
作者 | 沈雷东
11²?有没有弄错?读者朋友可能要问。没错,我们就要从这儿出发,悄悄地进入奇妙的数学王国漫游,来到葱郁的百草园撷趣。你可以遇见奇异的角色、不同的对象,邂逅“贪食蛇”,窥探“金角大王”,观察“兔子家族”,动手搭建“金字塔”,仰望“星空”,说不定你还会有什么发现呢?
1
数
人之初,咿呀学语,认字识数。我们识数是从“1”开始的。一个指头、一个人、一棵树、一朵花儿、一只小狗儿、一间房子、一颗星星等等,给了我们数字“1”的概念。《道德经》上说,道生一,一生二,二生三,三生万物。从 “1”开始我们认识了10以内的数字以及个、十、百、千、万、亿等基数,以至于无穷。
上小学时,我们学会了“+、-、×、÷”四则运算和乘方、开方等运算。做乘法算术题,两位数乘法就有点烦琐。可是当遇到一个乘数是11时,我们难得喘口粗气;因为无论被乘数多大,只要乘数是11,乘法就变成了加法——列乘法竖式时,先在竖式横杠下面照写一遍被乘数,然后在下一行把被乘数的数字逐位向左移一位,最后把这两行数字相加即可。
有例为证:

这是连机器也会做的算术题。可不是吗?电子计算机就是这样运算的。不仅如此,而且它运算的是二进制数字,它用“开”、“关”两种电路状态分别表示 “0”、“1”数字。
如果被乘数也是11,那么我们简直乐开了花!

再来一个,复杂一点:

再算一个:

111²=111×111怎么样呢?

看呢!数字排成了队,首尾对称!这里蕴藏着什么规律吗?
我们来寻找11的自然数次乘幂,即11ⁿ 的各位数字之间的关系。把这些数字排列、堆叠成一座积木,会怎么样呢?

可以看出图(1-1)的第0(我们不妨假设顶点为第0层)至4层数字依次对应11的0至4次乘幂,而且数字积木每一层中间的数字都是它左、右肩上两个数字之和(如果从第1层起,把首(尾)位的“1”的在积木外面的左(右)肩数字视为 “0”,那么首(尾)位数字也符合这个规律),好像“贪食蛇”,一口吞并前头的两个数字到腹中,又各生长出新的“头”、“尾”。如第4层数字为:1 4 6 4 1,其中4=1+3,6=3+3,均为其左、右肩上两个数字之和 。
第5层呢?第5层对应11的5次乘幂,我们用竖式计算如下:

(1-6)式中相加时,百位和千位的上、下数字之和大于或等于10,超过了1位十进制数字,我们把超过1位数字的和仍然写在本位上,这不影响11的乘幂结果,却为我们考察多项式乘方展开式的系数的规律带来了方便。
为了保持不同数字位的间隔,我们索性把11变成1+i(其中i为字母),于是求解二项式乘方展开式系数,也可以用求解 (1+i)ⁿ 展开式的办法。
2
式
用字母代表数,如用a、b、c等代表数字,施以四则运算、乘方、开方等,我们有单项式(如a、ab等)、多项式(如a+b, a+b+c等)。
又由加法、乘法的运算律:

这些临时已足够,我们对二项式乘方(a+b)ⁿ展开。为了便于观察,我们列出竖式:

又有

对比可以看出本节中的多项式相乘竖式与第一节中的多位数相乘竖式本质上是一致的:我们把按字母a的降幂排列的多项式的系数单独拿出来排成一行,如a+b的系数排列为
1 1
然后把它整体左移一位(这里的位,表示字母a的幂次),按位与原数字相加,如(1-2)式,得
1 2 1
以此类推,即得二项式n次乘方展开式的各项系数,与第一节中的数字积木(图(1-1))相应层的数字一致。
现在我们用组合的观点观察二项式乘方展开式的各项:
先看 (a+b)² 的展开式,它由3个二次项相加,这3个二次项按照字母a的降幂(a的幂指数分别为2、1、0,同时是字母b的升幂)排列,即为
a² ab b²
而二次项的系数是多少呢?
考察(a+b)²=(a+b)(a+b),它的展开式的每一项是从2个二项式因式中分别取出1个字母,然后相乘得到的。如a²项的系数为1,只有1种取法:从2个二项式因式中取出2个因式(有1种取法),同时从每一个二项式因式a+b中都取出1项a(只有1种取法)。ab项的系数为2,有2种取法:从2个二项式因式中取出1个因式(有2种取法),同时从这个因式中取出1项a(只有1种取法),而且从另一个因式中取出1项b(只有1种取法)。同理,b²项的系数为1,只有1种取法。
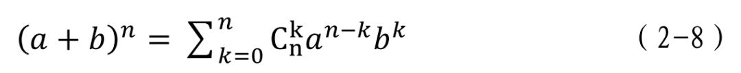
一般地,我们有

称为二项式定理,其中 为从n件物品中取出k件物品的组合数:

式中n!=1×2×3×…×n,为n的阶乘。
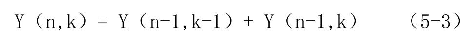
满足杨辉恒等式:

表示(a+b)ⁿ的展开式中含ak的单项式(即akbn-k)共有个,即从n个因式(a+b)中选取k个因式相乘,完成这件事情有两条途径:一是这k个因式包含n个因式中某个特定因式,再是这k个因式不包含该特定因式。第一种途径由于已经有1个因式,只要从其余n-1个因式中选取k-1个即可(有
种取法),第二种途径是从不包含该特定因式的其余n-1个因式中选取k个(有
种取法)。
我们按照n、k角标对的数值进行排列(令
,n=0,1,2,…;k=0,1,2,…,n),即得

呈三角形,即第一节中的数字积木(图(1-1)),称为杨辉三角。它可称得上数学王国的“金角大王”,它见首不见尾,常常只露出一面,内部阴藏着多少秘密呢?
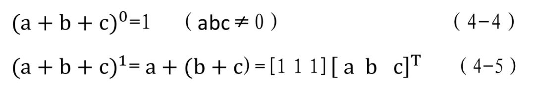
离开二项式乘方,我们进一步考察多项式乘方的情形。最简单的三项式乘方 (a+b+c)ⁿ 的展开式是什么?它的展开式的系数又是怎样的呢?
读者可以动手动笔验算、描画,悄悄窥探它的“芳姿”。
3
列
现在我们用“x光”对杨辉三角进行透视。在杨辉三角中,左腰上的数字为
1 1 1 1 1 ……
为常数列;
邻近左腰的第一条平行线上的数字为
1 2 3 4 5 ……
即自然数列,为等差数列;
而底边及其平行线即每一行上的数字之和依次为(请思考为什么?)
1 2 4 … 2ⁿ …
为等比数列,描述生物界的细胞分裂等;
现在把“x光”的入射角度调到左腰与底边夹角的一半,入射线及其平行线上的数字之和依次为
1 1 2 3 5 8……
即为斐波那契数列 。
在第一节中,我们看到“贪食蛇”数字串中后面的数字是它前面相邻的两个数字之和,斐波那契数列就是这种数字串首尾相连,它的递推关系式为

形象地用兔子家族的繁衍来描述斐波那契数列:假设头一个月有一对小兔子,隔1个月发育成年,以后每一个月生下一对小兔子,如此繁殖下去,每个月的兔子对数即为斐波那契数列。反过来,斐波那契数列为诸如生物繁衍的数学模型;显然,它未考虑生物的衰老、死亡等因素。
最初1对小兔子,隔1个月后又生下1对小兔子,我们用“→”表示繁殖(或复制)趋向,作数字流图如下:

本位保留“1”,并复制一份,加到右边一位“0”上:

保留原位的“1”、“1”,并分别复制一份,加到右边一位“1”、“0”上(也可以把“1 1”作为一个整体,右移1位,与原数字相加):

保留原位的“1”、“2”、“1”,并分别复制一份,依次加到右边一位“2”、“1”、“0”上(也可以把“1 2 1”作为一个整体,右移1位,与原数字相加):

