原创 马颖忆等 南京林业大学学报

论文推荐
江苏省景观生态风险评估及其与城镇化的动态响应
马颖忆,刘志峰*
金陵科技学院建筑工程学院。

城镇化的快速推进,深刻改变着自然生态系统和人类社会系统,由此带来的资源约束趋紧、生态环境恶化、空间利用无序、区域发展不充分或不平衡等问题,严重制约了美丽中国的建设步伐。今后一段时期,中国社会经济进人高速度向高质量发展的转型期,城镇化发展和生态环境保护均面临新形势、新挑战,如何改善生态环境、协同推进高质量发展,成为面向国家战略需求的现实问题。区域生态风险评估,以及城镇化与生态环境的响应格局研究能够为高水平的生态环境保护和高质量的城镇化发展提供科学依据。
景观生态风险及其与城镇化之间的复杂关系探讨是可持续发展的热点论题。国外学者热衷于研究城市化与生态环境变化及资源要素之间的互动关系,揭示不同尺度上的城市化对气候及生态系统变化的影响机理。国内学者多探讨景观生态安全的敏感性及压力评估、城镇化带来的生态负效应、城镇化与生态环境的耦合,分析自然本底要素和人文地理要素对景观生态环境的影响。通过针对东南沿海、长江沿岸和环湖地区及各大城市群的生态环境与城镇化的互动关系探讨,系统评估了生态环境效应,解析了互动机理,凝练了耦合模式与理论框架,提出促进两者协调发展的技术方法和决策建议。但现有研究多局限于景观格局变化的单一方面或与城镇化整体水平的关系探讨,而从土地、人口、经济等不同内涵城镇化的分解入手,基于“增量”角度分析其与景观生态风险的响应关系,能够使高质量发展中生态系统压力与城镇化的科学调控更加聚焦。因此, 本期论文推荐的作者基于遥感影像数据和多方法技术的支持,以2010年、2018年江苏省景观生态风险评估为主线,厘清景观格局变化规律,梳理生态风险的特征,揭示其与不同内涵城镇化的响应关系,以期科学认知工业化后期增速放缓背景下,景观生态压力与城镇化水平“增量”的复杂关系,为调控城镇空间扩张与环境保护矛盾、实现高质量发展提供理论支撑。
下面跟学报君一探究竟!
作者简介
第一作者

马颖忆,女,1988年10月出生,江苏泗洪人,南京师范大学人文地理学博士,金陵科技学院建筑工程学院讲师,主要从事区域空间结构与可持续发展研究。

关键词 : 景观生态风险;景观格局;城镇化;动态响应;江苏
基金项目: 国家自然科学基金项目(41701127);金陵科技学院高层次人才科研启动项目(jit-b-201606);江苏省高校哲学社会科学专题研究项目(2018SJA0477)。
引文格式: 马颖忆,刘志峰.江苏省景观生态风险评估及其与城镇化的动态响应[J].南京林业大学学报(自然科学版), 2021 ,45(5):185-194.MA Y Y,LIU Z F. Assessment of landscape ecological risk and its dynamic response with urbanization development of Jiangsu Province[J].Jourmal of Nanjing Forestry University (Natural Sciences Edition),2021,45(5):185-194.DOI:10.12302/j.issn.1000-2006.202008049.

