01、SMOHYA®致泽
透明质酸钠最主要的特点就是高保湿性,但是由于具有羧基*能官**团的原因带负电。人体的毛发,皮肤表面通常也带负电,透明质酸钠类产品在毛发、皮肤表面吸收效果差,被流水冲洗后,部分透明质酸钠被冲洗掉,保湿性能变差,影响产品效果。
众山生物的SMOHYA®致泽是经阳离子修饰后的透明质酸,带有正电,正负电荷相互吸引,SMOHYA®致泽可以很好地吸附在毛发和皮肤表面,耐冲洗的同时还不影响透明质酸钠本身的保湿性能。

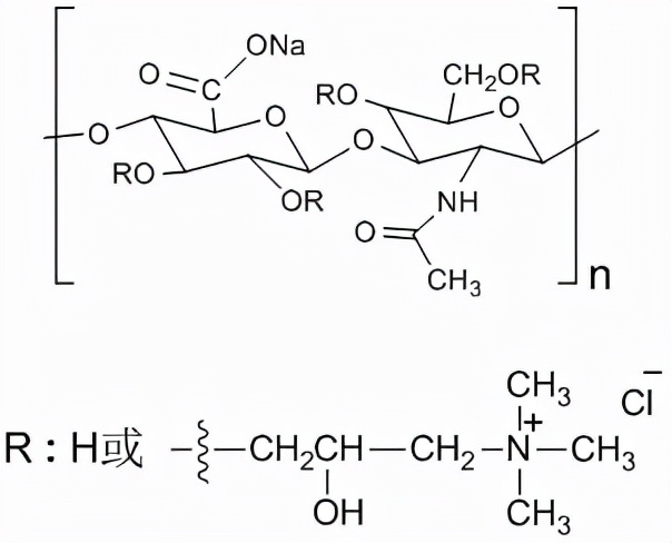
产品名称: 阳离子透明质酸钠
INCI名称: 羟丙基三甲基氯化铵透明质酸
英文名称: Cationic Hyaluronate
分子式: (C14H(20-x)NO11Na(C6H15NOCl)x)n,x为阳离子化度
阳离子化度: 0.15-0.60
02、产品特性
1.SMOHYA®致泽可以作为洗护产品专属保湿剂,天然温和,适用于头发、头皮护理,可显著增强头皮的水合保湿能力,滋润头皮,改善因头皮干涩所引起的瘙痒及头屑状况。
2.SMOHYA®致泽具有极佳的吸附性和高亲和性,耐冲洗,能持久高效的发挥保湿和滋养的作用。
3.SMOHYA®致泽可显著降低表面活性剂对皮肤的刺激性,使肤感丝滑不粘腻。
4.SMOHYA®致泽具有很好的渗透性和吸收性,可以消除自由基,调节新陈代谢,促进头皮细胞修复,改善头皮屏障功能;高分子产品则具有良好的成膜性,可有效降低紫外线对头发和皮肤的伤害。
03、产品适用范围
洗发护发类:香波、发膜、精油等;
清洁类:洗面奶、清洁皂、沐浴露等;
护肤类:爽肤水、乳液、面霜等。
04、实验数据

SMOHYA®致泽毛发吸附实验报告
实验过程中将损伤毛发分别放入SMOHYA®致泽和未经阳离子化的HA两种样品水溶液中进行吸附反应,在30℃恒温环境中放置10分钟,检测得出1.0g毛发中SMOHYA®致泽的毛发吸附量为0.0383mg/g,而未经阳离子化的HA的吸附量为0.0228mg/g。
证明人的毛发对SMOHYA®致泽具有吸附性,且吸附性大于未经阳离子化的HA。
