导语:
伴随*币特比**突破3万美金,矿工挖矿再回公众视野。但*币特比**由于矿池数量减少和挖Token难度增加,这时将目光对准其他加密资产不失是一种好策略。本文从挖矿的实际出发,详细比较两种不同类型挖矿技术的优劣,通过专业视角,来看一下为什么分布式存储行业,成为很多人蜂拥而至的淘金之地。
一、挖矿哲学
矿工挖矿,分布式存储赛道领域一个充满争议的话题。究其原因,主要与加密资产Token价、挖矿成本、回本速度等密不可分。
最近,随着加密资产的整体上涨,加密资产的市值再次水涨船高,掀起新一轮加密资产挖矿热潮。2020年,央视一套新闻联播还史无前例地报导了加密资产的现状。在全球所有资产中,加密资产一骑绝尘,领跑所有有价资产。
然而,分布式挖矿赛道却是一条竞争激烈,少有弱旅的赛道。分支领域中,无论是诸如Sia、Storj类的“元老级”项目,还是类如IPFS、DxChain或者Arweave之类的新起之秀,都赚足投资人的眼球。整体而言,无论是上述选手,还是新来成员如Epik、Crust等分食者,项目一上市便遭到投资者疯抢。
如今,“社区繁荣”已成为绝大多数公链项目的统一共识。因此,项目之争,已不再局限于核心技术或客户群之争,而是上升到技术、经济模式到社区架构、通证激励等要素的全面对抗。作为绝大多数公链项目的“主传动轴”,通证的获取、流转和销毁,成了影响该赛道项目竞争的重要因素。
纵观整个赛道,我们不难发现,扮演打包和记账角色的“矿工”,其重要性已无可取代。而作为矿工,关注点莫过于挖矿的回报率与盈利周期。尽管我们不能断言,回本周期短、回报率高的项目就一定是好项目,但也不可忽视这些项目的竞争优势。
当下,伴随共识的趋同,经典的POW共识已不再是获取通证的唯一方式,新兴的POOS以及以此为基础所衍生的DPoS、APOS等不同共识则大大拓展了“挖矿”的内涵,也推动硬件从传统实体矿机向“云挖矿”形式转变。因此,我们希望以挖矿和矿机这一细分领域着手,分析比较当前分布式存储赛道中的主要项目在此范畴内的现状和前景。

数据来源:CoinMarketCap
*市值时间节点:北京时间2020年12月11日 22:00
由此不难发现,在挖矿和矿机细分领域中,尽管始发时间、设计理念不同,但各个项目已呈现出“百花齐放”格局。这一现状,不仅展示了当前挖矿赛道蓬勃的生命力,也表明新入局的矿工,在项目选择上面临一定的门槛和障碍。在本文中,我们试图梳理在回本周期、年化收益这两条矿工所关注的重要标准下各个项目的表现情况,借此在该细分领域简单比较各个项目在此中的长处与短板;同时粗略估计当前该赛道下主流项目挖矿的收益情况。
二、明星项目和明星矿机的投资收益分析
自然而言,我们进入到第二个话题:怎么投资矿机,收益率怎么样?
尽管基于PoS所发展的一系列新型共识已逐渐成为当前区块链项目的主流,但不可否认,经典的POW仍占有相当的优势。相比于PoS通证的灵活性,基于POW的通证在“挖矿”方面仍依赖传统矿机。
就传统挖矿而言,矿工成本主要由两部分组成:挖矿过程中的电力消耗和购买矿机成本。目前,分布式存储赛道中,由于以Sia、IPFS为代表的项目仍立足于传统矿机,因此,对这些项目做简要的分析将有助于我们理解传统矿机所需要的挖矿成本和由此带来的收益。
(一)Filecoin受通证价格等客观因素影响,三个季度内难以回本
相对于运营时间漫长的Sia,新锐的Filecoin面临更大的落差。作为2020年话题度最高的项目,IPFS最初便提出了一个颇具野心的目标:以全新的IPFS协议取代目前在互联网领域中已良好运行了21年,至今依旧是万维网数据通信基础的HTTP协议。
Filecoin的大胆技术革新令其在2020年主网上线之前热度高涨。但令人遗憾的是,在Filecoin主网上线之后,其通证Filecoin的价格却低于投资者预期,而上线交易之后的Token价急跌更是令投资人大跌眼镜。至今,Filecoin仍停留在29USD一线,直教人望Token兴叹。
尽管目前Filecoin的矿机赛道玩家不多,但也并非像Siacoin一样形成唯Obelisk马首是瞻的局面。就目前而言,Filecoin矿机这一赛道中,已有包括先河、石榴、1475、原力区等不同厂商的不同型号选手参赛。而这些选手,也各有所长。例如原力区和储讯相对擅长于存储;星际大陆、星际联盟和原力区在运维方向实力强劲;先河则在算法上表现较为突出。