1目的
评估景观生态风险,探明其与城镇化的动态响应,为江苏省科学调控高水平生态环境保护和高质量城镇化发展提供依据。
2方法
选用2010年 Landsat TM 和2018年 Landsat OLI 遥感影像数据,借助ENVI5.3、ArcGIS10.2 软件, 通过景观格局指数分析景观格局变化,综合评估景观生态风险并探讨其层级结构特征,定量测度景观生态风险与城镇化两者“增量”的响应类型及相关关系。
2.1 试验材料
江苏省地处东南沿海中部(116°21'~121 ° 56'E,30°45'~ 35°08'N) ,东濒黄海,地跨长江、淮河两大水系,湖泊众多,地势平坦,由平原、水域、低山丘陵构成。现辖13个设区市,分别为南京(宁)、苏州(苏)、无锡(锡)、常州(常)、镇江(镇)苏南5市,南通(通)、扬州(扬)、泰州(泰)苏中3市,徐州(徐)、盐城(盐)、连云港(连)、宿迁(宿)、淮安(淮)苏北5 市。2019 年末,实现地区生产总值9. 96万亿元,人均地区生产总值12.36万元,常住人口8 070万人(http://www.jiangsu.gov.cn/col/c0131364/index.html),是中国人口密度第一大省,经济实力位于全国前列。
2.2 数据来源与处理
江苏省2010年 Landsat TM 和2018年 Landsat 0LI 遥感影像数据来源于地理国情监测云平台,空间分辨率30 m。利用 ENVI 5.3 软件进行辐射定标、大气校正、裁剪和镶嵌。根据国家标准《土地利用现状分类》(GB/T 21010—2017) ,按一级类设定土地利用类型的分类体系,结合研究目标,将其划分为耕地、林地、草地、灌木丛、湿地、水域、建设用地和未利用地。对照 Google Earth 高分影像,选取均匀分布在研究区的各土地利用类型的样本点,使用最大似然法对2010年、2018年2个时期的江苏省土地利用类型进行信息提取。选择合适的波段先获得初次监督分类结果,再通过目视解译对出现的错分、漏分和混淆的斑块进行删除和补充,最终完成不同类型用地斑块的提取。采用部分样本点作为验证样本点,对分类结果进行精度验证,分类精度均大于85% ,符合研究需求。
2.3 研究方法
2.3.1 景观格局指数
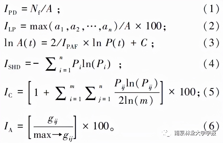
景观格局是指景观的组分构成及空间分布形式,景观格局指数可以定量反映浓缩后的土地利用景观格局,呈现类型特征、分布格局及景观性状。综合考虑研究区的自然地理情况和各景观格局指数代表的生态学含义,筛选了斑块密度(PD,式中记为 l PD)、最大斑块指数(LPI,式中记为 I LP)、周长-面积分维数(PAFRAC,式中记为 I PAF)、香农多样性指数(SHDI,式中记为 I SHD) 、蔓延度指数(CONTAG,式中记为 I C)、聚集度指数(AI,式中记为 I A)等指标来反映景观格局变化。公式为:

式中: N f为某景观类型的斑块数目, max (a1,a2,…,an)为最大面积,hm² ; A 为总面积,hm²; A ( t )为该类景观类型面积, hm²; P ( t )为斑块周长,m; C 为截距;m与n为斑块类型总数; P ij为随机选择的两个相邻栅格属于i与j的概率; P i代表i类型斑块所占比重; g ij表示相应景观类型的相似邻接斑块数量。其中, l PD 用于表征景观的破碎化程度,其值越大表示景观越破碎,景观的异质性越强; I LP 用于确定主要景观类型,其动态变化可揭示人类作用的强弱; I PAF 值的变动可反映某种景观类型的空间扩张方式,其值变大表明该类景观以外部扩张为主,值变小则以内部填充为主,值不变说明进人相对稳定期; I SHD 用于反映各类型景观的整体镶嵌分布及优势度情况,其值越大表明各类斑块的结构复杂,多样性高; I C 用于描述不同斑块类型的团聚程度或延展趋势,其值越大表明景观斑块之间连接越好,存在优势景观类型; I A 反映不同斑块之间的聚集度,其值趋于100时,表明景观斑块为结构紧凑的聚合形态,值趋于0时,则为最大程度分散。
2.3.2 景观生态风险指数
景观生态风险指数(ERI,记为 I ER)用于建立景观类型与区域生态风险之间的联系,可定量地反映景观格局变化带来的生态压力,公式为:

式中: A i为第i种景观类型的面积, A 为总面积, W i为第i种景观的生态风险强度。采用熵值法结合层次分析法(AHP)确定各类型 W i 的值为:耕地0.1042、林地0.0443、草地0.0624、灌木丛0.0527、湿地0.0630、水域0.0499、建设用地0.410 6、未利用地0.069 2 。
2.3.3 动态度模型
动态度 D 描述了景观生态风险指数( I ER )、城镇化水平( I UR)、建设用地面积比( A P)、城镇人口占比( P P)、非农产业占比( G P)等指标在一定时期内的变动速度,公式为:

式中: U t和 U 0分别代表研究时段末期和初期的测度指标,t为时长。
2.3.4 耦合度模型
借鉴物理学中容量耦合系数模型,构建景观生态风险与城镇化水平两者变化速度的耦合性( C )测度模型,公式为:

