温馨提示:如果你只对某些塑料感兴趣,可以直接在公众号[罗罗日记]后台回复塑料名字,即可获得塑料属性表。你也可以在正文搜索相应的材料名称,即可快速定位到你感兴趣的材料,阅读了解相关材料的特性和应用。
比如,你对Peek,Acetal,Nylon,Teflon等感兴趣,那么可以回复Peek,Acetal,Nylon,Teflon,Vespel,PP,PE,PU,PC,PVC,PET,PPS,HDPE,LDPE等,就可以获得相应的塑料属性表,都是权威文档,放心使用。

塑料金字塔
好了,让我们开始这奇妙的塑料之旅吧。
在机械设计中,经常使用的塑料有Peek,Acetal,Nylon,Teflon,Vespel,PVC,PP,PET,PU等。
比如经常用PEEK做滑动接触面材料,也经常用PU,PVC等做机械挡块。
再比如,用Vespel做隔热材料,用Nylon做扎带或做滑动支撑件等。
当然还有用Teflon做电器件绝缘结构,用Acetal做一些结构件及布线夹等。
其实,生活中随处可见塑料。
比如你买了一瓶农夫山泉,拧开盖子,你会发现里面写有“02”字样,其实就是表示它是用HDPE来做的,可回收再利用。
HDPE即高密度聚乙烯,非常安全,不会将任何化学物质传播到食品或饮料中。
用这种塑料制成的东西还包括各种瓶子。
像海飞丝洗发水瓶子,蓝月亮洗衣液瓶,立白洗洁精瓶,舒肤佳沐浴露及洗手液瓶,施华蔻护发乳瓶等,就是用HDPE做的。
再比如绿茶瓶身上也写有“1”PET字样,表示瓶身是用PET材料来做的。
其实我发现,百岁山矿泉水瓶,农夫山泉矿泉水瓶,某品牌花露水瓶,漱口水瓶,威露士沐浴露瓶,伊维宝洗手液瓶等也是用PET做的,(PET= PETE)。
再观察一下,你会发现,有些喝水用的塑料杯身标示Other(第7类),杯盖上标记PP,表示盖子是PP材料做的。
另外,我翻腾了一下美的电饭煲,发现塑料蒸隔也是用PP材料来做的。

7类常用塑料及用途

7类塑料特性,应用,健康风险,回收性能
那么这些材料如何归类?各有什么特性?还有哪些应用?
今天,我们就来认识一下这些塑料。
1. 塑料的分类
从化学结构和工艺特征来看,塑料大体上可以分为四类:热塑性和热固性塑料,弹性体,复合材料等。

塑料的几种分类:热塑性,热固性,弹性体,复合材料

热塑性塑料和热固性塑料分类及简写,来源于NTN

塑料价格对比

热固性和热塑性塑料特点对比
热塑性塑料(Thermoplastic)
顾名思义,热塑性指的是加热可以塑造形状的性质。
热塑性塑料最明显的特特征是,加热时它们会变软并融化,冷却时又固化,这种通过加热和冷却而熔化和固化的过程,可以重复进行。
热塑性塑料能够可逆地重新熔化,是因为分子结构不是三维交联的,连接热塑性链的力较小。
所以热塑性材料易于模制,例如电线中使用聚氯乙烯(PVC)。
当然,因为受热容易变形,所以热塑性塑料的刚性不如热固性塑料。
根据其结构,热塑性塑料又可分为两个不同的子组:无定形和部分结晶的热塑性塑料。

无定形与半结晶热塑性塑料:分子链接示意图

无定形与半结晶热塑性塑料特征,实例和属性
热固性塑料(Thermoset)
热固性塑料是在三维化学交联后,不允许进一步变形或成型的塑料。
它是由相对分子质量较低的材料组成的,这些材料通过热量或硬化剂的化学反应而硬化,成为具有三维网络分子结构的不溶性塑料。
因此,与热塑性塑料不同,它的熔化和固化过程是不可逆的,一旦硬化就能再不熔化。
很多热固性塑料还被用于飞机零件,轮胎和汽车零件的制造中。
塑料金字塔
当然,从材料性能来看,塑料又可以分为通用塑料和工程塑料,工程塑料还可以进一步分为普通工程塑料,高级工程塑料和超级工程塑料等。

