乐学数学名师张刚、张恒、姜慧芳给大家带来全国Ⅲ卷的真题点评!(视频详情参见乐学高考APP,搜索真题解析!对照视频阅读效果最佳哦!)


乐学名师张刚

乐学名师张恒

乐学名师姜慧芳
张钢:很多同学都问到了关于三卷的适用范围,我们说的三卷的是丙卷,我们先和大家分享一下数据。
张恒:对,我们先给大家带来三卷的概述,因为天下大事合久必分,分久必合。截止到2017年绿色的地区是使用新课标三卷,红色的是一卷,黄色的是二卷,蓝色的是自主命题。
张钢:这个是和地理区域和教育相关水平是有关系的,我们今年没有做三卷的预测,因为三卷太少了,去年第一次考,今年第二次,我们拿去年的考试数据和大家分享一下。
张恒:今年我们对新课标三卷做了一个分值统计,拿2017年对比整体是差不多的,从30变成了32,17变成了15,代数和三角部分差不多,唯一不一样的是函数和导数,就是线性规划的题,整体分布是差不了太多的。
张钢:大家从表格当中不难发现还是六大核心板块占主体,比如大家非常熟悉的函数导数、概率统计、立体几何、解析几何和三角数列,其实我们所对应的内容占据大部分的内容。现在看的同学是准高三的同学,明年参加高考之前,做一年相应的学习规划的时候一定要把重心和大部分精力投入到这几大重要板块当中。
张恒:对,我们数学就是按板块学习的,但是每个板块是不一样的。我这里做了一个预测,就是一个典型120分的学生和90分的学生对比,各个板块的总分看到了,今年预计分差就是说120分的学生比90分的学生会多出一块,它实际上除了对90分的学生有用,对于90分以下的学生有用的,90分以下的学生要抓代数和选做题。对于90分以上的要看概率统计和立体,如果你是120分以上高手的话函数板块和立体几何是不能出错的,这只是我的一个预测。
张钢:很多同学都关心丙卷难还是不难,它是客观的也是主观的,客观的是拿之前的数据说话,主观的是不同学生有差异的,即使一个人,他的竞技状态也是有差异的,所以我们直接谈论这份试卷是难还是容易的话对于我来说有些困难,但是我可以告诉大家,今年的考试内容相对来说比较平稳、大气,看到内容非常有亲近感、亲和感,稳中有变,这是整个全国卷相应的特点和特色。
张恒:我拿这个题也做了一下,这是非常主观的是我个人的判断。我分的也分的特别粗浅,就是难中易,把每个题考察的板块以及内容做了大概的统计,大家可以看一下,实际上没有太多的变化,大家关注的变化就是选择压轴考了向量,圆曲题目不是特别难,平面解析几何的难度实际上维持了适中稍微减低的状况。
张钢:我们聊了这么多过去的分析和数据,很多同学过来还是想听一听干货,很多同学想听压轴题该怎么破,有没有什么方法和思路分享给大家,我们能不能切入主题来聊聊真题。
张恒:真题之前,我也给大家讲一个特别有意思的事情,就是我从西游记四个人来分析一下数学题怎么做,怎么分析。大家知道历史上玄奘一个人去取经,但是后来成了四个人,这四个人就是四个能力。就是说探究题悟空试用,八戒是乐天生活派,贴近生活,而唐僧是知识型,而沙僧属于耐力型,属于耐心的计算和分立讨论。
张钢:这是张恒老师从四个角度来分析的,我们看一下比较不错的典型性的题目,姜老师先聊一下。
姜慧芳:从第3题来看,第3题考察了是比较贴近生活的题目,考察的是折线图,折线图对比去年的话,去年三卷第3题考察的是雷达题,都是比较贴近生活的,就是考察同学们预测未来、改变未来的能力,这种题目其实特别像我们语文里边的阅读理解,就是你看ABCD四个选项哪个对选哪个就可以了,但是它比语文的阅读理解比较简单,因为有数据说话,不会模棱两可。
比如我们看A选项,它说月的接待游客量是逐月增加的,我们不能只有知识没有常识,月游客量怎么会逐渐增加呢?所以选择A。
还有18题也是比较贴近生活的题目。
