
质子究竟有多大?十多年前,测量质子电荷半径的两种方法——光谱学法与散射法给出了基本一致的测量结果,0.88飞米(fm,1飞米=10-15米)。然而在2010年,用μ子-氢原子光谱法测得的质子电荷半径却给出了0.84飞米的结果,质子变小了!多年来,科学家一直努力探寻这个不同寻常的“质子电荷半径之谜”。
今年9月,加拿大约克大学的研究团队发表于 Science 的一篇论文报道了通过氢原子光谱法测得的更小的质子电荷半径——0.833飞米[1 ]。到11月,PRad实验合作组在发表于Nature 的文章中宣布他们在美国托马斯·杰斐逊国家实验室(Thomas Jefferson Laboratory)完成的电子-质子散射实验中测得最新的质子电荷半径,结果为0.831飞米[2 ]。
那么,质子电荷半径之谜真的解决了吗?

撰文 | 彭潮(前美国杜克大学博士生,现于美国阿贡国家实验室任博士后研究员)
叶志鸿(前美国杜克大学博士后研究员,现于佳能公司任探测器科学家)

质子究竟有多大?美国托马斯·杰斐逊国家实验室通过PRad 实验测量质子的电荷半径。| Jefferson Lab
我们对质子了解多少?
自1917年卢瑟福(Ernest Rutherford)通过氮原子与α粒子的核反应发现质子存在的证据以来,时间已超过了 100年。伴随着这百余年物理理论与实验方法的发展,我们对质子的认知也不断改变。1933 年斯特恩(Otto Stern)测量质子磁矩后发现,质子的结果不符合点状粒子的预期,并且他初次假设质子应该具有内部结构。这个假设在20世纪50年代被霍夫斯坦德(Robert Hofstadter)所带领的电子-质*弹子**性散射截面的测量实验直接证实,在接下来的一系列散射实验中,物理学家进一步发现,质子应该是由更多的点状粒子所组成。
现代的物理图景常将质子描述为一个充满了夸克、反夸克与胶子的包。作为自然界最广泛存在、并且最为稳定的量子色动力学(QCD)束缚态,关于质子的研究对理解强相互作用力至关重要。但随着对质子内部结构认知的深入,越来越多的谜题也伴随而来。例如,实验表明质子自旋只有大约30% 源自于价夸克[小编注:价夸克(valence quark)是指决定强子的量子数的夸克和反夸克。因为任何一个强子(包括重子和介子)都包含由夸克、反夸克和胶子组成的无穷多的虚粒子之“海”,但这些虚粒子并不影响其量子数。] 而更多部分来源于夸克的轨道角动量和胶子。又例如价夸克的质量之和远低于质子质量,其绝大部分的质量应该来自于胶子,但我们对此缺乏更系统的理解。而最新的谜题则是关于质子的电荷半径。

质子的内部结构颇为复杂,除了三个价夸克(uud)之外,还有夸克-反夸克对不断地产生和湮灭,胶子(黄色波浪线)则通过强核力将夸克束缚起来。| DEUTSCHES ELEKTRONEN-SYNCHROTRON
质子电荷半径之谜
目前测量质子电荷半径的实验方法可以归纳为两类:
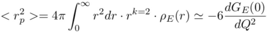
一类是通过测量轻子与氢原子的弹性散射截面得出质子的电荷和磁荷形状因子 (GE,GM)。在忽略相对论效应的近似情况下,电荷形状因子可以被解释为质子电荷三维空间分布的傅里叶变换

其中 Q2为轻子-质子散射的四维动量转移,其直观的物理含义为散射过程的观测尺度。Q2值越大,观测尺度越小,从而越能观测到质子内部更精细的结构。质子的电荷半径平方(rp 2)可定义为电荷密度 ρE(r) 的二阶矩,近似等于电荷形状因子在动量转移为零(Q2= 0)时的导数