但在矿机方向上,Filecoin却并不能称之为是一个成功的项目。在Filecoin概念刚刚推向大众的时候,项目本身的远景和雄心曾经吸引了大量的矿商投入矿机研发的行列,市场上也一度出现了“百家争鸣”的盛况。但这一情形并未持续太久,在Filecoin主网上线之后,由于其严苛的验证和严厉的矿工惩罚,很多购买了存储机进行挖矿的用户却并不能从中盈利,甚至出现“越挖越亏”的困局。
面对矿机收益不如预期的困境,头部矿商被迫改变了营销策略——大量头部矿商选择了停止自主研发,而转而向更大的厂商,包括联想、浪潮等寻求定制。而随后在存储技术也寻求专精于云存储的大厂的技术介入,例如阿里云或者七牛云等。
值得注意的一点是,根据Filecoin的经济模型,小矿工是非常难以挖到通证的,如果单独作业,那么在算力不够强的情况下,只能越挖越亏。因此,当前情况下,Filecoin赛道的矿工都倾向于大集群作业,将算力统合起来进行挖掘——这一逻辑和*币特比**的“矿池”相仿。而当存储容量扩张到50-60PB这样一个大当量的时候,对于所有的矿商而言都是一个新的严峻挑战。
由于大存储对于集群和矿商而言都是一个比较大的挑战,那么对于小散户而言,如果单打独斗,则更是难以进入挖矿这一赛道了。也正有鉴于此,在Filecoin业界中,目前矿机已经完全停止了2C的销售;而在2B端,目前头部矿商基本上都依靠大厂商进行硬件和技术的双料支持。

基于商业机密属性,很多矿机生产商并不对外公开矿机详细参数,这使得信息获取困难。目前,我们所能够了解的只有诸如星际联盟和1475这样的采用了七牛云存储服务的头部矿商。而在我们的模拟计算中,也将采用七牛云存储的标准配置,对Filecoin矿机可能达到的收益做一个粗略估算。
但是,对于想在Filecoin挖矿赛道上掘金的新投资者而言,购买矿机并非理性选择。更何况,由于Filecoin社区官方错误运营策略引起的Filecoin通证质押严重不足,导致许多矿机无法正常开机,一直处于闲置状态。迫不得已,许多矿商只好“化整为零”,将有效算力(也就是存储空间)进行出售。
Filecoin运营初期,矿商主要出售“存储空间”概念。由于Filecoin通证的分配基于存储空间大小,因此,矿商可以根据每T的产出对于存储空间进行定价。这样的话,矿工实际上相当于花钱购买存储空间(算力),而把诸如业务托管、矿机运维等等工作都交给了集群维护方来管理。
这种出售方式的存在,与出售空间期货没有本质区别——当公司将算力出售给客户时,这些算力并非立等可取。根据Filecoin机制,数据上传和保存必须经过一个封装流程,这个流程长度不定,但总时长需要消耗超三十天时间。在此期间,Filecoin链上的Gas费用——也即上传成本,会出现变化且难以预估。这就使得矿商封装扇区工作实质上变成了风险投资。若封装过快,且Gas费用过高,那么无疑将导致矿商亏损;若封装过慢,又无法满足客户的需求。
为解决这一难题,矿商开始采取变通措施——提前将存储扇区进行封装打包,再定价卖给客户。这就相当于矿商预支了Gas费用,然后在出售的扇区中调整和折算。这种方式的好处显而易见,既将简化了存储空间的交易程序,实现由期货向现货的转移,也大幅降低了交易的风险。有业内人士透露,此种算力出售方式,可为矿工带来50%至60%的年化收益。
同时我们也留意到,Filecoin主网上线之后,走势却不尽人意——在它的生态系中,Filecoin募集了大量的矿工并集中了非常庞大的网上存储空间,但目前真正广泛使用这些空间的人却寥寥无几。这对于Filecoin的设计来说,属于一个完全的头脚错位问题——对于其通证Filecoin而言,目前市场上的的关注主要仍然来自于其金融属性。大多数的投资者仍然更关心作为项目通证的Filecoin能否实现快速拉盘,但并没有能够关注通证本身在社区中应该担负的各个环节赋能和促使机制健康良性发展的过程。而这种头重脚轻的错位反过来也同样影响了整个Filecoin社区的运转——其存储空间中以垃圾信息居多。
此外,Filecoin项目过于严苛的验证措施也会极大地影响矿工收入。根据Filecoin的经济模型,当矿工因验证问题受到惩罚时,系统不仅要扣除矿工所挖通证,而且还要扣除部分质押商品。由于惩罚过于严厉,矿工往往入不敷出,不赚反亏。由此可见,无论从经济模型、社区运营还是通证功效来看,Filecoin都不是矿工的最佳选择。甚至可以断言,Filecoin是一个缺点颇多、设计有些不合理的项目。这也为向Filecoin项目投资提供了非常显而易见的风险。
