人活一张脸,树活一张皮,我们可以有*蛋操**的生活,但是不能有粗糙的脸蛋。新年虽来,但寒冬仍在。护肤圈的主要矛盾当属如何解决皮肤干燥的问题。为什么频繁补水皮肤还是反复干呢?补水、保湿和锁水,你真的都分清楚了吗?
补水保湿类护肤品五花八门,究竟应该如何选择?补水和保湿是两个不同的概念,只有弄清楚成分的功效和原理,才能做出科学合理的选择。否则,只有两眼一抹黑,全靠别人吹。

在往期的文章中,已经对主要的补水保湿明星成分进行了详细分析,比如透明质酸(玻尿酸)、神经酰胺、β-葡聚糖、藻多糖、泛醇(维生素B5)等。
这些看似忽悠人的成分中,究竟哪家作用最强?药学专业的@王二博士试图做一个相对全面的汇总分析,希望对仙姑们有所帮助。
提示:文章篇幅较长,请耐心阅读,必有所获!
我们的皮肤为什么会干?水分为什么会流失?
俗话说女人都是水做的,其实不然,人类无论男女都含有超过70%的水分。

我们皮肤的水分一直处于不断蒸发的状态,这是一个自然的过程,包括细胞中的水分子溢出细胞、细胞间质水分子往外溢出、以及水分子向皮肤外溢出。水分的蒸发和水分吸收同时进行,如果处于动态平衡,对皮肤没有任何影响。

一旦平衡被打破,皮肤就会出现缺水的症状(具体表现请看下一节),破坏水分进出平衡的因素主要有两个:
(1)环境因素:气候等原因造成的空气干燥。
(2)身体因素:皮肤皮脂腺分泌皮脂不足、皮肤角质层受损、内部缺水
皮肤表层的 皮脂膜 和 角质层 共同构成了我们皮肤的屏障,不仅可防止水分的过度蒸发,还能抵御外界有害物质的入侵和刺激。

皮脂结构示意图
我们不妨把皮脂膜比作一碗油汤上覆盖的一层油,如果皮脂分泌不足,就无法形成完整的皮脂膜,汤中的水分蒸发也就更快。如果角质层受损,也会为皮肤水分的蒸发开闸泄洪。
另外,因饮水较少等原因造成的身体缺水,也会使蒸发的水分大于补充的水分,从而打破这个动态平衡。

皮肤结构
为什么要保湿(重要性)?补水为假,保湿才是真!
皮肤缺水会导致什么症状?
最直观的感受就是:皮肤又热又烫、又热又干、不舒服,脱屑、粗糙、看上去暗淡无光,甚至出现发痒、泛红等。
最重要的是:皮肤缺水会导致皮肤屏障薄弱、阻碍角质层正常代谢,从而皮肤易受感染,间接产生各种皮肤问题。皮肤干燥还会加速皮肤的衰老。

为什么说补水都是扯淡、保湿才是正道?
我们皮肤中60~70%的水分储存在真皮层中,再由真皮层往表皮层运输,但真皮层的水是被胶原蛋白、透明质酸等大分子所束缚住的。真皮层可以保护皮肤中水分子不会肆意流失,外加角质层强有力的防御系统,也造就了外界水分子难以进入真皮层。

那些护肤品中所谓的“深层补水”,其实只是一个概念,以玻尿酸为例,分子量达到数万或几十万,根本过不了角质层那一关,更别说到达真皮层,即使相对小分子的物质,也几乎无法进入真皮层,但现代高科技的制剂技术,正在或许可能对这一现状有所改善。
对于面膜、喷雾等带来的水润感,其实只是暂时的,它们蕴含的大量水分子仅起到了浸润角质层的作用。所以,刚补完水的你恰是水汪汪的青春少女,待水分蒸发后,又回到居委会马大姐的感觉。

所以说,“补水”可能是护肤界的一个伪命题,喷雾、敷面膜只能图一时爽快,想要持续水润还不如多喝水。 比“补水”更有效的是“保湿” ,模拟或修复皮肤本身的锁水结构,也就是减少皮肤表面的水分蒸发,才是护肤的一条正道。

皮肤自身如何保湿?有什么锁水结构?
我们的皮肤保湿全靠角质层和皮脂膜组成的皮肤屏障。
皮脂腺分泌皮脂、汗液,皮脂在皮肤表层形成皮脂膜,对外隔绝细菌的入侵,对内防止水分的蒸发。