塑料类型及特性

塑料金字塔:塑料类型及其耐温度特性。
无定形塑料:应用于结构,粘合,可热成型等需求。
结晶热塑性塑料:应用于轴承,耐磨,耐化学和耐温度需求。

塑料金字塔:成本及性能金字塔,右边是塑料简写及全称对照。
来源于Minnesota Rubber and QMR Plastics。

塑料金字塔,各类塑料的耐温度特性,来源于Ensinger Plastics

塑料金字塔:塑料类型,塑料特征,耐温度性能。
来源于CURBELL PLASTICS。

一般工程塑料,高级工程塑料和超级工程塑料分类,来源于NTN

工程材料塑料缩写表
弹性体
弹性体本文不做过多介绍,以后有机会单独开一篇再写。

弹性体及名称

弹性体性能表
2. 塑料特性

典型塑料特性及可能的应用

典型塑料抗拉强度

典型塑料耐高温性能及成本

塑料连续工作温度及价格对比

塑料抗拉强度及价格对比

塑料弹性模及价格对比

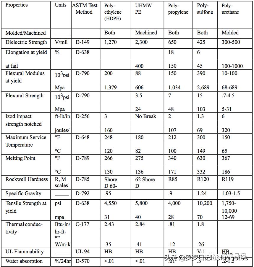
塑料各性能对比




塑料属性对比

塑料耐化学性能对比

塑料耐温度性能对比

塑料耐温度性能对比

塑料属性对比
3. 塑料详解
Acetal=Polyoxymethylene(POM)=Polyacetal=Polyformaldehyde,赛钢
关键特性:高机械强度和刚度,低摩擦系数,良好的耐磨性,自然润滑,可加工性,吸湿率低,耐化学性。

赛钢发展史:1920年赫尔曼发现赛钢,1956年杜邦公司商业生产缩醛均聚物POM-H,1962年塞拉尼斯发明聚甲醛共聚物POM-C。
Acetal是乙缩醛,也称为聚缩醛(Polyacetal),在化学上也称为聚甲醛,即Polyoxymethylene(POM),是一种基于甲醛的半结晶工程热塑性塑料。
所以很多时候,Acetal在表达上简写为POM。

POM化学结构
Acetal俗称赛钢,常见的有黑白两种,即Acetal-Black和Acetal-White。
赛钢以标准坯料形状进行加工,然后挤出为片材,棒材和管材。
赛钢常见的材料形式
赛钢具有高机械强度和刚度 ,良好的滑动特性(摩擦系数低) ,和优异的耐磨性。
由于缩醛几乎不吸收水分,具有出色的尺寸稳定性,是做复杂形状,精密加工零件的绝佳选择。也因为低吸水性,在高湿度或浸没的应用中,赛钢轴承的性能比尼龙高4倍。
由于赛钢的化学结构,它在酸性条件和高温下不稳定,因为聚合物会在高温下降解。因此,POM经常与环状醚,如环氧乙烷或二环氧乙烷共聚,以改变化学结构,从而提高稳定性。

各类赛钢属性:未增强,冲击改性,低摩擦,矿物填充类型等。玻璃纤维,碳纤维或玻璃球增强的赛钢,具有高拉伸强度或刚度。将赛钢与橡胶,TPU和其他聚合物混合,可获得具有更高抗冲击强度的共混物。添加石墨,PTFE,矿物填料等,可增强耐磨性和润滑性能。
另外,由于其分子中包含大量的氧,因此难以赋予其阻燃性,连续工作温度范围约为-40°C至120°C。
应用示例包括:齿轮,轴承衬套,滚子和滑轨,壳体零件,螺母,风扇轮,泵零件,阀体。电气绝缘零件。接触水的组件,防刮擦的高光裸露零件。食品,制药和饮用水行业,以及医疗技术中的各种组件。

赛钢在机械领域典型应用:机械齿轮。因为它具有高机械强度,高耐磨性,低摩擦系数等特点。
POM-H,POM-C
POM有两种变体,缩醛均聚物POM-H和缩醛共聚物POM-C。它们有相同的冲击特性。
POM-H=Acetal Homopolymer,POM-C=Acetal Copolymer。

缩醛均聚物POM-H和缩醛共聚物POM-C特性
POM-H是通过甲醛的阴离子聚合反应制得的,甲醛的结晶作用很好,因此具有很高的刚度和强度,POM-H比POM-C的强度高10-15%。
但是,POM-C比POM-H具有更高的耐化学性和更低的熔点。同时,与POM-H相比,其可加工性高。因此,POM-C已成为POM使用最广泛的类型,占POM总销量的75%。
POM-H最适用于需要良好耐磨性和低摩擦系数的应用,POM-C非常适合需要低摩擦系数的应用。
总结一下,POM-H和POM-C有如下的区别。
硬度和刚度:
POM-H:POM-H更坚硬。
POM-C:POM-C不如POM-H坚硬。
可加工性:
POM-H: 可加工性低。
POM-C: 可加工性高。
熔点:
POM-H: 熔点为172-184°C。
POM-C: 熔点为160-175°C。
弹性模量(MPa)(含水量为0.2%的拉力):
POM-H: 弹性模量为4623。
POM-C: 弹性模量为3105。
使用广泛性:
POM-H: POM-H约占POM总销售额的25%。
POM-C: POM-C约占POM总销售额的75%。
应用领域:
POM-H:轴承,齿轮,传送带链节,安全带。
POM-C:电水壶,带按扣配合的组件,化学泵,电话键盘等。
PEEK (Polyetheretherketone) ,聚醚醚酮
聚醚醚酮(PEEK)是一种半结晶的,高性能工程热塑性塑料。
在聚酮类聚合物家族PEK,PEEK,PEEKK,PEKK,PEKEKK中,PEEK被最广泛地,大规模生产和使用。
它是一种高温耐磨材料,其固有的耐磨性和高强度,使其成为苛刻环境的理想材料。

