易到难的顺序是( D )
A.半球形、椭圆形、锥形、平板 B.锥形、平板、椭圆形、半球形
C.平板、椭圆形、锥形、半球形 D.平板、锥形、椭圆形、半球形
65、受外压的长圆筒失稳时波数为( B )
A.大于2的整数 B.2 C.3 D.4
~
66、关于内力与应力的关系中,说法正确的是( D )
A. 内力是应力的矢量和 B. 内力是应力的代数和
C. 应力是内力的平均值 D. 应力是内力的分布集度
67、关于σ有如下四种论述,请判断哪一个是正确的( C )
A.弹性应变为%时的应力值 B. 总应变为%时的应力值
C.塑性应变为%时的应力值 D. 塑性应变为时的应力值
68、在受轴向拉伸的杆件中任选一点,围绕该点取得的单元体的应力状态属于( B )
A.单向应力状态 B.二向应力状态
C.三向应力状态 D.平面应力状态
69、一悬臂梁其截面如图所示,其中C 为截面形心,该梁横截面的( C )
|
A. 中性轴为z1 ,最大拉应力在上边缘处
B. 中性轴为z1 ,最大拉应力在下边缘处
C. 中性轴为z0 ,最大拉应力在上边缘处
D. 中性轴为z0 ,最大拉应力在下边缘处

编辑
添加图片注释,不超过 140 字(可选)
70、化工容器就其整体而言,通常属于轴对称问题,是因为( D )
A.壳体的几何形状对称于回转轴 B.约束对称于回转轴
C.所受外力对称于回转轴 D.A、B、C均是
71、下列材料中一般不宜用于制造化工容器的是( B )
A.Q235A B.HT200 C.20R D.16MnR
·
72、一受扭圆棒如图所示,其m-m截面上的扭矩等于( D )
A. T m −m = M + M = 2 M B. T m− m = M − M =0
C. T m− m = 2 M − M =M D. T m− m = − 2M + M =−M

编辑
添加图片注释,不超过 140 字(可选)
73、低碳钢加载→卸载→ 再加载路径有以下四种,正确的是( D )

编辑
添加图片注释,不超过 140 字(可选)
A.OAB →BC →COAB
B.OAB →BD →DOAB
C.OAB →BAO→ODB
D.OAB →BD →DB
74、某一梁段的弯矩方程为M( x )=( qlx - qx 2)/2,则其剪力方程为( C )
【
A.Q( x )= ql -2 qx B.Q( x )=- q
C.Q( x )= ql /2- qx D.Q( x )= qlx - qx 2
75、下列变形属于可以恢复的是( B )
A.塑性变形 B.弹性变形 C.弯曲变形 D.拉伸变形
76、关于材料的力学性能,有如下结论,请判断哪一个是正确的( A )
A.脆性材料的抗拉能力低于其抗压能力
B.脆性材料的抗拉能力高于其抗压能力
C.塑性材料的抗拉能力高于其抗压能力
D.脆性材料的抗拉能力等于其抗压能力
77、塑性材料和脆性材料的危险应力分别是( C )
)
A.σe和σb B.σp和σb C.σs和σb D.σp和σs
78、受内压和风压作用的塔设备其受力状况可以转化成( A )
A.拉伸与弯曲的组合 B.压缩与弯曲的组合
C.弯曲与扭转的组合 D.拉伸与扭转的组合

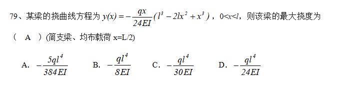
编辑切换为居中
添加图片注释,不超过 140 字(可选)
80、在高温下,材料除了强度极限和屈服极限下降之外,还将发生( C )
A.疲劳现象 B.断裂现象 C.蠕变现象 D.热脆现象
81、受内压的圆筒壳体,其薄膜应力为( C )
A.经向应力为环向应力的2倍 B.经向应力等于环向应力
:
C.环向应力为经向应力的2倍 D.环向应力为经向应力的