现代的物理理论研究表明相对论效应无法在实验中被忽略,因此测量得到的形状因子与横向的电荷二维分布相关,而无法给出准确的径向信息[3 ]。
另一类方法则是精密测量质子电荷分布对氢原子能级分布的影响(Lamb Shift,兰姆位移),再通过理论计算反推出质子半径。我们知道氢原子的核外电子运动满足一定的概率分布,但没有确定的轨迹与方向。其空间分布如同云状,因此也常用“电子云”来描述。由于质子具有内部结构,所以核外电子也会有一定几率出现在质子内部,从而导致电子所“感受到”的质子电荷改变,这细微的能级变化便与质子电荷半径有关。由于质子电荷半径的影响非常小(比如在 2S-2P 能级跃迁中大概只占 0.014%),因此这类实验方法需要高度精确的光谱测量以及高阶的量子电动力学(QED)理论计算。
2010 年,CREMA 课题组在瑞士保罗谢尔研究所(Paul Scherrer Institute,PSI)将质子半径的测量精度提高了两个数量级。CREMA 利用μ子替换了氢原子的核外电子,制造了半衰期只有2.2微秒的2S态μ-氢原子(μp),并测量了2S − 2P的能级跃迁,以此计算得出 rp= 0.84184 ± 0.00067 fm[4 ]。由于μ子质量大,玻尔半径小,μ-氢原子的能级对质子的电荷半径更为敏感(约占2%),因此该实验才实现了极为精确的测量。
但是,CREMA的测量结果却比国际科技数据委员会(CODATA)给出的数值(CODATA14: rp= 0.879 ± 0.011 fm)相差了5.6个标准差!CODATA的结果是基于过往实验结果的加权平均,这些数值均依赖于普通氢原子的兰姆位移测量以及电子-质子的弹性散射反应。因此这个差距暗示了μ子可能不如标准模型所描述的那样符合轻子普适性,从而引起了原子物理、核物理以及高能物理等领域的广泛兴趣,被称为“质子电荷半径之谜”。
在随后进行的实验中,该课题组利用μ子继续测量了氘、氦-3与氦-4的核子半径,并发现氘的核子半径也与以往的测量结果有差距[5 ],但氦-3和氦-4的初步分析结果却符合预期[6 ],从而进一步加深了这个谜题。自2010年始,多领域的研究者们花费了大量的时间与精力,试图从理论以及实验上解释这个谜题。

从2010年以来,科学家用电子-质子散射(红色)、常规氢原子光谱(蓝色)、μ子-氢原子光谱(灰色)这几种方法测量了质子的电荷半径,其数值分布如图所示。误差棒表示了实验的误差范围,两条带状阴影表示 CODATA在2014和2018年采用的质子半径数值。到了2019年,氢原子光谱法[1 ]与电子-质子散射法[2 ]测得的质子电荷半径终于吻合。[7 ]
弹性散射实验的挑战
由于电子-质*弹子**性散射实验无法实际达到 Q = 0,同类实验都是通过测量电荷形状因子在一定 Q 范围内的分布,再通过拟合手段获得 Q2 2 2= 0 的斜率,从而获得质子的电荷半径。纵观近年的弹性散射实验,其结果误差主要来自于以下几方面:
-
实验大多采用磁谱仪作为主探测器,其优势是可通过测量高速运动的散射电子在强磁场的偏转来精确获取其动能,但磁谱仪的探测空间狭小,单次设置只能测量小范围的Q2。因此实验中需要多次改变入射电子能量以及磁谱仪设置,而不同实验设置下的探测精度不尽相同,在拟合中使用不同设置下的数据会引入与Q2相关的系统误差,最终对拟合出的斜率产生影响。
-
弹性散射截面的高精度测量需要准确知道入射和出射电子数量以及靶质子密度,以目前的技术水平,很难将这方面的系统误差降低到1%以下。
-
电子半径的拟合非常依赖极低Q2的数据,但低Q2意味着测量小角度以及低能量的散射电子。小角度会导致探测器过于靠近电子束,被电子束路径上的非质子物质所引起的小角度散射影响,从而增加本底噪声;而低能量则意味着要达到同样的相对精度,探测器需要有更好的能量分辨率。与此同时,低能量小角度的电子通过任何材料,比如空气和探测器,会引发多重散射,从而其角度和能量也将更轻易被改变。
虽然从20世纪50年*开代**始,在较高Q2区间的电子-质*弹子**性散射截面已经被众多实验用不同技术手段反复测量,并从中获得非常精确的形状因子分布[8 ],但由于以上罗列的困难,实验数据仅限于Q > 0.01 GeV区间,数据点非常有限,且多组实验结果有所出入,这给后期的全局拟合造成不少困难。为了更加准确地推演出Q = 0时的斜率,我们不仅需要严格处理实验之间的系统误差,还要挑选合理的拟合函数来预测0< Q < 0.01 GeV2 2 2 2 2区间的电荷形状因子分布。在实验数据有限且精度不够的情况下,任何提取质子电荷半径的努力将不得不伴随较大的系统误差。
PRad 实验
为了克服以上这些实验挑战,PRad 课题组提出了较以往不同的弹性散射截面测量方法,其优势主要集中在以下几点:
-
实验摒弃了传统的磁谱仪,而采用混合型高精度量能器(HyCal)来测量散射电子,其开放式设置允许同时测量大角度范围的电子并给出较高的能量探测精度。量能器前加装了1.2平方米的巨型气体电子倍增测量仪(GEM)用来精确测量散射电子的角度。整个实验只改变了一次电子束能量设置即得到了较大Q2范围的实验数据。
-
实验使用了无窗气态氢原子靶。该气态靶系统在运行时,会持续向真空腔内的两端开口圆柱体型容器中注入低温(19.5K)氢气,以维持容器内的靶密度。真空腔与2个分子泵直接连接,不断泵走容器内溢出的氢气,以保持真空度,将靶气体的分布限制在容器中。该气态靶几乎完全移除了电子束路径上的杂质材料,从而大幅降低了数据的本底噪声。
-
在气态靶和探测器之间安装了两节巨大的圆柱型金属真空腔,最大程度地阻绝了散射电子和空气分子的多重散射。
-
探测器均采用中间开口设计,让电子束流管道直接穿过,将未发生散射反应的入射电子沿着管道引走,从而不仅能最大限度地测量小角度的散射电子,也能极大地降低本底噪声。
-
实验同时测量了电子-电*弹子**性散射。由于电子-电*弹子**性散射截面可以通过QED精确计算得出,测量结果可以反推得出入射电子数量与靶密度的乘积,极大地降低了来自这方面的系统误差。