(二)Siacoin的低价格令矿工回本漫长而困难
Sia可能是目前该赛道中历史最久、运营最成熟的项目。作为该项目中的通证,Siacoin至2021年1月15日的市场总值高达2.05亿美元。
截至目前,Obelisk SC1仍然是唯一支持Siacoin挖矿的矿机。这种矿机的单一化能够降低我们在估算Siacoin矿工平均收益的难度,但同时也需考虑另外两个决定挖矿收益的两大因素——浮动的Token价和电费。为了便于估算,我们以特定比价时点为基础,并取平滑电价来计算,以求管中窥豹,透析矿工运营一二。
基于eBay公开信息,购买一台功耗500W,算力550GH的Obelisk SC1矿机成本价格为1500美元(约合人民币9820.05元),而按照平滑后的2020年上海居民民用电收费标准0.51元/度进行计算,使用一台500W/550GH的Obelisk SC1矿机需要20040.92天(≈54.87年)才能够完成回本:

Siacoin当前挖矿收益计算,数据来源:https://wk588.com/jsq/siacoin
显而易见,相比诞生仅11年的区块链而言,55年的回本时间过于漫长。即使考虑矿场电价远低于0.51元/度这个假设,Siacoin回本时间也不会有太大改观——因为基于这个测算模型,矿机运费、场地和损耗等因素并未在列。因此,我们可以断言,在目前状况下,选择Siacoin进行挖掘,很难说是一种明智的选择。
究其原因,这主要与Siacoin通证价格的长期低迷有关。在2018年年初那一波相对狂热的走势之后,Siacoin陷入了长期价格低迷不振的横盘走势,尽管在最近(2021年1月15日16:00实时价格1SC=0.004522USD)迎来了一波上涨,但相距于2018年的历史高点,仍然有着较大的价格差距。这样来看,对于新进入Siacoin挖掘的矿工而言,依旧需要等待一段相对漫长而艰苦的寒冬季节。

Siacoin通证价格,图源:CoinMarketCap
如果我们观察Siacoin的长期走势,不难发现最近三年Siacoin的价格长期保持盘整,波动幅度极小。究其原因,主要由以下两大因素所影响:
第一、Sia项目技术变革相对保守,远离主流大生态圈。从以太坊2.0的发展不难看出,跨越式发展往往会大幅推高通证价格,极大活跃通证交易的流动性。而另一方面,区块链的竞争已经从单一公链扩展到了大型的链上生态圈,无论近期吸人眼球的以太坊还是波卡,都将链上生态玩得风生水起。反观Sia,由于死守自身公链,完美错过了生态圈繁荣发展的风口。
第二、Siacoin自我设置的通证产出量过低。Siacoin目前的出块速度是每600秒出一个新块,而每一个块的产出量是30000Siacoin。高额的出通证产生速度极大的摊薄了挖出区块的利润,但囿于POW的共识模式,矿机的生产成本却几乎没有下降空间,此消彼长之下,Siacoin矿工的利润被大幅摊薄。
2021年新年伊始,Siacoin经历了一波通证价格的暴涨,与此相应,其全网算力也已经从2020年底的80多TH暴涨到了当前的8.875PH,相当于上翻了100倍。但前文已经提到,Siacoin当前的通证价格距离其高点——2018年时期差距仍然很大,而且全网算力的暴增使得矿工在投入不变的情形下收益被新加入的算力进一步挤占,因此,我们在此对于Siacoin的矿工收益仍然持谨慎观望态度。

Siacoin当前算力,图源:wk588
(三)PoS:矿工的新选择
从上述分析不难发现,矿工对矿机的选择,几乎决定了项目的回本速度和项目成败。因此,矿机的选择,是矿工迈出的第一步。
对于多数新晋矿工而言,是否需要选择依靠矿机的项目是在其调研早期就会面临的重大选择之一。实体矿机当前所遇到的问题,可能包括沉没成本、高耗能、硬件折旧等方面所带来的的高昂前中期投入,而这种高昂的投入实质上将令许多新手矿工望而却步。
但并非所有的链上项目都需要依赖实体矿机,以“通证质押”和“分红”为主要投入和产出手段的PoS共识为矿工群体提供了另外的一条可行路径——矿工只需要在链上质押通证作为投入,就能够定期享受到“分红”所获得的收益。PoS的生态逻辑使得矿工得以摆脱传统矿机这一硬件束缚,以更低的门槛投入到挖矿中去。