式中: D IER和 D IUR分别表示景观生态风险指数和城镇化水平的动态度。 C ∈[0,1]; C 值越大,表明两系统间要素的互动情况越好。
3结果
江苏省主要景观为耕地、建设用地和水域,其中耕地是基质景观。在景观格局演变中,耕地的异质性增强,建设用地以外部扩张为主,水域基本不变。景观生态风险提升显著,均值由0.1236.上升至0.1499,现状景观生态风险TOP3城市为苏州、无锡和常州;景观生态风险自北向南逐渐升高,集聚分布态势和经济指向性趋势明显。景观生态风险与城镇化水平“增量”的耦合度大于0.8,城市建设用地快速扩张对景观生态风险快速上升的贡献度高,正向相关系数高达0.83。
3.1 景观格局指数分析
3.1.1 江苏省土地利用景观格局演变
综合利用 ENVI5.3 和 ArcGIS10.2 软件,将2010年、2018年2个时期省域层面的景观指数统计于 表1 ,并通过 图1 展示不同景观类型的分布格局。分析可知,江苏省现状主要的景观类型是耕地、建设用地和水域。其中,占比最高的景观类型是耕地,2018年的耕地面积为672.64万hm²,面积比为65.43%,广泛分布于建成区外围;建设用地面积170.23万hm²(16.56%) ,在各市、区、县的建成区形成明显的中心;水域面积132.24万hm²(12.86%),以湖、河、江为主,面积较大的水体为洪泽湖、太湖、长江、淮河等。林地、草地、灌木丛面积相对较小,成片分布于淮安、南京、无锡的低山丘陵,多为风景区和森林公园。湿地面积小,多见于南通、盐城、连云港的海岸线附近。未利用地占比很少,散布于市、区、县的建成区外围。
▼表 1 江苏省土地利用景观指数


▲图 1 江苏省土地利用景观分布格局
注:审图号:苏S(2018)012号。下同。
从景观格局指数看,江苏省各类型景观变化明显。2010 年,最大斑块指数( I LP)由大到小依次是:耕地>水域>林地>建设用地>湿地>未利用地>草地>灌木丛。耕地的 I LP 值为50.36,且面积比最大,因此耕地是基质景观;水域的心值为4.08,说明区内湖、河、江等水系相通,景观斑块连通性好。2018年,耕地、水域的 I LP 值有所下降但仍高于其他景观类型,分别为9.40和3.90,且斑块密度( l PD)分别由0.11、0.42升至1.92、1.99,说明耕地景观的异质性增强,但耕地和水域仍然占据主导地位。2010—2018 年,建设用地的 I LP 值由0.24提升至1.20,增幅高达400%,面积也增长了89.55%; l PD 值由0.24增至4.17,说明建设用地景观扩张明显,较为分散地分布在研究区内,破碎程度升高。林地的 I LP 值由0.33升至0.42, l PD 值由0.26升至2.04,面积增加了34.11%,说明造林成效明显,呈分散分布。湿地、未利用地、草地均存在 I LP 值不同程度的降低而 l PD 值增加现象,反映了这些景观类型的分布较为分散,在研究区内呈现不连续分布。从周长-面积分维数( I PAF)来看,建设用地的变化幅度最大,增幅为11.25%,体现了建设用地以外部扩张为主;草地、湿地、未利用地、灌木丛的少量增长以内部填充为主。耕地、水域、建设用地、林地的聚集度指数( I A)均超过90,总体表现为团聚状分布,草地、灌木丛、湿地的 I A 值下降明显,表明经济社会发展对这3类景观的扰动较大。
3.1.2 各市土地利用景观格局演变
从整体格局看,各市土地利用景观的分布更离散,破碎程度更高。具体可由香农多样性指数( I SHD)和蔓延度指数( I C)的变化体现,如 表2 所示。研究时段内, I SHD 值总体呈上升趋势,表明各市土地利用景观的总体分布呈均匀化发展趋势,景观破碎度提升。其中,扬州、泰州、镇江、徐州4市的增长最为明显,增幅均超过30%,而连云港、淮安、宿迁3市表现为降低趋势。 I C 值全部表现为下降趋势,表明各市不同景观类型斑块之间的团聚程度降低,呈延展分布。扬州、泰州、镇江、常州、南京、南通6市的 I C 值降幅超过全省平均水平,反映了这些地区的城镇化进程对土地利用景观的扰动较大。
▼表 2 江苏省13市整体和主要用地类型的景观指数

