一年一度的幼升小、小升初、又来了,巴南区发布了2022年各级各类学校的招生计划,其中幼儿园招收492个班,共计13769人。小学招收328个班,共计13835人。初中招收236个班,共计11207人。
巴南区各级小学2022年毕业230个班,9718人。2022年计划招收328个班,13835人。
招收人数较多的小学有:
鱼洞二小9个班405人、鱼洞四小11个班550人、巴渝小学8个班360人。
巴南小学8个班360人、龙洲湾小学8个班400人、世贸小学7个班315人。
融汇小学7个班315人、融汇二小8个班360人、滨江星城小学8个班360人。
融创小学12个班600人、界石小学10个班500人。
巴南区民办学校招生计划:
德普外国语学校7个班182人,巴南巴蜀小学12个班360人。
南城巴川学校5个班210人、树人立德小学6个班234人。

巴南区鱼洞二小
招生人数较少的学校或教学点:
花石小学1个班9人、双新小学1个班6个人、麻柳小学清溪点校1个班4人。
麻柳小学天池村校1个班2人、东永小学1个班7人、良模学校1个班5人。
南湖小学石岗点校1个班5人、公平小学1个班10人、樵坪小学1个班10人。
南龙小学1个班10人、安澜学校仁流点校1个班5人、石庙小学1个班5人。
陈家小学1个班7人、红旗小学1个班20人。
双河口小学羊鹿点校、青杠林小学2022年没有招生计划。

巴南区各小学2022年招生计划
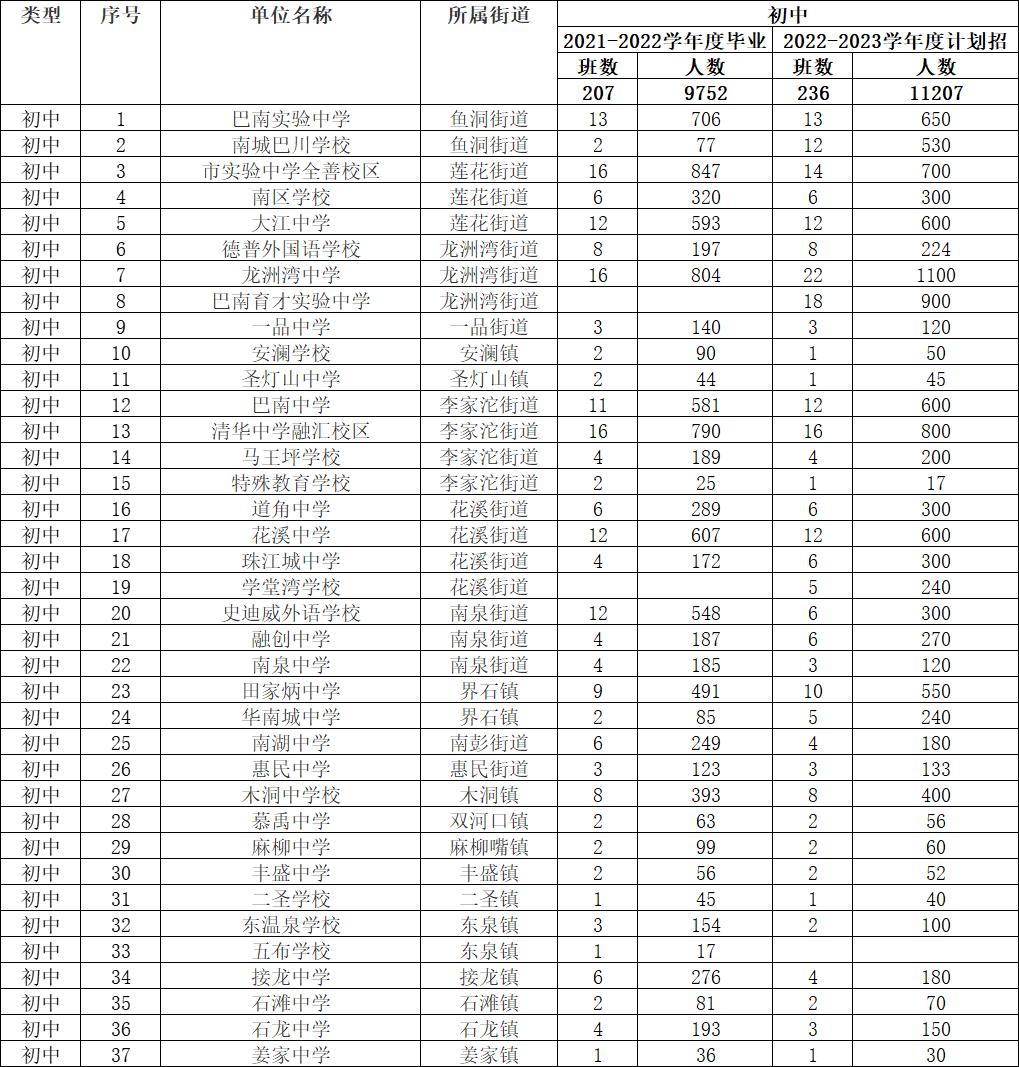
巴南区各中学2022年毕业202个班9752人,2022年招收236个班11207人。
招收人数较多的中学:
龙洲湾中学22个班1100人、清华中学融汇校区16个班800人。
重庆市实验中学全善校区14个班700人、巴南实验中学13个班650人。
巴南中学12个班600人、花溪中学12个班600人、大江中学12个班600人。
田家炳中学10个班550人、木洞中学8个班400人。
今年五布学校不招收初中生。