张恒:这个考的就是进酸奶,酸奶和气温是有关系的,你要进就要进一个月的,这是一个月的数据,也是尴尬的地方。第一问还是比较简单的,就是一个离散型变量的分布链,第二问就考察生活的问题用数学模型解决,这就是猪八戒生活的角度,能不能用函数关系处理,这里就是分段函数,根据每个月进行分段,然后每一段都是非常简单的一次函数,根据单调性就可以判断出最大值,算法是比较简单的,计算一下这几种气温的天数出现的概率,然后计算出那种情况对应的卖出去多少酸奶的数量,但是你不要忘了有的酸奶你卖出去是挣两块钱,有的是赔两块钱,然后一加就可以了。但这难度不是特别大,但是今年得分率不是特别高。
张钢:一沾文字就头疼,我们排列组合要关注一些冷门的边边角角的东西,像回归直线方程等等,这些东西要在这一年当中投入精力好好准备。当然我们总说考数学文化,学数学就有文化,文化的事都离不开数学,这些不能完全割裂开,不是说必须聊古文就一定要考数学文化,数学都是和生活应用有关系的,这是两道题目和大家做的小小分享。
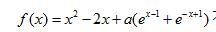
我们看下面一道题目,这是第11题。大家看一下第11题是选择题的倒数第二道题,是次压轴题目,我读一下题目:已知函数



有唯一零点,求a=多少。很多人拿到这个题觉得是超越函数,因为本身是二次,说你涉及到零点问题要不要求导,你求导可能会走上不归之路,因为这是永恒不变的导函数,所以你导完之后不能降低函数的难度,所以这个方向暂且割裂开。那我们能不能从函数的性质分析这个呢?比如说前半部分,这是大家熟悉的二次函数,我们关注的是什么内容呢?第一是开口,第二是对称轴。开口非常清楚,对称轴就是x=1,这个二次函数就是轴对称。我们看一下a倍括号里的内容,u+1/u是什么呢?它最本质的差别在于这个u由于是换来的,是ex-1,所以这个画的是一部分的曲线段,既然考虑到刚才左侧的二次函数具备轴对称性,我们试着大胆预测,括号里面先减后增的函数有没有相同的对称性体现在这里面?所以我算了一下f(x)和f(2-x),这是一个轴对称函数,而且两个函数都具有相同对称轴,就是x=1,把x=1轴对称函数组合到一块整个就是先减后增的趋势,既然这个函数是唯一的零点就是x=1时一定等于0,所以a就非常好的能够破解开。
张恒:我觉得它就是孙悟空的题,关于1对称,一看外层是对公函数,这就需要你的观察力。
张钢:这就是我们分门别类分别对待的时候你就会发现这个题突然难度降低了不少。
继续分享下一道题目,是选择题压轴题的12题,相当精彩。
张恒:因为我们谁都没想到压轴题会考向量题,在矩形ABCD中,AB=1,AD=2,动点P在以点C为圆心且与BD相切的圆上。你要转换成函数问题,这是第一种沙僧的方法正常套路去做,这个题非常不好做,非常不好算。
张钢:这是代数的方式,转换成三角函数求最值的情况。
张恒:对,比较长,而且算起来有运算在里面。第二种方法是悟空的方法,也是这样去做的,但是大家有没有想,它求的最大值,最大值的位置是在特殊的位置,你能想到哪个点是特殊的点吗?我能想到两个点是特殊的点,第一是直接连接AC,第二个是有相切,相切的点的位置是最大值,分别把两个点的位置代进去算就可以了,最大值就是答案了,这个比求最值好算得多,就是试探最值。我最想问大家,这个题我有一个30秒的秒杀方法。
张钢:这完全是选择题的形式了,一切烦琐问题必有猥琐解法。
张恒:大家知道B线上所有点的连线,任意找一个点,比如说F,AF连接,AF向量如果写成AB和BD向量的话,那么它是等于1的。
张钢:满足充要条件了。
张恒:对,但是你过C点做平行线,分解成AB向量和AD向量的形式,这就是

这个位置就是

这个大家会想到物理上的做法,一秒钟就认为是3,如果你能理解

是怎么来的,如果能延展到2、3这个题不到30秒就能做出来,这是唐僧的方法。
张钢:也就是把这个直线向外推。之间的距离都是等间距的。很多同学弹幕说需要我们多写点过程,这个放心,咱们直播课之后会做出非常详细的解答,关于新课标1、2、3的解题,大家不用着急。
继续看题。
