今天给大家整理了八年级数学上册重难点知识,包括必考的定义、定理、公式、方法等。内容分两个版本,前面是人教版,后面是北师大版,大家可以根据自己的教材版本情况选择学习。
八年级数学上册重要知识点(人教版)
第十一章 三角形
一、知识框架

二、知识概念
1.三角形:由不在同一直线上的三条线段首尾顺次相接所组成的图形叫做三角形.
2.三边关系:三角形任意两边的和大于第三边,任意两边的差小于第三边.
3.高:从三角形的一个顶点向它的对边所在直线作垂线,顶点和垂足间的线段叫做三角形的高.
4.中线:在三角形中,连接一个顶点和它对边中点的线段叫做三角形的中线.
5.角平分线:三角形的一个内角的平分线与这个角的对边相交,这个角的顶点和交点之间的线段叫做三角形的角平分线.
6.三角形的稳定性:三角形的形状是固定的,三角形的这个性质叫三角形的稳定性.
7.多边形:在平面内,由一些线段首尾顺次相接组成的图形叫做多边形.
8.多边形的内角:多边形相邻两边组成的角叫做它的内角.
9.多边形的外角:多边形的一边与它的邻边的延长线组成的角叫做多边形的外角.
10.多边形的对角线:连接多边形不相邻的两个顶点的线段,叫做多边形的对角线.
11.正多边形:在平面内,各个角都相等,各条边都相等的多边形叫正多边形.
12.平面镶嵌:用一些不重叠摆放的多边形把平面的一部分完全覆盖,叫做用多边形覆盖平面,
13.公式与性质:
⑴三角形的内角和:三角形的内角和为180°。
⑵三角形外角的性质:
性质1:三角形的一个外角等于和它不相邻的两个内角的和.
性质2:三角形的一个外角大于任何一个和它不相邻的内角.
⑶多边形内角和公式:n边形的内角和等于(n-2)·180°。
⑷多边形的外角和:多边形的外角和为360°.
⑸多边形对角线的条数:①从边形的一个顶点出发可以引(n-3)条对角
线,把多边形分成(n-2)个三角形.②边形共有n(n-3)/2条对角线.
第十二章 全等三角形
一、知识框架

二、知识概念
1.基本定义:
⑴全等形:能够完全重合的两个图形叫做全等形.
⑵全等三角形:能够完全重合的两个三角形叫做全等三角形.
⑶对应顶点:全等三角形中互相重合的顶点叫做对应顶点.
⑷对应边:全等三角形中互相重合的边叫做对应边.
⑸对应角:全等三角形中互相重合的角叫做对应角.
2.基本性质:
⑴三角形的稳定性:三角形三边的长度确定了,这个三角形的形状、大小就全确定,这个性质叫做三角形的稳定性.
⑵全等三角形的性质:全等三角形的对应边相等,对应角相等.
3.全等三角形的判定定理:
⑴边边边(SSS):三边对应相等的两个三角形全等.
⑵边角边(SAS):两边和它们的夹角对应相等的两个三角形全等.
⑶角边角(ASA):两角和它们的夹边对应相等的两个三角形全等.
⑷角角边(AAS):两角和其中一个角的对边对应相等的两个三角形全等.
⑸斜边、直角边(HL):斜边和一条直角边对应相等的两个直角三角形全等.
4.角平分线
⑴画法
⑵性质定理:角平分线上的点到角的两边的距离相等.
⑶性质定理的逆定理:角的内部到角的两边距离相等的点在角的平分线上.
5.证明的基本方法:
⑴明确命题中的已知和求证.(包括隐含条件,如公共边、公共角、对顶
角、角平分线、中线、高、等腰三角形等所隐含的边角关系)
⑵根据题意,画出图形,并用数字符号表示已知和求证.
⑶经过分析,找出由已知推出求证的途径,写出证明过程.
第十三章 轴对称
一、知识框架