添加图片注释,不超过 140 字(可选)
倍
82、设备上接管的外伸长度应考虑( D )
A.所设置的保温层厚度 B.便于安装螺栓
C.便于安装加固结构 D.A和B
83、在压力容器上开孔不会造成以下哪种现象( C )
A.应力集中 B.对设备的强度削弱
C.容器设计厚度增加 D.较大的局部应力
84、下列钢材中不宜用来制作容器的是( C )
A.16MnR B.20R C.0Cr18Ni9Ti D.45
85、圆桶形容器的直径为D,则其第二曲率半径为( D )
{
A.D B.D/2 C.
D. 0
86、对椭圆形封头叙述错误的是( A )。
A.封头越扁承压性能越好 B.标准型封头 a/b=2
C.封头越扁冲压制造越容易 D.封头的a/b增加会导致应力增加
87、容器强度设计得到的名义厚度中不包括以下哪一项( D )。
A.负偏差 B.腐蚀余量 C.圆整值 D.最小厚度
88、低碳钢拉伸过程中哪个阶段满足虎克定律( A )。
A.弹性阶段 B.屈服阶段 C.强化阶段 D.局部变形阶段
89、铸铁材料的拉伸和扭转破坏现象可以用下述哪个理论加以解释( A )。
A.最大拉应力理论 B. 最大伸长线应变理论
]
C.最大剪应力理论 D.形状改变比能理论
90、下述容器中哪一个易发生失稳( D )。
A.低压容器 B.高压容器 C.内压容器 D. 外压容器
91、以下材料哪一个是压力容器专用钢( B )。
A.Q235A B.20R C.20g D.1Cr13
92、圆轴扭转时,下述哪个部位承受的剪应力最大( C )。
A.横截面圆心处 B.各部位一样大
C.横截面外表面 D.横截面距圆心、外表面等距离处
93、下述材料中哪一个归属不锈钢( C )。
A.1Cr13 B.20 C.1Cr25Si2 D.16MnDR
…
94、交变应力使构件发生的破坏称为( A )。
A.疲劳 B.失稳 C.破坏 D.失效
95、下述哪一项改进不能节约材料( C )。
A.搅拌浆实心轴变为空心轴 B.矩形梁变为工字钢梁
C.圆形梁变为槽钢梁 D.槽钢梁变为工字钢梁
96、以下材料哪一个是锅炉专用钢( C )。
A.Q235A-F B.20R C.20g D.1Cr13
97、下列叙述正确的是( A )。
A.球形容器的经向应力与环向应力相等
B. 圆筒形容器的经向应力与环向应力相等
,
C.球形容器的经向应力大于环向应力
D.圆筒形容器的经向应力大于环向应力
98、从经济性及抗压能力综合考虑,下述哪种封头应用最广( B )。
A.锥形封头 B.椭圆形封头 C.平板封头 D.球形封头
99、下述哪一项不是影响法兰的密封因素( D )。
A.螺栓预紧力 B.密封面 C.垫片 D.介质温度
100、下述材料中哪一个归属低温用钢( D )。
A.1Cr13 B. 20 C.1Cr25Si2 D.16MnDR
101、化工装置承受风压的精馏塔可视为( D )。
A.简支梁 B.外伸梁 C.非静定梁 D.悬臂梁
…
102、 构件的强度、刚度和稳定性( C ) 。
A. 只与材料的力学性质有关; B. 只与构件的形状尺寸有关;
C. 与A和B都有关; D. 与A和B都无关。
103、. 各向同性假设认为,材料沿各个方向具有相同的( D )。
A. 外力; B. 变形; C. 位移; D. 力学性质。
104、 关于内力与应力的关系中,说法( D ) 是正确的。
A. 内力是应力的矢量和; B. 内力是应力的代数和;
C. 应力是内力的平均值; D. 应力是内力的分布集度。
105、若轴向拉伸等直杆选用同种材料,三种不同的截面形状:圆形、正方形、空心圆,比较三种情况的材料用量,则( D ) 。
A. 正方形截面最省料; B. 圆形截面最省料;
?
C. 空心圆截面最省料; D. 三者用料相同。
106、一受扭圆棒如图所示,其m-m截面上的扭矩等于____D__。
A. T m −m = M + M = 2 M ; B. T m− m = M − M =0;
C. T m− m = 2 M − M =M ; D. T m− m = − 2M + M =- M 。