龙洲湾中学
民办中学招生计划:
南城巴川学校12个班530人、德普外国语学校8个班224人。
巴南育才实验中学18个班900人、史迪威外国语学校6个班300人。

2022年巴南区各中学招生计划
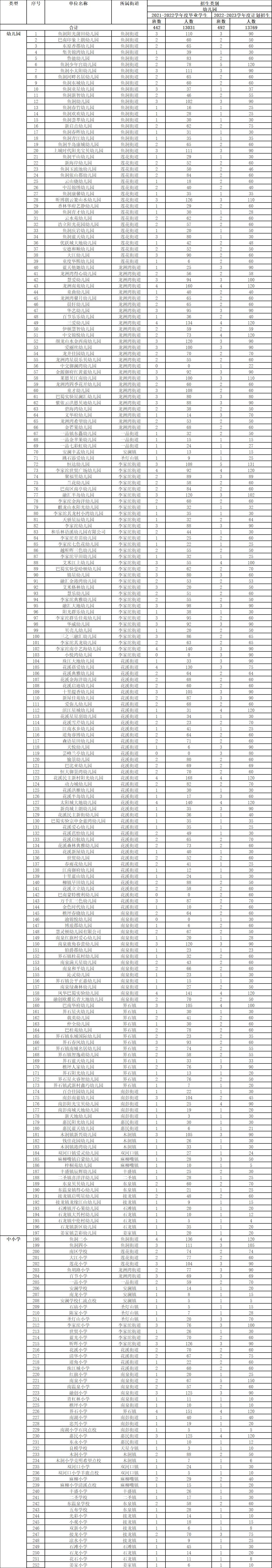
2022年幼儿园毕业442个班,毕业13031人。2022年有252所各类幼儿园招生,一招392个班,13769人。
招收人数较多的学校有:
惠民小学(幼儿园)4个班,120人、界石小学(幼儿园)4个班,120人。
南泉小学(幼儿园)5个班,150人、李家沱小学(幼儿园)3个班,100人。
鱼洞二小(幼儿园)4个班,120人、鱼洞四小(幼儿园)3个班,105人。
巴南华府幼儿园4个班,100人。凤华巴蜀实验幼儿园4个班,120人。

巴南育才实验学校
*阳城太**大地幼儿园4个班,120人,花溪民主新村阳光幼儿园4个班,120人。
滨江新城幼儿园4个班,120人,艾米江上幼儿园4个班,100人。
恒达幼儿园5个班,131人,李家沱世贸广场幼儿园4个班,120人。
融汇半岛幼儿园3个班,102人。莱恩贝江南幼儿园3个班,110人。
三爱幼儿园4个班,120人,中交锦悦幼儿园4个班,120人。
昕博朗云篆山水幼儿园3个班,110人,鱼洞少年宫幼儿园5个班,120人。

巴南区各幼儿园2022年招生计划
以上资料来自巴南区教委官网。本文仅供参考,以官方发布为准。
注意:重庆实验中学全善小区采取摇号招生,今年摇号名额为500个,具有巴南区户籍、学籍的小学毕业生均可参与,但摇中后不能参加融汇清华中学的剩余学位补录摇号。