二、知识概念
1.基本概念
⑴轴对称图形:如果一个图形沿一条直线折叠,直线两旁的部分能够互相
重合,这个图形就叫做轴对称图形.
⑵两个图形成轴对称:把一个图形沿某一条直线折叠,如果它能够与另一
个图形重合,那么就说这两个图形关于这条直线对称.
⑶线段的垂直平分线:经过线段中点并且垂直于这条线段的直线,叫做这
条线段的垂直平分线.
⑷等腰三角形:有两条边相等的三角形叫做等腰三角形.相等的两条边叫
做腰,另一条边叫做底边,两腰所夹的角叫做顶角,底边与腰的夹角叫做
底角.
⑸等边三角形:三条边都相等的三角形叫做等边三角形.
2.基本性质
⑴对称的性质
①不管是轴对称图形还是两个图形关于某条直线对称,对称轴都是任何一
对对应点所连线段的垂直平分线.
②对称的图形都全等.
⑵线段垂直平分线的性质
①线段垂直平分线上的点与这条线段两个端点的距离相等.
②与一条线段两个端点距离相等的点在这条线段的垂直平分线上.
⑶关于坐标轴对称的点的坐标性质
⑷等腰三角形的性质
①等腰三角形两腰相等.
②等腰三角形两底角相等(等边对等角).
③等腰三角形的顶角角平分线、底边上的中线,底边上的高相互重合.
④等腰三角形是轴对称图形,对称轴是三线合一(1条).
⑸等边三角形的性质
①等边三角形三边都相等.
②等边三角形三个内角都相等,都等于60°
③等边三角形每条边上都存在三线合一.
④等边三角形是轴对称图形,对称轴是三线合一(3条).
3.基本判定
⑴等腰三角形的判定:
①有两条边相等的三角形是等腰三角形.
②如果一个三角形有两个角相等,那么这两个角所对的边也相等(等角对
等边).
⑵等边三角形的判定:
①三条边都相等的三角形是等边三角形.
②三个角都相等的三角形是等边三角形.
③有一个角是60°的等腰三角形是等边三角形.
4.基本方法:
⑴做已知直线的垂线:
⑵做已知线段的垂直平分线:
⑶作对称轴:连接两个对应点,作所连线段的垂直平分线.
⑷作已知图形关于某直线的对称图形:
⑸在直线上做一点,使它到该直线同侧的两个已知点的距离之和最短.
第十四章 整式的乘除与分解因式
一、知识框架



第十五章 分式
一、知识框架 :



八年级数学上册重要知识点(北师大版)
第一章 勾股定理
1、勾股定理
直角三角形两直角边a,b的平方和等于斜边c的平方,即a 2+b2=c2。
2、勾股定理的逆定理
如果三角形的三边长a,b,c有这种关系,那么这个三角形是直角三角形。
3、勾股数
满足的三个正整数,称为勾股数。
常见的勾股数组有:(3,4,5);(5,12,13);(8,15,17);(7,24,25);(20,21,29);(9,40,41);……(这些勾股数组的倍数仍是勾股数)
第二章 实数
1、实数的概念及分类
①实数的分类

