滤波器在生活中应用很多,因此很多朋友想一窥滤波器原理。通常,对于滤波器原理的理解往往基于一定技术基础,所以学习滤波器原理需要耐心、坚持。本文中,将为大家详细讲解巴特沃斯滤波器原理,并向大家介绍巴特沃斯滤波器的一些相关知识,一起来看看吧。
一、什么是巴特沃斯滤波器
巴特沃斯滤波器是电子滤波器的一种。巴特沃斯滤波器的特点是通频带的频率响应曲线最平滑。这种滤波器最先由英国工程师斯蒂芬·巴特沃斯(StephenButterworth)在1930年发表在英国《无线电工程》期刊的一篇论文中提出的。
二、巴特沃斯滤波器的特性
巴特沃斯滤波器的特点是通频带内的频率响应曲线最大限度平坦,没有起伏,而在阻频带则逐渐下降为零。在振幅的对数对角频率的波特图上,从某一边界角频率开始,振幅随着角频率的增加而逐步减少,趋向负无穷大。
一阶巴特沃斯滤波器的衰减率为每倍频6分贝,每十倍频20分贝。二阶巴特沃斯滤波器的衰减率为每倍频12分贝、三阶巴特沃斯滤波器的衰减率为每倍频18分贝、如此类推。巴特沃斯滤波器的振幅对角频率单调下降,并且也是唯一的无论阶数,振幅对角频率曲线都保持同样的形状的滤波器。只不过滤波器阶数越高,在阻频带振幅衰减速度越快。其他滤波器高阶的振幅对角频率图和低级数的振幅对角频率有不同的形状。

图1展示了不同阶的幅频特性。可见阶数n越高,其幅频特性越好,低频检测信号保真度越高。
巴特沃斯与贝塞尔(Bessel)、切比雪夫(Chebyshev)滤波器的幅频特性、相位特性如图2、图3所示。


从图2、图3可以看出,巴特沃斯滤波器在线性相位、衰减斜率和加载特性三个方面具有特性均衡的优点,因此在实际使用中已被列为首选。
三、巴特沃斯滤波器原理
巴特沃斯型滤波器在现代设计方法设计的滤波器中,是最为有名的滤波器,由于它设计简单,性能方面又没有明显的缺点,又因它对构成滤波器的元件Q值较低,因而易于制作且达到设计性能,因而得到了广泛应用。其中,巴特沃斯滤波器的特点是通频带的频率响应曲线最平滑。
滤波器的截止频率的变换是通过先求出待设计滤波器的截止频率与基准滤波器的截止频率的比值M,再用这个M去除滤波器中的所有元件值来实现的,其计算公式如下:M=待设计滤波器的截止频率/基准滤波器的截止频率。
滤波器的特征阻抗的变换是通过先求出待设计滤波器的特征阻抗与基准滤波器的特征阻抗的比值K,再用这个K去乘基准滤波器中的所有电感元件值和用这个K去除基准滤波器中的所有电容元件值来实现的。
四、巴特沃斯滤波器优点
巴特沃斯滤波器的特点是通频带内的频率响应曲线最大限度平坦,没有起伏,而在阻频带则逐渐下降为零。在振幅的对数对角频率的波得图上,从某一边界角频率开始,振幅随着角频率的增加而逐渐减少,趋向负无穷大。
一阶巴特沃斯滤波器的衰减率为每倍频6分贝,每十倍频20分贝。二阶巴特沃斯滤波器的衰减率为每倍频12分贝,三阶巴特沃斯滤波器的衰减率为每倍频18分贝,如此类推。巴特沃斯滤波器的振幅对角频率单调下降,并且也是唯一的无论阶数、振幅对角频率曲线都保持同样的形状的滤波器。只不过滤波器阶数越高,在阻频带振幅衰减速度越快。其他滤波器高阶的振幅对角频率图和低级数的振幅对角频率有不同的形状。
巴特沃斯滤波器是滤波器的一种设计分类,类同于切比雪夫滤波器,它有高通,低通,带通,高通,带阻等多种滤波器。它在通频带内外都有平稳的幅频特性,但有较长的过渡带,在过渡带上很容易造成失真,我在调用MATLAB里的巴特沃斯滤波器做仿真时,信号总会在第一个周期略微有些失真,但往后的幅频特性就非常的好。
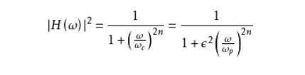
五、巴特沃斯滤波器传递函数
巴特沃斯低通滤波器可用如下振幅的平方对频率的公式表示:

其中,n=滤波器的阶数
wc=截止频率=振幅下降为-3分贝时的频率
wp=通频带边缘频率
六、巴特沃斯、切比雪夫、贝塞尔滤波器的区别

巴特沃斯滤波器、切比雪夫滤波器、贝塞尔滤波器均包括模拟滤波器和数字滤波器两种形式。
数字滤波器是指完成信号滤波处理功能的,用有限精度算法实现的离散时间线性非时变系统,其输入是一组数字量,其输出是经过变换的另一组数字量。因此,它本身即可以是用数字硬件装配成的一台完成给定运算的专用数字计算机,也可以是将所需运算编成程序,让通用计算机来执行。数字滤波器具有稳定性高、精度高、灵活性大等优点。随着数字技术的发展,用数字技术实现滤波器的功能越来越受到人们的注意和广泛的应用。
巴特沃斯滤波器的特点是通频带内的频率响应曲线最大限度平坦,没有起伏,而在阻频带则逐渐下降为零。 在振幅的对数对角频率的波特图上,从某一边界角频率开始,振幅随着角频率的增加而逐步减少,趋向负无穷大。巴特沃斯滤波器的频率特性曲线,无论在通带内还是阻带内都是频率的单调函数。因此,当通带的边界处满足指标要求时,通带内肯定会有裕量。所以,更有效的设计方法应该是将精确度均匀的分布在整个通带或阻带内,或者同时分布在两者之内。这样就可用较低阶数的系统满足要求。这可通过选择具有等波纹特性的逼近函数来达到。
贝赛尔(Bessel)滤波器是具有最大平坦的群延迟(线性相位响应)的线性过滤器。贝赛尔滤波器常用在音频天桥系统中。模拟贝赛尔滤波器描绘为几乎横跨整个通频带的恒定的群延迟,因而在通频带上保持了被过滤的信号波形。贝塞尔(Bessel)滤波器具有最平坦的幅度和相位响应。带通(通常为用户关注区域)的相位响应近乎呈线性。Bessel滤波器可用于减少所有IIR滤波器固有的非线性相位失真。
切比雪夫滤波器是在通带或阻带上频率响应幅度等波纹波动的滤波器,振幅特性在通带内是等波纹。在阻带内是单调的称为切比雪夫I型滤波器;振幅特性在通带内是单调的,在阻带内是等波纹的称为切比雪夫II型滤波器。采用何种形式的切比雪夫滤波器取决于实际用途。
当滤波器具有相同阶数时:
巴特沃斯滤波器通带最平坦,阻带下降慢。
切比雪夫滤波器通带等纹波,阻带下降较快。
贝塞尔滤波器通带等纹波,阻带下降慢。也就是说幅频特性的选频特性最差。但是,贝塞尔滤波器具有最佳的线性相位特性。
此外,还有椭圆滤波器,椭圆滤波器在通带等纹波(阻带平坦或等纹波),阻带下降最快。