健康皮脂膜vs不健康皮脂膜
如果把皮肤角质层比作一道“城墙”,角质细胞就是砖块,细胞间脂质就是砂浆,砂浆由脂肪酸、脂质和天然保湿因子(NMF,Natural moisturizing factor)共同构成。基底层细胞向外移动,转化成角质形成细胞,在形成角质细胞的过程中,会分泌皮脂和天然保湿因子,以帮助皮肤锁住水分。

正常情况下,角质层皮屑(也就是老废的角质细胞)正常脱落,新的角质细胞也在形成。如果皮肤长期缺水干燥,控制角质细胞有序脱落的酶就会变少,角质自然脱落就会受到影响。长此以往,老废角质堆积,原本饱满光滑的角质层变得又干又脆,从而形成“鱼鳞”一样的斑纹。

保湿产品的原理及分类
根据皮肤天然保湿的原理:从内部锁住水分子,外部形成皮脂膜防止水分蒸发。市面上真正有效的保湿成分可分为三类:封闭、吸湿、仿生剂。
(1)封闭
顾名思义,封闭剂就是在角质层外面构建一层封闭结构(形成封闭膜),隔绝水分与外界的接触,从而阻止水分的蒸发。
代表成分: 凡士林、羊毛脂、植物油、角鲨烷等。
(2)吸湿
吸湿剂最大的特点是亲水,一方面可以吸收从真皮层到表皮层的水分,减少水分的蒸发,另一方面可以吸收空气中的水分(当环境湿度较大时)。
代表成分: 甘油、透明质酸、丙二醇、丁二醇、泛醇(维生素B5)、山梨糖醇、吡咯烷酮羧酸钠等。
(3)仿生
通过模仿角质层细胞间脂质的天然保护因子(NMF),来补充NMF的不足或调节肌肤的生理功能。
代表成分: 神经酰胺、海藻糖、透明质酸、尿囊素等。

成分解析及产品列举
(1)封闭剂
01 凡士林
凡士林(vaseline) ,学名叫*脂矿**,是从石油馏分中得到一类高分子碳氢(饱和烷烃类)化合物(石油副产物),性质十分稳定,其分子式介于C17H36和C21H44之间,是混合物,在常温时呈半固体状态。
凡士林是最接近生理状态的封闭剂,对TEWL(Transepidermal water loss,衡量皮肤水分蒸发量的一个指标)的减少高达99%。对损伤皮肤具有一定的修复作用。
优点:效果好。
缺点:肤感较差,有油腻感。
使用建议:可用于嘴唇或手的保湿,自从用了凡士林没再买过其他唇膏。
凡士林产品举例:

凡士林最经典的产品,没有之一 (有不同规格的)
02 角鲨烷
角鲨烷(Squalane) 是从鲨鱼肝脏中提取得到的角鲨烯,再经过氢化后得到的成分。也可以从植物油中提取得到,其中橄榄油中含量最丰富,此外也能通过化学合成的方法获得。

角鲨烷结构式(C30H62)
我们皮肤中分泌的皮脂,除了脂质、脂肪酸外,还有一个主要的成分是角鲨烯(约10%),也含有少量的角鲨烷(约2%),因此角鲨烯是皮脂中的组成成分。

但是,由于角鲨烯分子结构中的双键,性质不稳定,不利于护肤品的保存和使用,因此为了提高稳定性,在护肤品种使用更加稳定的角鲨烷(角鲨烯的氢化产物)。在作用上,角鲨烷与角鲨烯没有本质的区别。

角鲨烯结构式(C30H50)
角鲨烷的封闭原理:
作为皮脂的组成成分之一,角鲨烷可在皮肤表面形成皮脂膜,从而起到封闭的作用,以防止水分的蒸发、起到有效保湿的作用。
此外,角鲨烷还能修复皮肤屏障、延缓皮肤衰老的作用。关于角鲨烷的详细分析及一些注意事项,可参考往期文章:
药学博士:角鲨烷,究竟对肌肤有什么用?容易被人遗忘的美容油
“氢化聚异*烯丁**”是什么?
氢化异*烯丁**是一种合成成分,结构与角鲨烷类似,该成分的目的在于模仿角鲨烷的功效,但效果次之。在某些护肤品、口红、唇膏等产品中可能会看到这个成分的存在。