进一步分析不同景观类型的分布格局可知( 表2 ):各市主要景观类型的空间分布更加离散,耕地经过整理后斑块结构更加紧凑,建设用地则以较为分散的斑块向建成区外围扩张。具体是:耕地的 l PD 和 I PAF 值升高,面积比降低, I A 值均高于80,表明整理和置换后的耕地多是以外部扩张的形式聚合为形状规整、结构紧凑的斑块,反映了城镇化进程中村庄整治的成效显著,耕地景观的空间分布更加离散则是因城郊散布多个小块耕地斑块所致。建设用地的 l PD 和 I PAF 值升高而 I A 值下降至70左右,面积增加明显,说明建设用地更加破碎,多以结构离散的小斑块向建成区外围扩张,镶嵌于城市景观中。相对而言,水域的相应指数变化幅度小,面积略有增加,说明水域多以人工湖、景观溪流等形式离散分布于城市景观中。苏南5市和南通的建设用地增加明显,面积增幅均超过10%,并且 l PD 值增幅较大,反映了苏南地区和南通在这8年间土地城镇化发展迅速,建成区以“摊大饼式”扩张为主,城乡过渡带和小城镇的城镇化进程也成效突出。相反,苏北地区建设用地增幅较小,仅5%左右,除盐城外,其余4市建设用地的 l PD 值相对较低,城镇化进程相对缓慢。
3.2 景观生态风险评估
根据公式(7)计算得到2010 年、2018年各地景观生态风险指数( I ER),为了便于比较,将其归一化至[1,100],得到景观生态风险得分( F IER)并排序(sort) ,如 表3 所示。采用 Jenks 自然断裂点模型将研究区景观生态风险划分为高风险、较高风险、较低风险、低风险4个层级( 图2 )。结果显示,中低风险区位于苏北地区,中高风险区主要为苏南地区,8年来,各地景观生态风险均上升,中高风险区逐步向东南方向推移。现状(2018 年)景观生态风险的等级结构是:高风险区, I ER ≥0.1716,为苏锡常3市;中高风险区,0.155 1≤ I ER <0.171 6,包括宁镇通泰4市;中低风险区,0.135 4≤ I ER <0.155 1,包括扬徐连3市;低风险区, I ER ≤0.1261,为盐宿淮3市。
▼表 3 江苏省13市景观生态风险指数


▲图 2 江苏省景观生态风险分级
同时可梳理出如下信息:①2010- -2018 年,江苏省13 个市的 I ER 平均值由0.123 6升至0.149 9,因此整体景观生态风险提升,苏南和苏中地区的景观生态安全压力增加明显。②不同城市之间的景观生态风险差距拉大。 I ER 值的变异系数由0.092 1升至0.159 3,2010年,景观生态风险最高的(无锡0.145 4)是最低的(淮安0.105 6)1.38倍;2018年,最高的仍是无锡(0.1843),增幅为26.75%,最低的仍是淮安(0.1108),增幅仅4.92%,前者是后者的1.66倍。③景观生态风险自北向南逐渐升高,集聚态势更加明显。景观生态风险TOP3城市由无锡、泰州、常州变为无锡、苏州、常州,高风险区由无锡变为苏州、无锡、常州,景观生态高风险和较高风险区域由离散分布转变为条块状的团聚分布,表现出似由经济发展牵引所致的现象。
3.3 景观生态风险与不同内涵城镇化的动态响应
3.3.1 基于“增量”视角的响应类型
采用建设用地面积占比 A P、城镇人口占总人口比重 P P、二三产业增加值占地区生产总值比重GP的几何平均进行城镇化水平( I UR)的综合描述(

)。计算可知,江苏省平均城镇化水平为47.88% ,研究时段内提升了11.04%,相应的景观生态风险增幅为21.24%。在全省整体进入工业化后期,经济发展步人增速放缓、结构趋优、动力转化的“新常态”下,洞悉“增量”之间的响应关系对于科学调控城镇化发展与景观生态风险更有价值。
根据公式(8)、(9) ,求得景观生态风险的动态度( D IER)和城镇化水平的动态度( D IUR)及两者耦合程度( C )( 表4 ),并绘制两者比率( Q = D IER / D IUR )的空间分布格局( 图3 )。则江苏省景观生态风险与城镇化水平呈现同向提升的动态响应格局,表现为两者的动态度均大于0,绝大多数城市的耦合度大于0.9,最低的淮安也大于0.8,苏南5市均接近1。反映了景观生态风险与城镇化水平的“增量”之间高度耦合、紧密关联。
▼表 4 江苏省13市景观生态风险与城镇化水平动态度及其耦合度