②无理数
无限不循环小数叫做无理数。
在理解无理数时,要抓住“无限不循环”这一时之,归纳起来有四类:
- 开方开不尽的数,如 √7 ,3 √2 等;
- 有特定意义的数,如圆周率π,或化简后含有π的数,如π /₃+8等;
- 有特定结构的数,如0.1010010001…等;
- 某些三角函数值,如sin60°等
2、实数的倒数、相反数和绝对值
①相反数
实数与它的相反数是一对数(只有符号不同的两个数叫做互为相反数,零的相反数是零),从数轴上看,互为相反数的两个数所对应的点关于原点对称,如果a与b互为相反数,则有a+b=0,a=-b,反之亦成立。
②绝对值
在数轴上,一个数所对应的点与原点的距离,叫做该数的绝对值。|a|≥0。0的绝对值是它本身,也可看成它的相反数,若|a|=a,则a≥0;若|a|=-a,则a≤0。
③倒数
如果a与b互为倒数,则有ab=1,反之亦成立。倒数等于本身的数是1和-1。0没有倒数。
④数轴
规定了原点、正方向和单位长度的直线叫做数轴(画数轴时,要注意上述规定的三要素缺一不可)。
解题时要真正掌握数形结合的思想,理解实数与数轴的点是一一对应的,并能灵活运用。
⑤估算
3、平方根、算数平方根和立方根
①算术平方根
一般地,如果一个正数x的平方等于a,即x2=a,那么这个正数x就叫做a的算术平方根。特别地,0的算术平方根是0。
性质:正数和零的算术平方根都只有一个,0的算术平方根是0。
②平方根
- 一般地,如果一个数x的平方等于a,即x2=a,那么这个数x就叫做a的平方根(或二次方根)。
- 性质:一个正数有两个平方根,它们互为相反数;零的平方根是零;负数没有平方根。
- 开平方求一个数a的平方根的运算,叫做开平方。注意 √a的双重非负性:√a≥0 ; a≥0
③立方根
- 一般地,如果一个数x的立方等于a,即x3=a,那么这个数x就叫做a 的立方根(或三次方根)。
- 表示方法:记作 3 √a
- 性质:一个正数有一个正的立方根;一个负数有一个负的立方根;零的立方根是零。
- 注意:- 3 √a=3 √-a,这说明三次根号内的负号可以移到根号外面。
4、实数大小的比较
①实数比较大小
正数大于零,负数小于零,正数大于一切负数;
数轴上的两个点所表示的数,右边的总比左边的大;
两个负数,绝对值大的反而小。
②实数大小比较的几种常用方法
- 数轴比较:在数轴上表示的两个数,右边的数总比左边的数大。
- 求差比较:设a、b是实数
- a-b>0↔a>b;
- a-b=0↔a=b;
- a-b<0↔a<b 。
- 求商比较法:设a、b是两正实数,

- 绝对值比较法:设a、b是两负实数,则∣a∣>∣b∣↔a<b。
- 平方法:设a、b是两负实数,则 a2>b2↔a<b 。
5、算术平方根有关计算(二次根式)
①含有二次根号“ √ ”;被开方数a必须是非负数。
②性质:

③运算结果若含有“ √ ”形式,必须满足:
- 被开方数的因数是整数,因式是整式
- 被开方数中不含能开得尽方的因数或因式
6、实数的运算
①六种运算:加、减、乘、除、乘方 、开方。
②实数的运算顺序
先算乘方和开方,再算乘除,最后算加减,如果有括号,就先算括号里面的。
③运算律
加法交换律 a+b= b+a
加法结合律 (a+b)+c= a+( b+c )
乘法交换律 ab= ba
乘法结合律 (ab)c = a( bc )
乘法对加法的分配律 a( b+c )=ab+ac
第三章 位置与坐标
1、确定位置
在平面内,确定物体的位置一般需要两个数据。
2、平面直角坐标系及有关概念
①平面直角坐标系
在平面内,两条互相垂直且有公共原点的数轴,组成平面直角坐标系。其中,水平的数轴叫做x轴或横轴,取向右为正方向;铅直的数轴叫做y轴或纵轴,取向上为正方向;x轴和y轴统称坐标轴。它们的公共原点O称为直角坐标系的原点;建立了直角坐标系的平面,叫做坐标平面。
②坐标轴和象限
为了便于描述坐标平面内点的位置,把坐标平面被x轴和y轴分割而成的四个部分,分别叫做第一象限、第二象限、第三象限、第四象限。
注意:x轴和y轴上的点(坐标轴上的点),不属于任何一个象限。
③点的坐标的概念
- 对于平面内任意一点P,过点P分别x轴、y轴向作垂线,垂足在上x轴、y轴对应的数a,b分别叫做点P的横坐标、纵坐标,有序数对(a,b)叫做点P的坐标。
- 点的坐标用(a,b)表示,其顺序是横坐标在前,纵坐标在后,中间有“,”分开,横、纵坐标的位置不能颠倒。平面内点的坐标是有序实数对,(a,b)和(b,a)是两个不同点的坐标。
- 平面内点的与有序实数对是一一对应的。
④不同位置的点的坐标的特征
a、各象限内点的坐标的特征
- 点P(x,y)在第一象限→ x>0,y>0
- 点P(x,y)在第二象限 → x<0,y>0
- 点P(x,y)在第三象限 → x<0,y<0
- 点P(x,y)在第四象限 → x>0,y<0
b、坐标轴上的点的特征
- 点P(x,y)在x轴上 → y=0,x为任意实数
- 点P(x,y)在y轴上 → x=0,y为任意实数
- 点P(x,y)既在x轴上,又在y轴上→ x,y同时为零,即点P坐标为(0,0)即原点
c、两条坐标轴夹角平分线上点的坐标的特征
- 点P(x,y)在第一、三象限夹角平分线(直线y=x)上 → x与y相等
- 点P(x,y)在第二、四象限夹角平分线上 → x与y互为相反数
d、和坐标轴平行的直线上点的坐标的特征
- 位于平行于x轴的直线上的各点的纵坐标相同。
- 位于平行于y轴的直线上的各点的横坐标相同。
e、关于x轴、y轴或原点对称的点的坐标的特征
- 点P与点p’关于x轴对称 横坐标相等,纵坐标互为相反数,即点P(x,y)关于x轴的对称点为P’(x,-y)
- 点P与点p’关于y轴对称 纵坐标相等,横坐标互为相反数,即点P(x,y)关于y轴的对称点为P’(-x,y)
- 点P与点p’关于原点对称,横、纵坐标均互为相反数,即点P(x,y)关于原点的对称点为P’(-x,-y)
f、点到坐标轴及原点的距离
点P(x,y)到坐标轴及原点的距离:
- 点P(x,y)到x轴的距离等于 ∣y∣
- 点P(x,y)到y轴的距离等于 ∣x∣
- 点P(x,y)到原点的距离等于 √x2+y2
3、坐标变化与图形变化的规律

第四章 一次函数
1、函数
一般地,在某一变化过程中有两个变量x与y,如果给定一个x值,相应地就确定了一个y值,那么我们称y是x的函数,其中x是自变量,y是因变量。
2、自变量取值范围
使函数有意义的自变量的取值的全体,叫做自变量的取值范围。一般从整式(取全体实数),分式(分母不为0)、二次根式(被开方数为非负数)、实际意义几方面考虑。
3、函数的三种表示法及其优缺点
- 关系式(解析)法
两个变量间的函数关系,有时可以用一个含有这两个变量及数字运算符号的等式表示,这种表示法叫做关系式(解析)法。
- 列表法
把自变量x的一系列值和函数y的对应值列成一个表来表示函数关系,这种表示法叫做列表法。
- 图象法
用图象表示函数关系的方法叫做图象法。
4、由函数关系式画其图像的一般步骤
- 列表:列表给出自变量与函数的一些对应值。
- 描点:以表中每对对应值为坐标,在坐标平面内描出相应的点。
- 连线:按照自变量由小到大的顺序,把所描各点用平滑的曲线连接起来。
5、正比例函数和一次函数
①正比例函数和一次函数的概念
- 一般地,若两个变量x,y间的关系可以表示成y=kx+b (k,b为常数,k不等于 0)的形式,则称y是x的一次函数(x为自变量,y为因变量)。
- 特别地,当一次函数y=kx+b中的b=0时(k为常数,k 不等于0),称y是x的正比例函数。
②一次函数的图像:
所有一次函数的图像都是一条直线。
③一次函数、正比例函数图像的主要特征
- 一次函数y=kx+b的图像是经过点(0,b)的直线;
- 正比例函数y=kx的图像是经过原点(0,0)的直线。