此次实验摒弃了传统的磁谱仪,而是采用了混合型量能器(HyCal)。[2 ]
PRad 实验于2016年夏天在美国杰弗逊国家实验室进行,测量了Q = 0.0002 − 0.06 GeV 范围内的数据,相对于以往的散射实验,此次实验将Q的数值降低了接近两个数量级。对数据进行仔细分析及拟合,给出了r2 2 2 p= 0.831±0.007statr±0.012systrfm的结果,并已于近期发表于 Nature 杂志[2 ]。相较于其他弹性散射截面测量实验,PRad 的结果基于更接近 Q2= 0 的数据,以及更加可控的系统误差,所得出的质子电荷半径与CREMA相符合。再考虑到近两年的三次氢原子能谱精确测量实验中有两个的结果[1, 9 ]支持CREMA,有相当一部分研究者倾向于认为,质子电荷半径之谜已随之解决。
后谜题时代的挑战
随着近两年实验结果的出炉,国际科技数据委员会修正了质子电荷半径的数值,给出 rp= 0.8414 ± 0.019 fm,并随之修正了里德伯常量。这些改变似乎暗示了质子电荷半径之谜已解决,电子和μ子仍保持着轻子普适性。
但是,纵观整个过程,质子电荷半径争论中所引发的问题有不少仍旧悬而未决。比如最近的实验结果虽然大多支持CREMA,但单个实验的精度都无法完全排除 CODATA14的数值。而且PRad结果为何与之前的弹性散射测量实验有较大的差距?是因为系统误差估计偏低?拟合方法引入的偏差?还是因为其他的原因?这些我们仍然不甚清楚。此外,氘核半径的谜题仍未解开,μ − D结果的偏差似乎暗示了中子电荷分布对氘核电荷半径的影响。
种种问题其实都表明,在质子被发现一个世纪之后,我们对质子的了解仍旧寥寥,这个研究方向需要的工作仍然很多……
参考文献
[1] Bezginov, N., et al. A measurement of the atomic hydrogen Lamb shift and the proton charge radius. Science. September 06, 2019, Vol. 365, pp. 1007-1012.
[2] Xiong, W., et al. A small proton charge radius from an electron–proton scattering experiment. Nature. November 06, 2019, Vol. 575, pp. 147-150.
[3] Miller, Gerald A. Defining the proton radius: A unified treatment. Phys. Rev. C. March 7, 2019, Vol. 99, p. 035202.
[4] Pohl, Randolf, et al. The size of the proton. Nature. July 08, 2010, Vol. 466, pp. 213-216.
[5] Pohl, Randolf, et al. Laser spectroscopy of muonic deuterium. Science. August 12, 2016, Vol. 353, pp. 669-673.
[6] Antognini, A., et al. Experiments towards resolving the proton charge radius puzzle. EPJ. Web Conference. 2016, Vol. 113, p. 01006.
[7] Progress on the proton-radius puzzle. Karr, Jean-Philippe and Marchand, Dominique. November 06, 2019, Nature.
[8] Ye, Zhihong, et al. Proton and neutron electromagnetic form factors and uncertainties. Physics Letters B. February 10, 2018, Vol. 777, pp. 8-15.
[9] Beyer, Axel, et al. The Rydberg constant and proton size from atomic hydrogen. Science. October 06, 2017, Vol. 358, pp. 79-85.
来源:返朴
编辑:Tim