数学是符号加逻辑——罗素

罗素
(接上文)表示集合的方法通常有四种,即列举法 、描述法 、图像法和符号法 。
1.1 列举法
列举法就是将集合的元素逐一列举出来的方式。例如,光学中的三原色可以用集合{红,绿,蓝}表示;由四个字母a,b,c,d组成的集合A可用A={a,b,c,d}表示,如此等等。
1.1.1优点:可以明确集合中具体的元素及元素的个数。
1.1.2注意点:
①元素间必须用“,”分隔;
②集合的元素必须满足三个特性(确定性、互异性、无序性);
③元素不能遗漏,重复的只写一次(互异性);
④适应范围:
i.含有有限个元素且个数较少的集合;
ii.有些集合的元素较多,元素的排列又呈现规律性,在不致于发生误解的情况下,也可以列出几个元素作为代表,其他的元素用省略号表示。如{1,2,3,…,100}可以表示不大于100的自然数构成的集合。
iii.无限集有时也可以用上述的列举法表示,如自然数集:{0,1,2,3,…,n,…},你明白它与{0,1,2,3,…,n}的区别吗?
1.2 描述法
描述法的形式为{代表元素∣代表元素满足的性质},亦即{x∣p(x)}。
设集合S是由具有某种性质P的元素的全体所构成的,则可以采用描述集合中元素公共属性的方法来表示集合:S={x|P(x)}。例如,由2的平方根组成的集合B可表示为B={x|x2=2}。而有理数Q和正实数集R+则可以分别表示为
Q={x∣x=p/q p,q∈Z,p,q既约且q≠0}和 R+={x∣x∈R,x>0}

1.2.1注意点:
i.在不致发生误解时,x的取值集合可以省略不写;例如,实数集R中取值“∈R”常常省略不写,上述R+={x∣x∈R,x>0}也可以写作R+={x∣x>0}。
ii.所有描述都要写在 “{ }”内;
iii.大括号是集合的表示,故已包含“所有”的意思吗,比如实数集(即所有实数构成的集合)的表示是R,不是{ R }.
iv.大括号内的“,”除了隔开的意思外,往往兼有“且”的意思,注意灵活使用.
v.用描述法表示集合时,首先弄清楚集合的类型,是数集、点集还是其他类型.
vi.描述法多用于元素个数无限的集合。
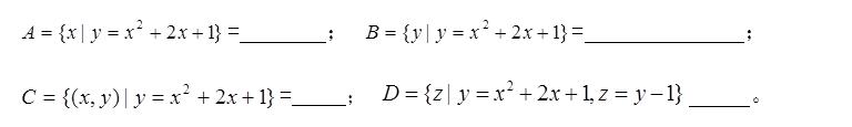
1.2.2描述法运用的关键点: 你能正确地区别下面四个集合吗?

总结:看清集合的“代表元素”,从而判断集合元素所共有的“特征性质”。
1.3 图像法
图像法,又称韦恩图法、文氏图法(不同是因为音译的不同),是一种利用二维平面上的点集表示集合的方法。一般用平面上的矩形或圆形表示一个集合,是集合的一种直观的图形表示法 。

小历史:数学的表述往往很抽象,而图形则以其生动活泼的形象展现在人们的面前。康托尔的集合论首次提出的时候,许多人都感到难以理解,把这一理论形容成“雾中之雾”。然而英国的逻辑学家韦恩(venn,1834~1923)建议用简单的圆表示集合,并用两圆相交的公共部分来表示两个集合的交集合,还用图形表达两个集合或三个集合间的关系。这种抽象中的形象,使得深奥的集合理论,一举变得人人感到非常亲切、合理。

把抽象的东西形象化,再通过直观的形象来深化抽象的内容,这大概就是数学教师的最终使命,也是教学的真谛。是谋求形象中的抽象,还是谋求抽象中的形象,这正是数学研究与数学教学的分水岭。
1.4 符号法
有些集合可以用一些特殊符号表示,举例如下:
N:非负整数集合或自然数集合{0,1,2,3,…},英语单词Natural的首字母。
N*或N+:正整数集合{1,2,3,…}
Z:整数集合{…,-1,0,1,…},德语中的整数叫做Zahlen,德国人诺特在引入整数环概念的时候运用到它。当然它也是zone的首字母。
Q:有理数集合, Q是英语/德语中Quotient(商)的首字母。
R:实数集合(包括有理数和无理数),英文名字The set of real number。
C:复数集合,英文名字complex number。
∅ :空集(不含有任何元素的集合)
1.5元素与集合的关系符
属于符号“∈”,不属于“∉”
2.集合的相关问题
2.1基数,集合中元素的数目称为集合的基数,集合A的基数记作card(A)。当其为有限大时,集合A称为有限集,反之则为无限集 。
2.2集合的分类(按照元素个数的可数性),一般的,把含有有限个元素的集合叫做有限集,含无限个元素的集合叫做无限集 。
2.3集合元素的特性
2.3.1确定性,给定一个集合,任给一个元素,该元素或者属于或者不属于该集合,二者必居其一,不允许有模棱两可的情况出现。
2.3.2互异性,一个集合中,任何两个元素都认为是不相同的,即每个元素只能出现一次。有时需要对同一元素出现多次的情形进行刻画,可以使用多重集,其中的元素允许出现多次。
2.3.3无序性,一个集合中,每个元素的地位都是相同的,元素之间是无序的。集合上可以定义序关系,定义了序关系后,元素之间就可以按照序关系排序。但就集合本身的特性而言,元素之间没有必然的序。
关于集合元素特性的题目,重点互异性
填空题:

判断题:你觉得一元二次方程ax2+bx+c=0的解集表示成如下形式正确吗?它兼顾到无序性吗?确定性呢?

