
设计具有与超级电容器相媲美的高倍率能力和长循环寿命的法拉第电池电极是一项巨大的挑战。 在这里,北京大学郑俊荣教授&陈继涛教授团队的研究人员通过利用氧化钒电极中独特的超快质子传导机制弥合了这一性能差距,开发了一种具有高达1000 C(400 A g-1)超高倍率能力和20万次循环极长寿命的水系电池。 (原文链接:https://www.science.org/doi/10.1126/sciadv.adf4589)
综合实验和理论结果阐明了该机制,取代了缓慢的单个Zn2+转移或受限H+的Grotthuss链转移,钒氧化物中通过在Eigen和Zundel构型之间的特殊双舞切换实现了超快动力学和优异的循环稳定性,具有很小的约束和低能垒。这项工作为开发高功率和长寿命的电化学储能装置提供了见解,该装置通过氢键决定的特殊对舞拓扑化学来实现非金属离子转移。
图1:NZVO的结构特征

( A )Grotthuss链传输机制的示意图,其中质子传导是通过沿着水链(红色的氧和白色的氢)重新排列HBs来操作的。( B )在处于“静止状态”(在无质子转移的长轨迹段期间)的水合氢的第一个溶剂化壳中发生的“特殊双舞”的示意图。( C )进入质子迁移机制的过渡Zundel结构(H5O2+)的“选择阶段”的示意图。( D )NZVO电极和浸入含水电解质中的湿NZVO电极的XRD图。( E )70% NZVO/24%导电碳/6% CMC+SBR混合物在氮气气氛下以10 ℃/min的升温速率绘制的TGA和导数热重分析(DTG)曲线。( F )从对称电池的恒电位EIS获得的奈奎斯特图,使用两个相同的NZVO电极,充电状态(SOC)为0%。( G )NZVO电极XPS光谱的高分辨率O 1s区域。( H )在NZVO的2×1×1超晶胞中计算的水取向。( I )NZVO的2×2×1超晶胞中氢键水分子的取向和连接,为清楚起见省略了框架。
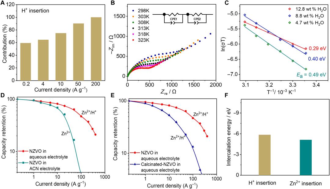
图2:用于快速电化学动力学的质子传导

( A )H+和Zn2+插入的容量贡献作为充电/放电速率的函数。( B )NVO在不同温度和100%湿度下的EIS分析。插图是等效电路。 R bulk和 R grain分别表示散装粉末及其晶界的电阻。较大的晶界电阻可能是由NVO的纳米级颗粒引起的。( C )具有不同含水量的NVO的ln(σ T )与1000/ T 的关系图。( D )NZVO电极在3 M Zn(CF3SO3)2水性和ACN电解质中的倍率性能比较。( E )NZVO和煅烧NZVO电极在3 M Zn(CF3SO3)2水性电解质中的倍率性能比较。( F )NZVO电极的Zn2+ H+嵌入能量的比较。
图3:NZVO中质子转移的FPMD模拟

( A )V2O-水和水中质子转移事件的频率。( B )水合NZVO中水合氢离子H3O+的典型溶剂化结构。( C )水合氢氧原子O0及其最近邻氧O1 x 同一性的时间依赖性。(OA、OB、OC、OD代表不同的水或VO氧原子)。( D )在典型的质子转移事件中来自轨迹段的O-H键长。( E )从几个模拟算法的完整时间序列计算出的两个RDF。( F )不同特殊合作伙伴的平均数量O1 x ,作为非转移间隔长度的函数。( G )交换1 x 伙伴的平均比率。( H )发生在NZVO的“特殊双舞”示意图。( I )O0原子的总MSD和分解MSD。
图4:质子迁移路径的DFT计算

( A - C )质子化NZVO结构在不同选定过渡阶段的构型和( D )在从自由水到邻近配体水再到下一个自由水的质子传输过程中不同过渡阶段的相对能量。( E - G )质子化NZVO结构在不同选定过渡阶段的构型和( H )自由水质子传输过程中不同过渡阶段的相对能量。( I - K )质子化NZVO结构在不同选定过渡阶段的构型和( L )从VO到自由水域的质子传输过程中不同过渡阶段的相对能量(阶段1中的蓝色箭头代表质子迁移路径)。
图5:Zn/NZVO电池在3 M Zn(CF3SO3)2水性电解质中的电化学性能

( A )在0.5和1000 C之间的倍率性能(1 C=400 mA g-1)。( B )Zn/NZVO电池和之前报道的代表性水系质子和Zn离子电池/电容器的Ragone图(基于阴极活性材料的质量)。( C )Zn/NZVO电池在0.2~2.0 mV s-1扫描速率下的CV曲线。( D )在阴极和阳极峰处的对应log( i )与log( v )图。( E )在0.2~350 mV s-1的扫描速率下,归一化容量与 v -1/2曲线。( F )在3 M Zn(CF3SO3)2 ACN电解质中的阴极和阳极峰对应的log( i )与log( v )。( G )Zn/NZVO电池在500 C下循环14万次的循环性能。( H )Zn/NZVO电池与已报道的水系质子和Zn离子电池/电容器的电流密度和循环寿命比较。
图6:质子(脱出)嵌入过程中的结构演变

( A )500 C(200A G-1)下NZVO电极的XRD图(001)峰随放电和充电电压变化的放大图。( B )在500 C下完全充电/放电的NZVO的固态1H核磁共振(NMR)光谱。( C )完全放电的NZVO的计算结构。( D )Zn/NZVO电池在3 M ZnSO4水溶液电解质中以500 C的速率循环20万次的循环性能。
综上所述,本文成功开发了一种倍率和循环寿命较以往法拉第电池提高数量级的水系电池。综合实验和理论结果表明,3D致密氢键网络为质子在Zundel和Eigen构型之间快速切换并在3D方向扩散提供了不可或缺的溶剂化环境,具有低能垒和小体积变化。独特的特殊双舞机制赋予质子比金属阳离子Zn2+的缓慢动力学更快的传递动力学。此外,质子转移引起的体积变化很小,可以有效避免电化学循环引起的结构应力和失效。这两个因素分别有助于超级电容器的高功率密度和长循环稳定性。Zn2+也有助于电荷传输,但其贡献在高速率下可以忽略不计。
独特的质子传输机制还形成了一个非常显著的特点,即全电池的性能几乎与电解液中阴离子的选择无关,这对实际应用很重要。这项工作通过HB规定的特殊双舞拓扑化学,为开发具有非金属离子转移的高功率和长寿命电化学储能装置提供了见解。特殊双人舞拓扑化学的发生依赖于密集且相互连接的HB网络。因此,应考虑设计具有较大层间距离(> 1 nm)和大量介质的电极材料,以允许特殊的对舞拓扑化学,从而实现高功率密度。
要推动Zn/NZVO电池的实际应用,提高能量密度也是一个关键点。一方面,在主体结构中引入PO43-和F-等吸电子基团可以提高平均工作电压,从而获得更高的能量密度。另一方面,设计分层多孔结构不仅可以提高压实密度,还可以通过促进离子快速传输和减轻整个电极的扩散限制来保证良好的动力学,这需要在未来进一步研究。