姜慧芳:这道题说a,b为空间中两条互相垂直的直线,等腰直角三角形ABC五的直角边AC与a,b垂直,这个里面出现了三垂直,但是没有说这三条线相交于一点,但是我可以理解为让它相交于一点,因为这个是让你求角度,不涉及长度,所以这时候完全可以把三条直线相交于一点,然后就可以三垂直。
张钢:对,人家没有说在一个平面里面,但是这么理解比较麻烦,不如移到一个位置上,然后建立空间直角坐标系。
姜慧芳:对,这道题里面还有一点想提醒大家,它只提醒角度了,你就可以设单位向量,等腰直角三角形就可以设为1,这样就会简单,这样通过坐标算所乘角度也就很快可以做出来了。
张钢:我们现在的压轴题都有特殊思想,主要针对的是选填压轴,如果我们考虑一般情况严格推导浪费的时间确实很多,如果走一些所谓的悟空想法,走一些投机取巧的方法会达到意想不到的效果。
张恒:正儿八经的写,偷鸡摸狗的做。
张钢:我们一起看看解答题,立体题还是有点特色的,如果说稳中有变的话这道题能体现出相应的变化,往年直接能看出空间直角坐标系,这个还是比较棘手的,看这个题该怎么破呢?
张恒:因为以前我们教过大家一个方法,上来即使不会做,建一个系还能得分。
张钢:拿两分。同学们好多弹幕都说不太好建系。我们看一下这个题目。给了四面体ABCD中,△ABC是正三角形,△ACD是直角三角形,∠ABD=∠CBD,AB=BD。
张恒:我们先求正弦值,再求余弦值。大家想办法用数量关系转换成位置关系,这是这个题的关键所在。我们开始做这个题,它告诉ABD=CBD,这个题要有猪八戒精神,你知道它们俩有公共边是BD,然后引到A和C,他们有一个BD共同边,然后引到A和C,分别是这两个角,这两个角是相等的。
张钢:是不是拿全等也可以。
张恒:对,就是通过全等证明的,把AB=BD,三个底边都相等,所以ABD三角形和BCD应该是全等的,证完全等之后就能得到相应的结论,AD和CD是相等的,但是这里面还要想一步,人家说ACD是三角形,就是等腰直角三角形了,现在人家让我们证平面ACD是垂直于平面ABC的,这时候同学们应该有点对称的感觉,因为你发现AD=BC,AB和BC是相等的,这个面是对称的。
张钢:所以取了AC的中点,它是等腰三角形,你可能会问为什么不选择BC和AB呢?因为你要选这两个,就用不到ACD等腰直角三角形这个重要的条件了。
张恒:这里如果从猪八戒的角度来看,玩一个文字游戏,你注意到这里有A也有C,所以中间相交肯定是在AC的位置相交,所以AC上的点和位置是非常关键的,所以我们考虑ACD终点处理这个问题。因为ABC和ADC是等腰的,所以这个垂直,DM垂直于AC,BM也是垂直于AC,所以AC是同时垂直于两个直线,所以AC是垂直于平面PMB的,是垂直于BDM平面的,这个大家应该能想到,但是有了这个结论之后其实也非常不好证平面ACD垂直于平面ABC的,你要想证就需要线面来证,下一步该怎么处理呢?这里实际上涉及到难度所在,难度在哪儿呢?我们一般人都能想到通过位置关系推出位置关系,但是我们知道这个题目给了很多数量关系,包括等边直角三角形,等腰直角三角形,BM垂直于DM,你应该怎么去证呢?你应该用勾股定理去证。
张钢:对,它给了边长,给了边的关系,所以大家应该注意到找其它的方式,而不是非要找传统的线面垂,所以从这道题当中它的垂直来自于勾股定理,包括一开始两个边相等,大家应该有意识的发现一个问题,尽管在选修当中把平面几何这块知识去掉了,你就以为不用准备,不用备考,反正和我也没有太大关系,但是像全等这些知识,小学和初中已经接触到的内容必须要深入骨髓里面,大家千万不要把这个东西完全扔在脑后。
张恒:所以我们立体和概率是不稳定得分的题,导数学的好也很稳定。
张钢:弹幕同学说初中数学学的好差,这个其实还好说,因为高中和初中有一个很好的递进关系,但是平面几何最基础的还是要学,如果同学有兴趣可以在咖啡厅里面和我们互动,我们会做一些专题板块的内容。
看下面是圆曲,上来就是抛物线,和椭圆双曲线难度砍一半,基本上是向相应的定义上面转换,这道题当中稳定之中有变,你说有没有相应的变化?
