我们在数列部分常碰到这样的问题:证明某个复杂数列为等差或者等比数列。比如下面这道题:

从求证出发,我们回顾等比数列的定义:从第2项开始,数列的后一项除以前一项等于同一个不为零的常数,则这个数列为等比数列。
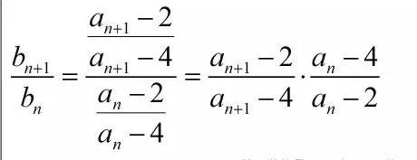
这就是我们证明等比数列的主要办法,也称定义法.即只需证明后项/前项为常数即可。

使用定义法的技巧,就是在化简过程中,保持前项不变,然后后项用题中给定的关系式代入。
道理也是显然的,要使得计算结果为常数,必须要出现消项、约分,所以把后项朝前项去靠近,才能最终通过消项、约分得到常数。
根据条件中给定的关系式,代入上式。

结果还真是一个常数,神奇吗?
其实一点也不神奇,只要方法正确,常数是命题者设计好了的,你不用担心。
下面,增加一点难度,看这一道分段形式给出的数列递推式。

请自觉做题3分钟.不要往下看。
分析:首先来理解数列递推式传递的信息.我们用具体的例子来理解它。

通过这种方式,我们对数列有了一些感性的认识。
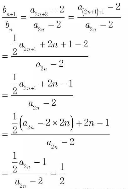
不管怎样,还是采用定义法来证明。

还是采用前面介绍的技巧:保持前项不变,把后项用题中给定的关系式代入。
注意看,分子项和分母项的脚标相差2,我们根据题目所给递推式,可以分两步来。

咦!结果又是一个常数。
废话,要不是常数,那就是题目出错了。
总结:定义法来真好用,证明等比显奇功。