
7月31日,王安石抚河特大桥作为“江西高速第一拱”已正式通车运营。在 7月24日 ,为保障大桥顺利通车,应江西省客户单位邀请, 天宝耐特 技术人员携天宝SX10影像扫描仪和天宝0.5秒S9全站仪助力王安石抚河特大桥主桥静、动荷载试验检测。
#项目概况#
王安石特大桥是跨抚河而建的一座大型桥梁,也是构筑环城快速通道、对接全省高速路网的重要节点工程。大桥全长1417米,设计为双向六车道景观桥,为飞燕式钢管混凝土拱桥,主拱跨径168米,两侧边拱跨径均为60米。
王安石特大桥项目建成后将大大减短抚州前往东乡区和金溪县的时间,对于增强抚州地区南北横向运输通道功能,完善区域高速公路网格结构,促进区域经济社会的发展,具有十分重要的作用。




项目现场
#天宝SX10影像扫描仪优势#
一机多用:
天宝SX10具备全站仪,扫描仪,影像功能。
高效率:
全站仪模式下单点测量在2秒内,扫描仪模式每秒26600点完成一次测量只需3分钟,影像获得20秒内。
高精度:
1秒全站仪精度,基于导线测量,扫描点云无需拼接,整体精度取决于导线控制网精度。
可选择性区域扫描:
既可以全穹顶扫描也可以只扫描感兴趣的区域,以便减少外业工作量和外业时间。
远程多类型影像采集功能:
Trimble Vision 技术,集成多款相机传感器 — 广角相机,主相机,同轴望远镜相机等。高达84倍的光学变焦能力(普通仪器30倍),可以清晰的观测几百米处的目标测量并拍照存储。

#项目作业流程#
线形挠度测点布置
由于王安石特大桥桥下为水流湍急的抚河,所以采用了两种方法进行标高测试:
01
中跨上游拱肋坐标和拱座位移采用天宝0.5秒 S9 全站仪和SX10影像扫描仪,中跨下游拱肋坐标和拱座位移采用徕卡0.5秒 TS60 全站仪,边跨拱肋坐标采用位移传感器测量,桥面挠度采用天宝DINI03数字水准仪。
02
使用SX10影像扫描仪,对拱肋和拱座进行全面扫描,多期数据对比全面分析。
测点布置:
主孔每条拱肋分成8段进行挠度测量,边肋分成2段,具体位置见图1。

图1:线形挠度测点布置
测试手段:
天宝SX10影像扫描仪、天宝S9全站仪、徕卡TS60全站仪和天宝水准仪进行测量。
测试工况:
工况1、2、5、6、7、8、11(拱肋坐标和拱座位移采用全站仪、扫描仪,桥面挠度采用天宝DINI03数字水准仪),工况3、4(拱座位移采用全站仪和扫描仪)。

图2:SX10全站仪+扫描功能获得的成果数据
#数据成果分享#
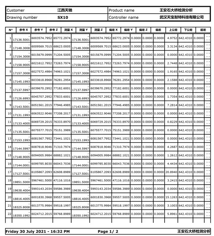
SX10全站仪功能测得成果

图3:SX10全站仪功能测得成果

图4:SX10/S9/TS60成果对比

图5:SX10/S9成果对比

图6:SX10/S9/TS60成果对比
由以上成果分析得出SX10影像扫描仪精度与0.5秒全站仪精度相差较小,满足项目精度要求。
SX10扫描功能测得成果
相比于全站仪单点测绘,扫描仪以每秒26600个点速度的测量,获取的是百万点以上的点云数据,为物体快速建立三维影像模型,能更加全面直观反映出物体的变形,且通过SX10的全站仪放样功能,准确找出偏差值较大的位置。

图7:SX10在桥面清空测得的测数据(初始值)

图8:SX10在桥面第一次受力后测得的数据

图9:桥梁受力前后两期扫描点云数据对比

图10:桥梁受力前后两期扫描点云数据对比

图11:监测分析报告
#项目总结#
01
通过与天宝S9全站仪、徕卡TS60全站仪数据对比,天宝SX10 影像 扫描仪作为全站仪使用时精度丝毫不逊色,1秒精度可靠有保障。
02
三维激光扫描技术作为非接触式测量的代表,能更加全面直观反映出物体的变形。天宝SX10 影像 扫描仪作为扫描仪使用时前景不可估量,尤其是在变形监测、检测领域有广阔的前景。
03
通过使用天宝SX10影像扫描仪:
可以判定桥梁结构试验在荷载作用下的受力工作性能否满足设计及规范要求;
在桥梁结构启用前,为该桥梁结构技术状态建立档案,为运营期间桥梁结构养护工作提供原始资料;
为桥梁的竣工验收、规范化运行提供指导和建议。
文字 / 曾威、市场部
图片 / 曾威、网络
排版 / 市场部