张恒:这个就是用韦达定理去处理的,大家可以感受这个题,比较简单用韦达定理就可以处理,但是老师给你提一个易错的点,这个题一般很多同学是用横截式处理的,就是y=k(x-2),然后以AB为之直径的角度转换成koa×kab=-1。
张钢:如果这样我们设直线方程的话,有没有其它注意的点?
张恒:你考虑斜率不存在也要介绍一下k不存在的时候,就是x=2的线,你和抛物线计算出AB,这是第一个易错误点。
张钢:容易漏掉斜率不存在的直线,我们要把它与抛物线联立一次,单独研究。到底消x还是消y,其实在后续操作当中运算量还是有一定差距的。主要还是要看我们最后推导出来的代数表达式所呈现出来的效果是以x表示更加方便还是以y更加方便,这个就不具体展开了。
张恒:这个题容易出错,容易考虑斜率不存在单独证明,肯定是一个失分点,而且运算出来比较恶心,但是这个题还好,因为是抛物线,在椭圆中会非常恶心,如果你设计成纵截线,你把这个设置成my=x-2就不存在了,因为m不存在就是y=0的线,这个没有顾虑了,而且运算的时候会好一点。
张钢:消x更加方便了,其实这个是非常简单的点斜式,my=x-2,但是这种设置直线,水平直线就不适用了,但是这根线也不可能和抛物线产生两个交点,这也能回避开刚刚说的小瑕疵,所以这个还是有一点讲究,剩下的运算比较简单,我们觉得解析几何,丙卷难度并不是很大。

张恒:这个题并不难,而且我们直播都讲过,给大家5秒钟考虑一下。
张钢:这是超越函数,要求x=0就可以了。
姜慧芳:有同学提到重要函数不等式。
张钢:看到第二小问有人想到是重要函数不等式。
张恒:我们看一下第一问,也是重要函数不等式,这里面有求解的方式,正规的方法是对f(x)进行求导,然后进行单调性的分析,展开细致讨论就可以了,这是正规的套路,但是如果你听过我导数的那节课我讲过,这是不完全的分离,就是把一个整体的函数拆成两个函数交点的问题,两个函数往往是简单位置的函数,以及一个难的已知的去另一个函数的过程。大家看到这个形式实际上可以进行拆分,你就把它拆分成x-1≥alnx,lnx是相对复杂的函数,但是前面代了系数a,只要你展开分类讨论,你会发现只有a>0是可以的,你就把这个问题转换成1/a(x-1)≥lnx,这个大家有没有感觉呢?从题干到这一步实际上都是代数变型,都是横等变型和不等变型,把1转换成2的问题,由2的问题进一步变成这个问题,转换成经典的树型结合的形式,我还是带参数的,也带x,实际上树型结合的几何背景是什么呢?就是lnx已知的函数是确定的,为什么我要把复杂的变成确定的?因为不好画,但是左边是过定点的,斜率是变化的动的直线,大家能想到如果让直线始终在lnx上方的话,而且它横过10这个点,实际上体现了悟空的思维,特殊点,对于函数而言代1就可以了,对于一次函数也是横过1,0的点,结果只有可能是绿色的直线是lnx在1,0出的切线才可以,这样一秒钟就出答案了,就是1/a=1。