以此类推。
通过简单的操作(复制、移位、相加),我们得到了二项式定理展开式的系数。
在图(3-5)中,我们用竖线(|)标志原有的兔子,用横线(—)标志新生的兔子。头一个月有1对小兔子(F1),经历1个月即在第二个月仍然为1对兔子(F2),不过现在是1对成年的兔子了,第三个月时它们生下了1对小兔子,即现在有2对兔子了(F3)。余此类推。

为便于进一步分析,我们假设兔子一个月为一岁,图(3-5)中竖线(列)为兔子的代际,即第一代、第二代、第三代等等的兔子,而虚斜线为兔子的生长月份,各月份F1、F2、F3等前面的数字之和,表示本月份兔子对数,即得到斐波那契数列,而各行F1、F2、F3等前面的数字排列即为杨辉三角。读者朋友,你知道图中的横线(行)代表兔子家族的什么伦理关系呢?第4月斜线与第2代竖线交叉点的2 F4表示什么呢?
怎样推导斐波那契数列的通项呢?这基本上用到初等数学的知识,你通过独立思考,加上猜测、验证,是能够做出了的。读者朋友,不妨试试。这里只写出答案:

4
阵
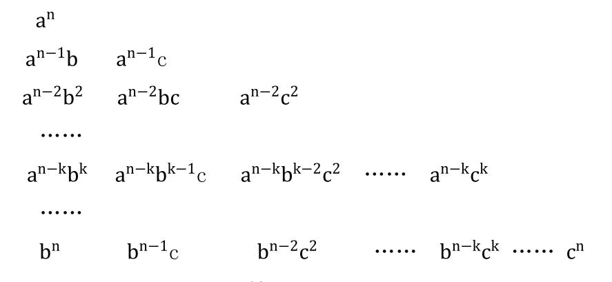
在二项式定理的展开式中,我们把二元n次项按照字母a的降幂(a的幂指数分别为n、n-1、……、1、0,同时是字母b的升幂)排列称为二元n次项阵,如

其中T表示矩阵转置,即矩阵行列互换。
我们把杨辉三角的第n层数字构成的矩阵称为二元n次项系数阵,为一维的线阵,行阵,记为Yⁿ。
n=2,3的情形为

如果再把(a+b)ⁿ 记为Xⁿ,省去角标,那么二项式定理可以简化为矩阵形式:

三项式定理的矩阵形式是怎样的呢?
n=0,1,2,3的情形为

考虑到计算三项式乘方时,展开式中的三元n次项包含二元n次项(即可以只取a、b、c中的2个字母),三元n次项系数阵的排列包含二元n次项系数阵的排列即杨辉三角,更进一步,就是三项式乘方(a+b+c)ⁿ展开式的三元n次项系数阵的排列包含二项式乘方(a+b)ⁿ、(b+c)ⁿ、(c+a)ⁿ展开式的二元n次项系数阵的排列即3个杨辉三角,它们同一个顶点,第n行底边相连,如图(4-1)所示:

一座立体的数字“金字塔”突兀面前,让我们近前仔细观瞧:它的形状呈三角锥体,由同一顶点的三个侧面组成,每一个侧面都是杨辉三角,每一层底面也是一个三角。它是杨辉三角在三维情形下的推广。
我们继续考察每一层底面的情况,即研究三项式定理展开式是什么?
类似地,我们把三元n次项按照字母a的降幂(从上到下a的降幂同时是字母b的升幂,从左到右 b的降幂同时是c的升幂)排列称为三元n次项阵。为了便于观察,我们按照杨辉三角的形式进行排列,三角阵内元素的排列顺序为:从左到右按照列、列内从上到下。它不同于一般的矩阵,实质上是一维的列阵,如
三元1次项阵

三元2次项阵

三元3次项阵

三元n次项阵

三元n次项系数阵是怎样的呢?
三元1次项阵

三元2次项系数阵

三元3次项系数阵

三元n次项系数阵是由三元n-1次项系数阵经过复制,然后分别向右和向下移动1位,再与原系数阵相加得到。按照第二节中的方法,三元2次项系数阵生成三元3次项系数阵的数字流图为:

三元n次项系数阵

排列成三角形,它两条腰上的数字为

它的第k条底边上的数字以为最大公约数,提取后与杨辉三角相同位置的数字相等,即三元n次项系数阵在它的每条底边上的数字互素化后为杨辉三角,我们称之为加权杨辉三角。可见,杨辉三角为多项式定理的“基因”。
三元n次项系数阵内元素的排列顺序为:从上到下按照行、行内从左到右,它实质上是一维的行阵。三元n次项阵及其系数阵内元素的顺序也可以是沿着三角形的周边按照逆时针或顺时针顺序,由外到内。这源于该三角阵的对称性。
通过以上分析,容易推出

称为三项式定理。其中三元n次项
的系数 为从n件物品中取出3堆(分别为n-k、k-l、件)物品的组合数,即有

容易证明

类似地,三项式定理也可以简化为矩阵形式,如式(4-3)。
5
空间
我们考察多项式乘方中一元的情况,即单项式

形成单项式序列,aⁿ(a≠0,n=0,1,2, ……)表征序列不同的点位(坐标),把该序列看作由aⁿ生成的位置空间,为一维的离散点空间,点的位置可以用坐标n表示;如生命基础的细胞分裂,形成一维的离散点空间。单项式的系数序列为
1 1 1 1 ……
表示在每一个点取值为1,形成由离散点组成的线,也成为表示二元n次项系数阵列的杨辉三角的腰或者表示三元n次项系数阵列的“金字塔”的棱。
如果取a=2,由2ⁿ生成的位置空间构成二进制数系;或者取a=10,由10ⁿ生成的位置空间构成十进制数系。我们又回到第一节的数。
我们把二元n次项阵

(n=0,1,2, ……)排列为

用位置(坐标)空间的观点来观察:二元n次项表征不同的点位(坐标),二元n次项阵的排列可以看作一种矢量,张成二维的离散的位置空间,我们称为二元n次项星空;如果把二元n次项系数看作该位置空间中不同点位(坐标)上的取值,那么杨辉三角可以看作二维的离散的赋值位置空间,称之为二元n次项星系。
二元n次项
的系数 的坐标为(n,k),记为

如在图(2-1)中,第2行第1列(我们把左腰视为第0列,其邻近第一条平行线视为第1列,以此类推)的数字“2”即
:

相应地,杨辉恒等式化为

同样地,我们用三元n次项表征不同的点位(坐标),三元n次项阵列也张成三维的离散的位置空间,我们称为三元n次项星空;作为三元n次项系数阵列的“金字塔”可以看作三维的赋值位置空间,为离散点构成的三角锥体,称之为三元n次项星系。
如第二节中,通过实际竖式验算,我们看到,多项式乘法转化为移位、相加等步骤。在多元n次项位置空间中,某个多元n次项阵乘以一个字母(如a),等价于该阵按该字母升幂方向移动一位,变为多元n+1次项阵。
三元n次项 系数在三角锥体位置空间中坐标为(n,k,l),记为Y(n,k,l)。即有

由式(4-10),三元n次项系数满足如下递推关系式:

式(5-5)表明:三项式定理展开式的系数组成的数字三角塔第n层、(第n层加权杨辉三角)第k行、第l列数值(),等于它顶上第n-1层、(第n-1层加权杨辉三角)第k行、第列数值(
)及其在第n-1层加权杨辉三角中两肩上(第k-1行、第l-1列和第k-1行、第l列)的数值(
和
)之和。
亲爱的读者朋友,我们本次的旅行就到这儿了,你有何感触呢?神奇的数学王国像迷宫一样等待着你去探究。
参考文献:
1.华罗庚《从杨辉三角谈起》
2.陈希孺《概率论与数理统计》
好玩的数学
微信号:mathfun
↑
好玩的数学以数学学习为主题,以传播数学文化为己任,以激发学习者学习数学的兴趣为目标,分享有用的数学知识、有趣的数学故事、传奇的数学人物等,为你展现一个有趣、好玩、丰富多彩的数学世界。

↓
点阅读原文,发现更多好玩的数学。