银行不是慈善机构,*款贷**给你买房,是要收取利息的。如果不用收取利息的话,那么算法很简单,比如买100万的房子,首付3成,*款贷**就是70万,还30年,那每个月还款就是70万除以30,再除以12,每月还款1944.45元。
正因为银行不是慈善机构,要收取利息,所以房贷计算也就变得复杂起来。
房贷的还款方式有两种,等额本金和等额本息。
1、 等额本金
等额本金的计算方式相对比较容易,还是以买100万的房子为例,首付3成,*款贷**70万,那么每月所还月供,就是本金和利息之和。本金不变,每月1944.45元;利息就是未还本金一个月所产生的利息。假如按基准4.9%计算,月利息就是0.4083%,第一个月利息是2858.33,第二个月未还本金的利息就是70万减掉1944.45元后的利息,是2850.39元……
细心的朋友想必已经发现了,每月月供的差额是固定的,就是1944.45乘0.1083%,等于7.94元。
我们今天主要想说的,是第二种方法:等额本息的计算方式。
2、等额本息
这种方式还款简便,前期还款压力相对等额本金来说较小,每月固定金额还款。但是月供的计算比较复杂,因为等额本息的房贷计算方式是按照复利计算的。
我们假设*款贷**金额是P,月供是y,*款贷**月份数是n,月利率是r。
那么第一个月的利息就是y(1+r),第二个月的利息就是y(1+r)2,以此类推,第n个月的利息就是y(1+r)n。
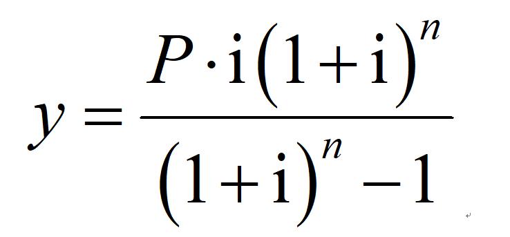
言归正传,我们先说等额本息的月供计算公式,就是下面这个

其中
y:表示月供,是月字的首个拼音字母;
P:表示本金,假如你*款贷**100万,30年,P就是1 000 000;
i:表示月息,假如你商业*款贷**基准(4.9%)上浮10%,i=4.9×(1+10%)÷12=0.449167;
n:表示月供的期数,假如你*款贷**30年,一年12个月,月供期数就是360。
但是这个公式实在是太复杂,所以我们要给大家公布魔法公式了!
- 如果是9折基准利率,月供=*款贷**总额/200
- 如果是基准利率 ,月供=*款贷**总额/190
- 如果是1.1倍基准利率,月供=*款贷**总额/180
- 如果是1.2倍基准利率,月供=*款贷**总额/170
而且,这个魔法公式还可以根据你的月供承受能力,帮你反推你的购房总金额。
比如你每月有9000元存款,那么你能买得起什么样的房子呢?
如果利率是基准上浮10%,那么就是0.9乘180,等于162万。也就是说你买得起162/0.7=231万的房子。