随着技术的发展,更多的新项目也采用了PoS作为其社区的共识基础。这些项目由于免除了矿机所带来的必然的沉没成本因此同样受到关注,那么在这些以PoS机制为共识的中,哪些可能会展现去比较好的收益前景呢?这就是我们在下文中需要分析的内容。
在目前,在分布式存储的赛道上,采用PoS或者类PoS共识作为项目中,比较有代表性的项目包括DxChain、Epik、Crust、Arweave等等。项目的繁杂在一方面的确是PoS共识发展和壮大的信号,但同时,对于矿工,尤其是新晋矿工而言,如何快速地选择收益较高的作品则会变得更难。而我们希望就对各个代表性的PoS项目矿工收益情况做一个简单的梳理和比较。
(1)当前DxChain 项目盈利情况较好,拥有较快的回本周期
DxChain是近期内受关注度相对较高的分布式存储项目之一,该项目的初衷是作为一个大数据分析和机器学习的网络,和商业数据的智能分析平台为用户提供帮助。在其商业逻辑下,矿工的角色定位与前述利用传统矿机实现通证挖掘的项目有所不同,除了DPoS质押挖矿,未来DxChain的存储矿工还将被鼓励贡献其闲置的存储资源来提供数据存储服务。
以下将重点讲解DxChain的DPoS质押挖矿,在当前DxChain的语境中,“矿工”被称为“存储矿机节点”,可通过参与通证质押,并从质押的分红中获得收益。根据DxChain的数据来看,在其第一年投入的质押通证总量为120亿DX的情况下,总体年收益率(总奖金池/节点质押总量)大约在8.33%左右。目前DX DPOS的质押总量即将达到150亿DX,也就意味着质押总奖金池即将增加至13.5亿DX,由此初步计算DX总体年收益率也将随之增加至9%。

数据来源:DxChain Network
由上图中的表格我们可以看出,在DPoS共识下,矿工将会非常容易地发现一个问题——那就是随着质押节点数量的增加,矿工的总体年收益率是在逐渐摊薄的。这一点在直觉上会构成一个颇为艰难的悖论——如果DxChain通证价值升高有利可图,必然参与质押的节点会大量涌入,从而摊薄矿工收益并且对整个社区产生一定的负向影响。因此,如何在DPoS的语境下维持矿工的收益,对冲摊薄的风险是社区所必须要考虑的问题之一。
DxChain在DPoS质押挖矿中还提出了“超级节点”的概念,“超级节点”在DxChain中指代表存储矿机节点进行打包出块的特殊节点,在整个网络中超级节点的个数会根据候选节点的数量做跳跃式阶梯型调整。超级节点相对于普通节点而言,其主机有着更好的性能和通讯带宽,超级节点由程序从所有候选节点中随机选出,候选节点获得的总票数越多意味着权重越大,被选中的概率也就越大。而超级节点当选之后,会按照其奖励分配承诺将收益分配给为其投票的存储矿机节点。
现在我们可以简要估算一下超级节点所带来的的收益了,假设选举出的超级节点数是固定的,而DxChain的出块速度则是固定的每8秒出一块。由于已知DxChain每年的通证产出量是10亿个,因此通过简单的计算可以得知每块的通证产出量量大约是254DX,而每天每个超级节点打包的次数平均为514次,在此估算下每个超级节点一日可以获得的收入为123,940DX。
根据DxChain官方提供的数据,我们假设超级节点将30%的收入分配给自身,并且该超级节点每个月成功当选20次(对于单个候选节点而言能当选超级节点的概率为2/3),则该超级节点的年收益率可以达到29.75%。需要注意的是,由于DxChain新经济模型的规则调整,以上数据将随节点个数、链上质押总数的变化而变化。
至于不参加超级节点竞选的存储矿机节点,同样可以经由投票选举超级节点而获益——每一个竞选成功的超级节点都会将其收入以分红的形式向投票支持其竞选的存储节点分配其所得。而值得注意的是,以上的各项估算,都是在通证价格大体维持不变的前提下得出的结论,也即是说,如果其通证DX的价格上涨,那么无论链上的哪一个环节,都能够展望更高的年化收益。
现在回到我们最开始所提到的那一点,即通证价格是决定矿工的投入是否能够取得良好的收益的关键。而从目前的的Token价走势而言,DxChain虽然面临着通证价格的波动,但是就其走势来看,依然是一个比较正常的涨落范畴,尚未出现一蹶不振,伤及矿工及投资者信心的情况。

DxChain通证价格近期走势,资料来源:CoinMarketCap