角鲨烷产品列举:(成分为100%的纯角鲨烷)
该成分对皮肤无刺激(即使100%浓度)、不致敏,安全、可靠。本身可抑制霉菌,产品中无需添加任何防腐剂或其他成分。

希芸 纯角鲨烷 (国产)

HABA 纯角鲨烷(二代)

希芸 纯角鲨烷 (国产)
(2)吸湿剂
03 甘油
甘油( Glycerine ) ,又叫丙三醇,化学式为C3H8O3,无色、无臭、味甜、透明的粘性液体,具有吸湿性,能从空气中吸收水分。

甘油的结构式
甘油是重要的保湿成分之一,属于小分子保湿剂,在多元醇类保湿剂中以甘油的保湿效果最为突出,在保湿成分的研究过程中,保湿效果一般会与甘油进行对比。
甘油这个成分自身体中本身存在,皮肤中的甘油三酯,分解后就成了脂肪酸和甘油,体内的“油脂”实际上也叫脂肪酸甘油酯,被酶分解后也会产生甘油。

在环境湿度较高的环境中,甘油的保湿效果更佳,可吸收空气中的水分子(1克甘油可吸收0.6克水),来帮助皮肤锁水,维持皮肤屏障。
使用甘油的注意事项: 不要使用高浓度,更不能直接使用纯的甘油,因为浓度过高肤感会特别黏腻,纯的甘油吸湿后会释放热量。
最佳使用浓度:10%~20%,超过20%肤感会黏腻。
特点:甘油要在空气湿度大的环境中使用。
甘油因其很强的保湿性,在护肤品受到青睐,保湿效果堪称一流。可以吸取空气中的水份给皮肤保湿,也能将皮肤中的水份锁住,不让它很快流失。

含甘油的产品列举:

百雀羚 甘油一号(几块钱一瓶)

Neutrogena露得清挪威密集滋润护体乳155ml
04 多元醇
丙二醇、丁二醇与丙三醇(甘油)一样,都属于小分子多元醇保湿剂,可吸收空气中水分,来达到保湿的作用,效果受环境湿度的影响。丙二醇与丁二醇各有其特点,在一些保湿类护肤品种也有使用,只是风头完全被甘油盖过。
丙二醇的特点:
丙二醇效果优良、保湿作用持久、粘腻感低、保湿性能较为温和,稍有特殊味道,无臭、粘度比甘油粘度要低,肤感比较清爽。无刺激、不致敏。

1,2-丙二醇结构式
丁二醇的特点:
透明、无色的粘稠液体,具有良好的抑菌作用和优良的保湿性能,保湿用一般添加量0.5-5%,肤感较清爽,单价格在多元醇中偏高。

1,3-丁二醇结构式
山梨糖醇
山梨糖醇(Sorbitol),又叫山梨醇,是蔷薇科植物光合作用的主要产物。同样属于多元醇类保湿剂。

山梨糖醇结构式
特点:
吸湿性小于甘油,具有清凉爽口的甜味,可提高产品的耐寒稳定性,保湿作用非常缓和,一般用75%水溶液,甜度为蔗糖的60%,对皮肤和口腔黏膜无刺激作用,一般用漱口水中作为溶剂和保湿剂。
05 吡咯烷酮羧酸钠

吡咯烷酮羧酸钠结构式
吡咯烷酮羧酸钠(PCA-Na)属于氨基酸衍生物,是皮肤中天然存在的一种保湿因子,具有优良的吸湿性,肤感比较清爽。
特点: 保湿性能十分显著,远超多元醇类保湿剂。成分安全,孕妇可用。
含PCA的产品举例:

海蓝之谜 赋活保湿精华露 30ml

albion奥碧虹清新莹润渗透乳Ⅱ(保湿型)
06 泛醇(维生素B5)

泛醇(Panthenol) ,又叫维生素B5的前体。而维生素B5又叫泛酸(在动植物中广泛存在),泛酸性质极其不稳定,容易受到温度和配方的影响。因此,在护肤品中使用泛酸的前体泛醇,泛醇在体内转化为泛酸发挥作用。

泛醇结构式
泛醇调节生理作用原理:泛醇经皮肤组织吸收后,醇羟基被氧化,转化为泛酸,而泛酸是合成辅酶A最重要的原料。具有生理性调节作用。

强效保湿原理:
泛醇的分子量较小(MW=205),能够有效渗透皮肤角质层,滋润皮肤表面,极强的吸湿性,外用可增加角质层含水量,减少水分经皮流失。
除保湿作用外,泛醇还具有改善皮肤粗糙、促进伤口愈合、及护法发等作用。关于泛醇的详细解析,可参考往期文章:
药学博士:强效温和修复保湿剂——泛醇(维生素B5),成分分析