④正比例函数的性质
一般地,正比例函数 有下列性质:
- 当k>0时,图像经过第一、三象限,y随x的增大而增大;
- 当k<0时,图像经过第二、四象限,y随x的增大而减小。
⑤一次函数的性质
一般地,一次函数 有下列性质:
- 当k>0时,y随x的增大而增大;
- 当k<0时,y随x的增大而减小。
⑥正比例函数和一次函数解析式的确定
- 确定一个正比例函数,就是要确定正比例函数定义式y=kx(k 不等于0)中的常数k。
- 确定一个一次函数,需要确定一次函数定义式y=kx+b(k 不等于0)中的常数k和b。解这类问题的一般方法是待定系数法.
⑦一次函数与一元一次方程的关系
- 任何一个一元一次方程都可转化为:kx+b=0(k、b为常数,k≠0)的形式.而一次函数解析式形式正是y=kx+b(k、b为常数,k≠0).当函数值为0时,即kx+b=0就与一元一次方程完全相同.
- 结论:由于任何一元一次方程都可转化为kx+b=0(k、b为常数,k≠0)的形式.所以解一元一次方程可以转化为:当一次函数值为0时,求相应的自变量的值.
- 从图象上看,这相当于已知直线y=kx+b确定它与x轴交点的横坐标值.
第五章 二元一次方程组
1、二元一次方程
①二元一次方程
含有两个未知数,并且所含未知数的项的次数都是1的整式方程叫做二元一次方程。
②二元一次方程的解
适合一个二元一次方程的一组未知数的值,叫做这个二元一次方程的一个解。
2、二元一次方程组
①含有两个未知数的两个一次方程所组成的一组方程,叫做二元一次方程组。
②二元一次方程组的解
二元一次方程组中各个方程的公共解,叫做这个二元一次方程组的解。
③二元一次方程组的解法
- 代入(消元)法
- 加减(消元)法
④一次函数与二元一次方程(组)的关系:
- 一次函数与二元一次方程的关系:
直线y=kx+b上任意一点的坐标都是它所对应的二元一次方程kx- y+b=0的解
- 一次函数与二元一次方程组的关系:
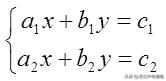
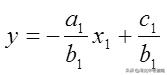
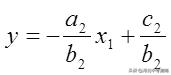
二元一次方程组

的解可看作两个一次函数

和

的图象的交点。
当函数图象有交点时,说明相应的二元一次方程组有解;
当函数图象(直线)平行即无交点时,说明相应的二元一次方程组无解。
第六章 数据的分析
1、刻画数据的集中趋势(平均水平)的量:平均数 、众数、中位数
2、平均数
- 平均数:一般地,对于n个数,我们把它们的和与n之商叫做这n个数的算术平均数,简称平均数。
- 加权平均数。
3、众数
一组数据中出现次数最多的那个数据叫做这组数据的众数。
4、中位数
一般地,将一组数据按大小顺序排列,处于最中间位置的一个数据(或最中间两个数据的平均数)叫做这组数据的中位数。
第七章 平行线的证明
1、平行线的性质
一般地,如果两条线互相平行的直线被第三条直线所截,那么同位角相等,内错角相等,同旁内角互补.
也可以简单的说成:
- 两直线平行,同位角相等;
- 两直线平行,内错角相等;
- 两直线平行,同旁内角互补。
2、判定平行线
两条直线被第三条直线所截,如果同位角相等,那么这两条直线平行.
也可以简单说成:
- 同位角相等两直线平行
- 两条直线被第三条直线所截,如果同位角相等,那么这两条直线平行;如果同旁内角互补,那么这两条直线平行.
其他两条可以简单说成:
- 内错角相等两直线平行
- 同旁内角相等两直线平行