2.4区间

3.对集合表示的解读
集合是高一新生遇到的第一个问题,往往会出现眼高手低的现象。集合表面上看并不是很难,事实上它也确实不难,但是它却非常重要。从前面的论述中也可以看到,它关涉的基本上都是数学语言、思想方法方面的问题,关系到我们如何去分析、解读概念、符号、图形等等问题。下面的前两个问题是整个高中必须掌握的思想方法必须达到精确理解与正确表述。
3.1数形结合

华罗庚说:“数缺形时少直观,形少数时难入微,数形结合百般好,隔离分家万事休。”
数与形是数学中的两个最古老,也是最基本的研究对象,它们在一定条件下可以相互转化。中学数学研究的对象可分为数和形两大部分,数与形是有联系的,这个联系称之为数形结合,或形数结合。作为一种数学思想方法,数形结合的应用大致又可分为两种情形:或者借助于数的精确性来阐明形的某些属性,或者借助形的几何直观性来阐明数之间某种关系,即数形结合包括两个方面:第一种情形是"以数解形",而第二种情形是"以形助数"。"以数解形"就是有些图形太过于简单,直接观察却看不出什么规律来,这时就需要给图形赋值,如边长、角度等。

由于数形结合的例子与相关文章很多,其中集合中的数形结合问题,大多是关于集合运算的,后文再说,其他的笔者也说不出什么新的花样,故不多说,自己去看相关文章。
3.2数学符号意识

《标准(2011年版)》指出:“符号意识主要是指能够理解并且运用符号表示数、数量关系和变化规律;知道使用符号可以进行运算和推理,得到的结论具有一般性。建立符号意识有助于学生理解符号的使用是数学表达和进行数学思考的重要形式。”
比如,学习“数数”可以看作学习数学起点,数字符号:1,2,3,4,5,6,7,8,9,10,11,……可以看作我们最早接触的数学符号,它给我们带来了巨大的方便,其中的“位值制”又蕴涵着最重要的数学智慧。
比如集合中已经学过的符号,表示集合的A,B,C…,{ };列举法中的“,”;描述法中{x∣p(x)};常见数集表示N,Z,Q,R,C;元素与集合的关系符∈,∉等等。当然还有我们接下来要学习的交、并、补、子集、空集就更多了。后文会有相关的问题。
3.3对区间解读
3.3.1注意前提条件
很多教师对区间的概念根本不讲,至多如上面那样列出图表就完事了,让学生死记硬背,以致后面的部分题目就会出现问题,如区间必须注意的是前提条件(a<b)可设计如下题目:
若A={x|-1≤x≤7},B={x|k+1≤x≤2k-1},且A∩B=Φ,则k的取值范围为 .
若A=[-1,7],B=[k+1,2k-1],且A∩B=Φ,则k的取值范围为 .
3.3.2注意开区间和闭区间
一开一闭,大不相同。举个好玩的但很有难度的例子吧!
闭区间[0,1]与开区间(0,1)的区别,前者有最大值1和最小值0,而后者没有最的大数与最小的数。
假想闭区间里的每个点都是一个小人儿,下雨啦,它们撑起了无数的小伞,小伞替每个点都很好地遮了雨。有一条定理说:这时没有必要用无穷多把伞,从这些伞里一定可以挑出有限把,其他的都收起来,照样遮雨。这就是微积分学里一条有名的定理,叫“有限覆盖定理”。

有趣的是,对开区间(0,1),却没有“有限覆盖定理”。
比如,下面这无穷多的一串伞(如下图):

确实遮盖了(0,1)中的每个点。如图所示:

具体的说,(1/3,1)包含了1/2,(1/4,1/2)又包含了1/3,(1/5,1/3)包含了1/4,……
(1/(n+1), 1/(n-1))包含了1/n.
但是,绝不可能从这一串“伞”里挑出有限把伞,替(0,1)中的每个点都遮好雨。
事实很清楚,如果挑出来的这有限把伞里最左边的是(1/(m+1), 1/(m-1)),那么,1/m这个点便淋雨了。
比1/m更小的那些数所表示的点,当然也都是不行的挨雨淋的小东西。
多两点与少两点,这里面大有文章,值得反复推敲。数学家看问题,就是这样反复推敲的。
而中学生解决的方法是代入检验法或者极限法。
要知后续如何,下文在分解吧。