编辑
添加图片注释,不超过 140 字(可选)

编辑
添加图片注释,不超过 140 字(可选)
108、表面光滑的低碳钢杆被拉伸时,在屈服阶段( B )。
A. 沿与轴线成45°角截面断裂 B. 表面出现与轴线成45°的滑移线
C. 沿横截面断裂 D. 丧失稳定性
109、 单元体上的主平面是指( A )。
A.切应力为零的平面 B.正应力为零的平面
C.既有正应力又有切应力的平面 D.既没有正应力又没有切应力的平面
二 填空题
1、化工容器中卧式容器可视为( 外伸 ) 梁,塔器可视为( 悬臂 )梁。
2、构件在外力的作用下能够安全工作,需满足( 强度 ) 、( 刚度 )和( 稳定性 ) 三个力学条件。
3、一个构件只受三个力的作用处于平衡状态时,这三个力必( 汇交于一点 )。
4、EA是材料的( 抗拉刚度);GIp是材料的( 抗扭刚度 );EIz是材料的( 抗弯刚度 )。
5、在外力作用下的梁截面上既有弯矩,又有剪力的弯曲,称为( 横力弯曲或剪切弯曲 )。
6、对于没有明显屈服极限的塑性材料,工程上规定采用σ代替其屈服极限,σ称为( 名义屈服极限 )。产生%塑性应变所对应的应力
7、规定轴力在( 离开横截面 )时为正,而力矩顺时针为( 负 )。
8、法兰密封面形式主要有三种,分别是( 平面型压紧面 )、( 凹凸型压紧面 )、( 榫槽型压紧面 )。
9、一长为L,截面积为A的直杆,两端受拉力F作用,弹性模量为E,则杆的轴力为( ),相对伸长量为( )。
10、材料的力学性能是指材料在外力作用下表现出的( 变形 )、( 破坏 )等方面的特性。
11、二力杆实际上就是构件在两个力的作用下处于( 平衡 )状态。
12、塑性材料在拉伸到屈服阶段的时候,材料丧失了( 抵抗变形 )的能力,( 应力 )增加,而( 应变 )不增加,并且表面出现( 滑移线 )。
13、内部压力小于一个大气压()的外压容器,又叫( 真空容器 )。
14、当容器各部位或受压元件所承受的液体静压力达到( 5% )设计压力时,则需在计算压力中计入液体静压力。
15、延伸率和断面收缩率是衡量材料( 塑性 )的两个指标。
16、某传动轴所传递的功率为N,轴的转速为n,则作用于轴上的外力偶矩为m=( )。
17、塑性材料的失效形式为( 断裂 ),脆性材料的失效形式为( 屈服 ),法兰的失效形式主要表现为( 翘曲 )。
18、作用在梁上的外力可简化( 集中力 )、( 集中力偶 )和( 均布载荷 )。
19、容器一般是由几种壳体组合而成,再加上( 人孔 )、( 手孔 )、( 液位计 )、( 视镜 )和( 法兰 )等
20、反应釜中的搅拌轴在搅拌过程中,产生的主要是( 扭转 )变形,立式的塔器在风力作用下主要产生( 弯曲 )变形。
21、 δ 、 ψ 是金属材料的( 塑性 )指标; σ S、 σ b是材料的( 强度 )指标; A K是材料的( 韧性 )指标。
22、名义屈服极限σ表示试件产生( %塑性变形 )所对应的应力。
23、不锈钢能够抵抗腐蚀,主要在于该钢中含有( Cr )元素。
24、作用在同一物体上(大小相同)、( 方向相反 )、( 不在同一作用线上 )的一对平行力称为力偶。
25、脆性材料轴在受到扭转时,其横截面上分布有( 剪 )应力,随着扭矩增大轴被扭断,断面大约是沿着45°角的斜面,这一现象可以用( 第一 )强度理论来解释。
26、容器的壁厚与其最大截面圆的内径之比小于等于( )的称为薄壁容器,超过这一范围的为厚壁容器。