我们都知道,通证价格这个概念,本身是和项目的业务指标——包括可扩展性、业务痛点等更加基础核心的属性所息息相关的。而在这方面,我们认为DxChain的业务痛点——机器学习与人工智能,毫无疑问正好打在当前的一个大风口上。机器学习行业经过了漫长的理论和试验的蛰伏期,目前已经在信贷风控、电商、智慧城市等各个新兴的技术行业上崭露头角。
让我们再重申一遍,在区块链这个大语境中,通证价格同时担负着原因和结果的二重角色——既是很大程度上当前项目运营情况的反应,同时又是为项目前景提供刺激或抑制的主因。就目前而言,如果单单考虑DxChain的通证价格波动,总体认为其还是能够受到投资者的认可,因此,对于该项目在矿工这一细分领域的前景,总体来说相对还是比较乐观的。
(2)Epik项目过于新锐,尚待较长时间的观望
Epik Protocol是2020年出现的另一个黑马项目,该项目旨在构建一个去中心化的知识图谱协作网络。相对于其竞争对手,Epik的“矿工”角色具有更加低的入门门槛和更加平易近人的算力获得及累积方式。在Epik的语境中,存在类似于超级节点的“领域专家”角色,该角色具有上传数据的权限,而矿工则为其提供免费的存储服务来获得算力。
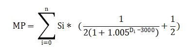
成为Epik矿工并不困难,任何人只需要缴纳1000EPK(Epik Protocol通证)即可,矿工成功提供免费存储的行为所获得的算力(MP)由以下两个参数决定:矿工第i个存储订单占用的扇区大小总和(Si)、矿工在第i的订单所处于的成交顺位(Di),其算力(MP)服从公式:

Epik的矿工凭借算力参与挖矿,其挖矿收益旨在七天之后之后开始发放,并分7天发放完成。根据我们的测算,假设EPK的买入通证价格为0.06USD,卖出通证价格为0.246USD并且长期不变,那么在投入10000美元的前提下,以每节点日均挖矿量16.2个区块计算的话,日均收益为4.98%,仅仅需要30天即可实现回本。
但我们需要注意的是,前述的EPK挖矿的快速回本取决于一个重要条件,即EPK买入和卖出价之间将近4倍的差距。如果EPK的价格并没有实现这种4倍的暴涨,而是基本持平于0.06USD的买入价的话,其日均收益将回落至1.21%。因此我们不难看出,对于EPK而言,其通证价格与日均收益服从线性的正相关关系,因此,EPK矿工收入的多少,可以说几乎全由市场上EPK的价格所决定。
(3)Arweave的收益难以估测
Arweave是一个类似于IPFS的区块链存储项目,该项目同时也支持和兼容IPFS协议。相比于其他的分布式存储项目而言,Arweave最大的不同在于其付费机制——相对于传统的分布式存储项目的定期支付租金的方式,Arweave采取了单次收费即可保证存储在公链上永久有效。作为IPFS的激励层之一,该项目于IPFS协议实现了向后兼容,这意味着IPFS的开发人员可以无缝地向Arweave进行过度,而我们也可以将其理解为IPFS协议的一种扩展。
Arweave采用的共识PoA是一种相对新颖的共识方式,该共识要求每次出新区块的时候必须同时验证一个随机的历史区块。而仅仅只有验证了该历史区块的节点才有进行POW出块的资格。该共识要求每个节点保存足够多的区块来参与POW出块,并且能够在原POW出块的逻辑上实现电力和资源的节省。
但相对于其他项目来说,Arweave的项目方似乎对于矿工收益这样的数据表现出更为审慎的态度,在我们关于这方面的调研中,官方的反馈相对较为沉默。因此我们难以对Arweave的矿工收益做出一个合理的预估,但就其通证走势情况来看,AR经历了一个大的波峰,当前正在面临着低位的横盘阶段。照此看来,或许可以初步猜测,Arweave的矿工也许当前收益并非那么理想。
(4)Crust未来可期,但矿工收益缺少更多的数据进行精准评估
Crust是Polka生态体系下的分布式存储项目,一向以跨链技术所见长的Polka在分布式存储赛道上凭借Crust占有了一席之地。在共识上,Crust采用GPOS共识来试图融合POW的资源公平性及POS的高性能,以达到博采两家之长的效果。
GPOS是一种以“担保”为核心概念的权益共识,与采取POS共识的项目类似,Crust要求节点质押其通证CRU来争夺区块打包记账的权利。但仅仅只有CRU的质押在该共识下是不够的,Crust要求节点需要有一定数量的存储资源作为担保,并且要求必须有存储资源为担保的节点才有质押CRU的权利。