▲图 3 江苏省景观生态风险与城镇化“增量”的响应类型
Q 值的大小反映了生态压力增速与城镇化增速的响应关系。动态响应类型可分为如下3类:①低敏感型, Q ≤0.5,包括苏北的大片区域和扬州,景观生态风险与城镇化的绝对水平均较低,城镇化大幅提升而景观生态恶化表现为小幅反应,属于低度响应区,在未来的高质量发展中,还有较为广阔的城镇化拓展空间;②中敏感型,0.5< Q ≤1,为沿江的大片区域和苏北的连云港,景观生态风险表现为对城镇化的动态提升的适度反应,属于中度响应区,未来的高质量发展中可以进行城镇发展空间的适度扩张;③高敏感型, Q >1,包括苏州、 无锡两市,属于高景观生态风险高城镇化水平区域,生态恶化速度快于城镇化增速,是景观生态风险对城镇化的高度响应区,城市建设的后备空间有限,土地城镇化发展需谨慎。
3.3.2 基于“增量”视角的相关关系
为了进一步明确城镇化发展中的土地结构、人口结构、经济结构的变动对景观生态压力,上升的不同影响,采用地理加权回归(GWR)模型,将景观生态风险动态度( D IER)作为因变量,将建设用地面积占比动态度( D AP)、城镇人口占比动态度( D PP)、非农产业产值占比动态度( D GP)作为解释变量,表征土地、人口、经济3个层面城镇化水平的提升对于景观生态风险.上升的影响。在做GWR分析之前,对所有变量进行标准化处理,并预先进行普通最小二乘回归分析(OLS) ,结果显示 D GP 没有通过显著性检验( P =0.673 3>0.05) ,因此,解释变量就转为 D AP 和 D PP , 表5 是地理加权回归结果的相关参数。从拟合优度看, R 2大于0.85,校正后 R 2Adj也接近0.85 ,模型的拟合值与实际的观测值一致性较高( 图4 ),表明该地理加权回归模型能够较好地测度解释变量对因变量的影响。
▼表 5 地理加权回归(GRW)的相关参数


▲图 4 地理加权回归模型的观测值与拟合值
地理加权回归模型参数及解释变量的系数和常数项见 表5 、 表6 。观察可知,江苏省13个市的解释变量的系数和截距在数值上高度统一,反映了各地景观生态风险的动态提升与土地、人口变动的关系存在空间上的相似性。因此,回归模型可构建为 D IER=0. 827 243 D AP - 0.485 045 D PP +0.484 247。其中,建设用地面积比动态度对于景观生态风险“增量”的贡献较高,系数 C 1均大于0.8,表现为较强的正向相关关系, D AP 每提升1个单位,相应的 D IER 的值就会提升约0.83,使得景观生态风险的增速提升明显;城镇人口占比动态度对景观生态风险“增量”表现为反向贡献,系数 C 2均小于-0.4, D PP每提升1个单位, D IER的值反而会降低约0.48,使景观生态风险的增速降下来。反映了土地城镇化是造成景观生态压力的重要因素,而相应的城市建设用地上加速人口城镇化,会在一定程度上对快速恶化的景观生态环境进行缓冲。中国普遍存在着人口城镇化滞后于土地城镇化的客观事实,这一研究结果与新型城镇化中强调人口城镇化的理念吻合。
▼表 6 解释变量的系数和常数

注: C1为DAP负数, C2为D PP系数
4结论
江苏省景观格局变化显著,景观生态风险与城镇化水平同向提升、高度耦合。动态响应类型包括徐州、宿迁、盐城、淮安和扬州构成的低敏感区、沿江地区和连云港构成的中敏感区、苏州和无锡构成的高敏感区。苏南5市和南通“摊大饼式”土地城镇化发展迅速,经济发展水平高的苏南地区是景观生态高风险区域,土地城镇化会加速生态环境恶化,而人口城镇化会缓冲恶化速度,经济结构的转变影响式微。

关注我们,更多精彩