张钢:张恒老师用数形结合的方法把两个函数分拆开了结合图象判断。但是我做这个小问就不会想那么多了,因为我刚才讲到只要求出f(x)最小值就可以了,所以我可能会对它直接求导,求导之后会变成a-1/x,直接通分x分之x-a,x-a如果等于0就是有一个根就是a本身,你要知道a的端点的位置,就是小于0、大于0和等于0,而当a小于等于0时原函数是单调递增的,由于函数我们能猜出零点是f1=0,这个f一定要过1,0点,也就是说在0-1范围下函数图像是在下方的,1-0是在上方,这就不符合要求了。所以a小于等于0是不可能的,所以我们只能要求a>0。
我们看一下第二问,它涉及到是压轴题,所以要关注一下第一问和第二问的联系,直接看不等式一头雾水,但是你会发现从第一问里面能获得到关键信息。
姜慧芳:对,我们说乘法和除法其实它属于阶结运算,我们做数学题有一个化繁为简,如果你把乘数转换为加减,怎么转换成加减呢?题干告诉你了有lnx,左右两边要同时取对数,肯定以1为底,你是这样证的,这样就成了ln1+1/2,但是你不可能是干巴巴的不等式,肯定是有联系的,第一问求出来a等于多少,a=1,于是你lnx就应该等于x-1,我为了和跟我第一问靠,我第二问ln(1+1/2),我先拿第一个看,于是它俩对比的话,它就会1+1/2就是1/2,于是你左侧求和发现这是等比数列。
张钢:控制前n项和的最值,你取最大值的过程当中要判断m最小是多少,所以有最大和最小的转换过程。所以一开始姜老师关注的是第一问和第二问联系之后先考虑是加法,然后采用了不等式的形式,当然这是来源于第一问结论。那今天这份试卷包括选填的压轴和边边角角冷门的知识今天就先分析到这里。
对准高三生能不能做出一定的建议呢?
张恒:今年的高考接近尾声了,关于18级的同学怎么备考才是我们的重点。
姜慧芳:前些天我听到一个笑话给大家说一下,就是老爸对孩子期望蛮大的,说孩子怎么样也得给老爸考985,然后孩子说怎么可能考985,试卷本身都没有985,我考211可以吗?就是他对965和211都不清楚,同学们快参加高考了要考哪个学校要有定位,只有你去看了学校才有动力。
张钢:对,不如你去看看未来好的心仪的学校,感受一下环境。
张恒:我给今年高三同学的建议,我的观点会一直讲到你吐为止,我个人的理论是悟空思维数学学习能力法,就是唐僧角度你的基础知识一定要扎实,而且要有一些过级的技巧在里面,悟空他应该是学习敏锐特殊化的思想在里面,你应该有一些零界值,特殊化的思想也要掌握。对于沙僧而言,常规的套路,以及正常的解法,以及耐心计算分类讨论能力也应该努力改善,最后猪八戒要有点乐观的精神,以及贴近生活,不要光顾学习,相对于你明年的高考在生活中,不是在课本中。而思维心态调解法,对于唐僧而言不要觉得他掌握了很多东西,实际上他考虑的太细节了,太理想化了,容易焦虑。而沙僧每天任劳任怨容易抑郁。悟空容易骄傲和急躁,抓耳挠腮的也不好,所以你应该学谁弹幕告诉我。
张钢:说了半天其实想希望大家学谁?
张恒:猪八戒,不要戒食好好吃,不要老把自己往绝路上逼。
张钢:我觉得高考成绩还是我们长期积累的反馈,我发现很多同学在高一、高二方面放松了不少,但丙卷有一定的套路和模式,很多同学高一、高二荒废了没有关系,只要今年认认真真复习,只要按照我们的方法去做我相信你在明年数学当中会大放异彩,当然数学一定要做的得当,不是玩题海套路。