Crust自述引入担保机制的核心在于担保机制要求攻击方同时拥有大数量的质押通证和足够的网络储存资源,而同时具备这两个条件将大大提高攻击者的攻击成本,从而提高整个公链的安全性;但同时,这种担保人的额外加入也令Crust的矿工团队变成了一个相对更加复杂的三元结构,除了传统POS类共识项目中的普通节点和拥有打包记账权利的大节点之外,还有被称为“担保人”的特殊身份。担保人提供CRU担保质押,同时担保各个节点拥有相应的存储资源。在这种情况下,Crust矿工层的具体角色便有了验证人、候选人、担保人三种,其情况大体如下表所示:

数据来源:Crust Network
由于采用PoS类算法概念,在Crust的挖矿网络中,传统矿机地位不复存在,而是以“节点机”的概念取而代之。Crust的节点机配置大致和Kusama项目的节点机配置相当,其推荐配置为I7/64G RAM。但就使用方的反馈来看,I5/32G RAM的条件下,在Crust的性能表现和推荐配置总体相差不多。对于其节点机和储存机的配置来说,Crust对于硬件的要求相对比较宽容。
对于Crust的整个生态圈布局而言,其更加看重的在于整个生态圈的繁荣和均衡发展。在Crust的项目语境下,矿工主要的扮演角色在于存储空间的提供者。但由于提供闲置存储空间本身就是一个低成本的活动,因而考虑到项目初期可能造成的矿工积压和该情形对整个项目可能产生的连带风险,Crust在项目的初期对矿工并没有奖励和分红措施。
但这并不意味着该项目的矿工一定难以从中获得收益——尽管在主网上线之前的CRU通证分配中,项目方并没有为矿工预留其位置。但在项目上线后的第一年内,矿工能够获得总量500万的CRU通证。而就长远目标来看,Crust总共能够释放出5000万的CRU,而其中有3000万能够由矿工来获取。因此,Crust项目的矿工虽然无法在第一波分配中获取收益,但长远来看的话,收益仍然是可期的。
在Crust项目方的愿景中,该项目在业务完全展开之后,有望获得大约500PB的总存储量,而规模也大约能够达到十亿的量级。在此条件下,项目方估算届时Crust的通证价格大约可以达到当前的100倍左右。而让人印象深刻的一点在于,Crust对于这样的远景,态度相对是冷静而谨慎的。团队这种布局谨慎、不贪功冒进的姿态,对于相信其未来的稳步发展也颇为有利。
(5) Filestar比Filecoin收益更高,回本速度大大加快
如前文所述,由于通证价格的影响,Filecoin的矿工并未能够按照当初的预想快速地达到收回成本、实现盈利的目标。但无论如何必须注意到的一点在于,Filecoin本身是一个技术和生态都相对成熟完善的项目,因此即便是其本身遭受挫折,在其框架下仍然有新的分叉项目能够继续开拓赛道。例如Filestar文曲星(以下简称Filestar),便是在Filecoin项目分叉出的另一个在分布式存储中赛道中推进的参赛者。
从原生态的Filecoin项目分叉之后,Filestar致力于使用更低的挖矿门槛和更高的可扩展性来推动整个社区。一方面,Filestar取消了在Filecoin中使用的前置抵押,减少因为矿工投入过大和sector封装有效信息不足所造成的的矿工停摆;另一方面,Filestar同时优化了Filecoin软件的任务调度和零知识证明程序。这两个方面的优化改进有效地降低了原先Filecoin的挖矿成本并提高了其效率。
如果我们对于Filestar的挖矿效率进行估算的话,由于减少了消耗资源和成本最大的前置抵押,因此矿工的回本速度大大加快。根据模拟数据,如果保持Filestar通证价格3.0USD计算的话,一台封装算力0.72T的矿机只需要127天即可回本。而Filestar的这个速度相比起之前的Filecoin超过一年的周期,已经大大加快了。
三、挖矿指南
对于新晋矿工而言,挖矿并非易事。从决定进场挖矿,到真正实现盈利,过程痛苦而漫长。尽管回本的过程漫长难熬,但与我们的习惯性思维相对,挖矿本身并不是一个学习门槛很高的行为。在任何一个加密资产社区中,通证的铸造和产生都是其最底层、最基础的经济链条之一。因此,为了壮大矿工群体,如何降低挖矿门槛,也是社区核心开发者所必须考虑的问题之一。在当前加密资产百家争鸣的情况下,无论是哪种通证,采用何种共识模式,其挖矿方式都不会非常繁杂。此前,我们也分别从PoS和POW两个角度对比了两种挖矿方式的优劣。为让投资过程深入浅出,我们下面将以Sia和DxChain为例,讲解矿工挖矿方法。