含有泛醇的护肤品列举:
(有的泛醇产品为了显得洋气,会标注名称为维生素B5)

shreda诠润B5“大胖丁”,含5%高浓度泛醇

修丽可维生素b5补水精华凝胶

玉兰油pro-x by olay 亮洁晳颜祛斑精华液(含有美白成分烟酰胺)

理肤泉la roche-posay维生素B5
(3)仿生剂
07 神经酰胺
神经酰胺(Ceramide,又称分子钉) ,被称为“护肤界的万金油”,是皮肤中天然存在的成分。细胞间脂质是组成角质层“砖墙”结构中的“灰浆”,而神经酰胺就是这个灰浆中的主要成分,含量高达40~50%。

神经酰胺在化学结构上,是神经鞘氨醇长链碱基与脂肪酸组成的神经鞘氨脂质。由于不同的脂肪酸与神经鞘氨醇可以组成不同的神经酰胺,所以神经酰胺属于一类分子,而非唯一。一些护肤品中含有的鞘氨脂(类神经酰胺),与神经酰胺的作用类似。

神经酰胺结构式
保湿作用原理:
神经酰胺既有亲水性,又有亲油性,可有效缔合水分子,并结合胆固醇、脂肪酸等形成致密的网状结构,维持皮肤水分。当角质层损伤、或出现皲裂后,神经酰胺对皮肤水分恢复起主导作用。

健康肌肤vs缺水肌肤中神经酰胺的区别
神经酰胺的特点:
除保湿外,神经酰胺还可增强角质细胞之间的粘着力(发挥“分子钉”作用),从而减少干燥和脱屑的发生。
此外,神经酰胺在护肤中还具有屏障修复、抗过敏、抗衰老等作用。关于神经酰胺的详细解析,可参考往期文章:
药学博士:网红成分神经酰胺究竟有啥用?揭开神秘面纱!(收藏)
含神经酰胺的护肤品:

主玉泽 皮肤屏障修护精华乳
(含有神经酰胺-3、(神经)鞘脂类(类神经酰胺)、有胆固醇、有丰富的植物油,里面含有脂肪酸。)

贝亲 婴儿润肤乳
(主要成分:含有神经酰胺1、3、6、植物鞘氨醇;有胆固醇、少量脂肪酸。特点:平价。)

Home Facial Pro 神经酰胺原液
(主要成分:含有神经酰胺 3,但无胆固醇和脂肪酸。)

全能抗皱神经酰胺角鲨精华
(同时含有 神经酰胺 2,角鲨烷)
08 透明质酸
透明质酸(Hyaluronic Acid,简称HA) ,又称玻尿酸,属于聚合多糖类高分子粘多糖。不同的透明质酸主要区别在于分子量的不同,从5000到200万道尔顿之间。

透明质酸结构式单元
天然保湿因子:
透明质酸是人体组织中不可缺少的成分,在皮肤真皮层中存在胶原蛋白、透明质酸等高分子,锁住了皮肤中60~70%的水分,透明质酸也因此被称为理想的天然保湿因子(NMF)。
吸水特点:
透明质酸分子中的羟基(-OH)使其具有较强的亲水性,因而具有极其强大的吸水保湿能力,可吸收其自身重量500倍的水分。可在皮肤表面形成透气性的薄膜,使皮肤表面湿润、暂时锁住水分,分子量越大的透明质酸成膜性越好。

不同分子量的透明质酸:
大分子的透明质酸无法穿透皮肤,只能在表皮浸润皮肤,但小分子透明质酸、改性透明质酸(如乙酰化透明质酸)、以及特殊制剂(如纳米脂质体等)的透明质酸,可在一定程度上渗透皮肤,快速与细胞发生水合作用。
特点:
玻尿酸被称为“补水神器”,但是补水只是让表皮暂时浸润,能真正透过角质层的产品很少。透明质酸在皮肤表面形成暂时性封闭的膜,具有保湿作用,但这层膜的封闭作用不持久。因此,一款好的透明质酸产品,应该具备不同分子量的透明质酸,成膜的同时也能部分穿透皮肤,还应与其他封闭剂搭配使用。
关于透明质酸的详细解析,可参考往期文章:药学博士:护肤界“补水神器”透明质酸(玻尿酸),真的有用吗?