(一) 一切生产依托于矿机的Sia
Sia的挖取目前完全依赖于矿机Obelisk SC1。目前Obelisk SC1仍然支持对C端的销售。而矿工用Obelisk矿机挖矿所需要的步骤也并不繁杂。首先,矿工需要先购买Obelisk矿机,然后登记自己的Siacoin钱包地址,并在矿机的后台填写矿池和矿工信息。之后等待矿机进行运转之后,挖到的Siacoin就会自动存入矿工的钱包地址之中。总的来说,Siacoin的挖矿方式虽然传统,但是流程比较简便,即使从未有过挖矿经验的新人矿工也可在简单的指导下顺利完成从部署矿机、注册钱包地址到挖矿的全部流程。
除此之外,Sia同样允许矿工对矿机的运行状态和产出收益做一个全天候的监测,矿工只需要登录矿池的主页面,就能看到矿机运营的详细情况和产生的收益明细。
(二)DxChain质押通证即可挖矿
相较POW项目,以DxChain为代表的PoS项目则采用了“质押挖矿”模式。以DxChain为例,仅需在其官网上质押100万DxChain通证(约合12775元人民币),即可享有云矿机投票和挖矿权益。此条件下矿工收益主要来自两部分:一部分为通证分红,另一部分来源于矿工通过超级节点质押投票所产生的分红。
相比于使用矿机挖矿的Siacoin,DxChain最大的不同点就在于取消了矿机挖矿,而改用质押通证的方式。尽管和传统POW模式加密资产相比,其质押分成的通证生产与分配逻辑并不是那么容易理解,但DxChain的挖矿同样减少了购买、维护和更新矿机的流程,矿工的所有业务都可以在线上完成。两相比较,我们认为,DxChain采取的以质押通证为实现方式的挖矿流程,无论从成本上,还是从整个挖矿流程的学习曲线上,都胜于类似于Siacoin、Filecoin等依赖传统矿机实现通证产出的项目。
四、结论
从对于分布式存储赛道中的各个参赛者的分析来说,总的看来,在挖矿收益的细分领域中,不同项目的矿工收益对比差距仍然很大。纵览各个项目的不同表现,我们能够得出的结论总共有以下两点:
(一)、总的来说,POW类共识有更高的沉没成本,同时也会导致具有更低的收益。
在我们对于上述项目的综合分析中,我们可以看到,POS类与POW类共识项目的成本支出完全不同。其中对于POW项目来说,其成本的最大支出方向来源于矿机和挖矿时的资源耗费;而POS类项目的主要支出则在于先期质押的通证。尽管无论对于哪种方式,成本中都有一个“资产冻结”的概念——表现在POW中是矿机的购买,而在POS中则是通证质押。但比较其成本而言,POS共识无疑是占了优势的,其主要原因有二:其一在于矿机成本的沉没。相对于质押通证而言,矿机购买之后就无法按照原来的价格再换成资产;而被抵押的加密资产则可以在释放之后回归到投资者手中。而其二则是矿机作为一种实体机器,承担着因技术进步而必须更新换代的压力,而每次矿机的更新换代都会带来沉没成本的增长。而在POS中,算力的提升藉由质押通证数量的增加而实现,而这种“质押”仅仅是通证锁仓而已。换而言之,它是“非沉没”的。因此在成本上,无疑POS类的挖矿成本会更加低廉。
而我们需要反复提醒的一点是,这并不能说明采用了POS共识的项目在矿工收益上就一定优于POW类。因为无论对于以质押通证为本的POS类项目,或是以矿机挖矿为生产方式的POW类项目来说,与矿工收益这一点最息息相关的因素,在于通证的价格涨跌。尽管通证价格在短期内属于不可控因素,但如果在长期来看的话,通证价格与该社区的技术、运营和生态环境都是息息相关的。因此,从这一层意义上来讲的话,如果项目希望矿工能够获得良好的收益的话,终究是“打铁还需自身硬”,只有项目的良好、健康的持续运转才能够实现上述的目标。
(二)、目前来看,以DxChain为代表的分布式存储项目,是相对比较值得矿工进行长期稳健投资的项目
如果以当前时间作为节点,纵观分布式存储赛道上的各个项目,DxChain和Crust暂时展现出较好的发展的可行性。其中,DxChain又因为其清晰的收益逻辑、透明的数据而显得更加适合于新矿工的进场。经过我们之前的分析,DxChain的优势主要体现在:直击业界痛点的产品逻辑、靠谱的团队、POS的共识选择以及合理的经济模型。但是值得注意的是,区块链业界更新迭代快、技术发展多样、投资风险高,因此,我们仍旧建议未来的“准矿工”在进场前充分了解并自行把控项目风险。但就目前的情况来说,对于上述两个项目在挖矿中展现出的良好收益与未来继续盈利的可能,仍旧是值得赞许的。
最后感谢 Moc fund创始人卢磊对本文的贡献。
本文为达瓴智库公众号原创,内容旨在信息传递,不构成任何投资建议。
作者:Akechi、尹举新、阮玉敏丨达瓴智库
编辑:杨俊义|达瓴智库
校对:龚良军|达瓴智库
审核:Amber|达瓴智库
注释
1.根据2020年上海市居民用电收费标准,在0-3120度用电档位,收费标准为峰时段0.617元/度,谷时段0.307元/度。以该收费标的复合峰、谷时段市场,得出的日均价格为0.51元/度。
2.事实上,853元/T的算力价格在Filecoin矿机中已经算极为低廉。根据微信公号“FIL琅琊榜”公开的数据,Filecoin矿机算力的普遍价格在1000元/T以上。
3.Filecoin矿机回本估算中的FIL价格为做该估算时的实时价格,下同。
Reference list
1.挖矿网官方网站 https://wk588.com/jsq/siacoin
2.Siacoin price today, SC marketcap, chart, and info | CoinMarketCap
https://coinmarketcap.com/currencies/siacoin/
3.《火币“新币挖矿”项目Crust:Polkadot 后发优势体现在大、跨、高、升》,链得得的朋友们https://www.chaindd.com/3404131.html
4.《Filecoin矿机最全投资宝典,防割韭菜必看!》,IPFS怪盗KIDDD
https://zhuanlan.zhihu.com/p/166382432
5.《Filecoin 挖礦的複利之美》,開源存儲
https://www.chainnews.com/zh-hant/articles/171278500766.htm
6.《Filecoin矿商史上最全测评,看完这篇谁也坑不了我》,区块链大本营
https://blog.csdn.net/Blockchain_lemon/article/details/107328419
7.Crust白皮书
8.Epik白皮书
9.达瓴智库公众号,《分布式存储世界里的逆行者 ——DxChain的新式架构和生态理念》 https://mp.weixin.qq.com/s/BrJF1gib-h4dZQEcHhl7jg
10.DxChain公众号,《致DxChain投资人的一封信》
https://mp.weixin.qq.com/s/44oyBmD6lBIkDfNnJ5dQtg
11.DxChain公众号,《DxChain主网试运行线上发布会精华》
https://mp.weixin.qq.com/s/vglGdSprfRBr0G7PHzHJxw
12.DxChain公众号,《骆驼大学第十二期|解读DX新经济模型》
https://mp.weixin.qq.com/s/IUi89FdQVvXNfpHmVGrRcg
13.DxChain公众号,《DxChain有问必答精华2020/08/06》
https://mp.weixin.qq.com/s/rFW-Tx2iSA-S3t1QzOhYaw
14.DxChain公众号,《骆驼大学第十四期|未来DX的生态落地》https://mp.weixin.qq.com/s/VS_haylCjRJFg0SG1SG8kw
15.DxChain官方网站https://www.dxchain.com/
16.IPFS项目白皮书、IPFS官方网站https://ipfs.io
17.Storj项目白皮书、Storj官方网站https://storj.io/
18.SiaCoin项目白皮书、SiaCoin官方网站https://sia.tech/
19.YottaCoin项目白皮书、YottaCoin官方网站https://www.yottachain.io/zh
20.BTT项目白皮书、BTT官方网站https://www.bittorrent.com/token/btt/