透明质酸产品列举:

透明质酸原液

肌研极润保湿

美丽加芬 透明质酸原液30ml

敷尔佳透明质酸钠面膜
09 海藻糖
海藻糖(Trehalose ) 是一种天然糖类,被称为“生命之糖”,可在细胞表面形成特殊的保护膜。其化学结构是由两个葡萄糖分子通过半缩醛羟基缩合而成,是一种非还原型(没有还原性)糖,性质稳定。

葡萄糖结构式(左)海藻糖结构式(右)
保湿作用机理:
海藻糖结构中的多个羟基,可与环境中的水分子形成氢键,牢牢锁住水分,还能与其他细胞基质形成保护膜,从而起到吸水保湿、降低水分蒸发的作用。
特点:
属于天然糖类,安全可靠,能让沙漠植物细胞“起死回生”。除了保湿润肤作用外,还具有屏障修复、细胞保护、抗氧化等作用。
关于海藻糖的详细解析,可参考往期文章:药学博士:护肤品中的海藻糖可以让肌肤起死回生?哪来的魔力?

含有海藻糖的护肤品列举:
(海藻糖在护肤品中的浓度一般为1~5%)

倩碧卓越润肤乳

资生堂红妍肌活精华露

玉泽皮肤屏障修护保湿霜

雅诗兰黛 肌初赋活原生液
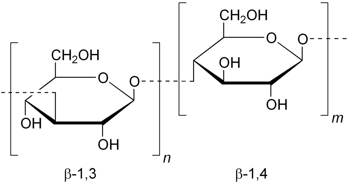
10 β-葡聚糖
β-葡聚糖(Beta-Glucan) 是多糖类成分,属于保湿领域的贵族成分,功效能与透明质酸抗衡,被称为护肤界的一匹黑马。
葡聚糖是由葡萄糖单元的糖苷键连接起来的多聚糖,只有β构型的葡聚糖才具有生物活性。β-葡聚糖可从酵母、燕麦、菌类中得到,如今可通过微生物发酵的方法制备。

β-1,3葡聚糖、β-1,4葡聚糖结构式
高效保湿机理:
β-葡聚糖可在皮肤表面形成一层薄膜,吸收环境中水分的同时,还可减少皮肤表面的水分蒸发。不仅如此,该成分能通过细胞间脂质渗透皮肤,从细胞水平上改善皮肤状态,从生理机能上帮助肌肤保持水分。
特点: β-葡聚糖的保湿效果优于透明质酸,此外还具有抗皱、促进皮肤再生、促进创伤愈合等功效。
关于β-葡聚糖的详细解析,可参考往期文章:药学博士:保湿与抗衰新秀—β-葡聚糖,护肤界的一匹黑马?解析

含有β-葡聚糖的护肤品列举:

薇诺娜 舒敏保湿特护霜
(同时含有甘油、透明质酸钠、β-葡聚糖、丁二醇等保湿成分)

薇诺娜 舒敏保湿修护精华液
(同时含有角鲨烷、甘油、β-葡聚糖、透明质酸钠、丁二醇等保湿成分)

Dr.G舒润修护保湿精华霜
11 尿囊素

尿囊素结构式
尿囊素(Alantan) 可作为一种润肤剂,具有修复、亲水、吸水和防止水分散发的保湿作用。
保湿原理:直接作用于角蛋白,增加和促进角质层结合水分的能力,减少水分的流失。
特点: 可镇定舒缓、促进伤口愈合、分解角质、去除死皮,在此过程中增加皮肤的水含量,对抗真皮层水分流失。

含有尿囊素的护肤品:

SkinBetter ScienceAlphaRet®隔夜霜

Derma E疤痕凝胶

Embryolisse保湿面膜(含泛醇、透明质酸、尿囊素等成分)

[比心]欢迎关注药学专业的@王二博士,不定期分享护肤干货![给力]
我们一贯主张:
高举 科学护肤 的伟大旗帜,
坚持 不盲目跟风 的基本方针,
努力贯彻 知成分、识机理 的基本路线,
实现 不踩坑、反套路、轻松护肤 的伟大胜利。
[玫瑰]欢迎点赞、评论、转发、收藏。[玫瑰]

本文首发于*今条头日**,未经允许不得擅自转载至其他平台,否则一切法律责任自负!