PEEK特性
PEEK具有出色化学惰性,高温下的抗蠕变性,极低的可燃性,抗水解性和抗辐射性。
PEEK还具有出色的耐蒸汽和热水性能,并且可以在250ºC的温度下运行。它具有240℃的连续工作温度,300℃的短期耐热温度,在热塑性材料中具有最高的耐热性。同时,PEEK暴露于火焰中时,几乎不会散发烟气或有毒气体。
这些特性使PEEK成为飞机,汽车,半导体,船舶,核能,油井,电子,医疗,航空航天和化学加工行业等的首选材料。
比如,PEEK用于磨损和承重应用:例如阀座,泵齿轮和压缩机阀板,活塞环,紧固硬件,医疗植入物,滑动组件等。
PEEK可以采用所有传统的塑料制造方法进行加工,例如注射成型,挤出成型,压缩成型等。
它还可以填充各种材料以增强其性能。
比如,PEEK有非增强型,30%玻璃纤维增强,30%碳纤维增强和HPV增强等级。

未填充,碳纤维填充,玻璃纤维填充PEEK属性表

未填充,碳纤维填充,玻璃纤维填充,及轴承等级PEEK属性表
PEEK未填充:耐磨和耐化学腐蚀。
玻璃纤维填充:更高的强度和刚度。
碳纤维增强:更高的强度和耐磨性。
轴承等级:内部润滑,改进了PV极限和磨损率。
Peek-1000
PEEK1000是未增强的通用级,在所有PEEK等级中,具有最高的伸长率,韧性和冲击强度。
PEEK1000非常适合于美观的仪表组件,以及要求延展性和惰性的密封组件。
此外,还可应用于衬套,连接器,齿轮,叶轮,绝缘子,泵耐磨环,滚子,转子,封条,止推垫圈,气门座等。
Peek-CF30或者PEEK,CF30(CF30=30% Carbon Fiber)
CF30表示增加了30%的碳纤维,碳纤维的添加,增强了PEEK的抗压强度和刚度以及蠕变强度。
碳纤维增强型PEEK,表现出非常高的机械强度,而密度却低于30%玻璃纤维填充型PEEK。
此外,碳纤维复合材料往往比玻璃纤维具有更少的研磨性,同时具有改善的磨损和摩擦性能。
与未增强的PEEK相比,该牌号的导热系数更高,从而可以增加轴承表面的散热,是非增强PEEK的3.5倍,改善了轴承寿命和性能,也有利于延长滑动应用中的零件寿命。
碳纤维的添加还确保了明显更高的导热率,碳填充的PEEK在沸水和过热蒸汽中也具有出色的抗水解性。
由于其卓越的性能, PEEK-CF30广泛应用于工业领域,比如汽车,船舶,核能,井下油井,电子和航空航天领域。
PEEK-GF30(有的品牌也叫Peek-CA30)
这种30%的玻璃纤维增强型,比PEEK1000具有更高的刚度和抗蠕变性,并且具有更好的尺寸稳定性。
PEEK-GF30非常适合在高温下,长时间承受高静载荷。但是,由于玻璃纤维容易磨损配合面,因此不如碳纤维增强型滑动性好。
PEEK材料为设计师提供了最佳的耐磨性和承载能力。
Nylon尼龙,也叫聚酰胺Polyamide=PA
关键特性:抗磨性,低摩擦系数,耐冲击,电气绝缘,耐腐蚀和耐化学性。
尼龙是一种坚固,坚硬的工程塑料,具有出色磨损性能,耐化学性和耐高压性能,通常用于制造机电组件。
比如,尼龙扎带,尼龙固线夹就是最常见的产品形式,常用于固定机器电线,气管等。
常用的有Nylon SHT,Nylon-White,Nylon-Black等。
因为它有低摩擦系数,所以也常用于代替金属轴承和衬套,从而无需外部润滑,比如使用尼龙条做进料盒底部衬托。
再比如之前提到的,用于重力平衡的线绳气缸,绳子表面就有尼龙涂层,用于润滑及密封。
尼龙经过挤压和铸造,并填充有多种其他材料,以改善抗冲击性,摩擦系数和刚度,尼龙的缺点是它很容易吸收水分。
尽管尼龙的类型很多,但在片材,棒材和管材中,最常使用的是尼龙6和尼龙66(有时被称为PA6和PA66)。
6、66、11、12等数字表示分子结构不同。从化学上讲,尼龙6是一种具有6个碳原子的单体。尼龙66由2个碳原子数为6的单体制成,因此命名为66。
总体而言,尼龙6和尼龙66具有非常相似的机械,热和电性能,但在特定应用中各有千秋。

Nylon6 VS Nylon66
Nylon 6=PA6(铸件)
尼龙6通常通过液体浇铸工艺制成片材,棒材和管材,而对于大直径杆,管和厚板,一般用铸造生产,因为铸造最经济有效。
尼龙6在较低的温度下加工,并具有较低的模具收缩率。
它本身是轻质的,具有光亮的外观,是韧性,抗冲击性和表面光洁度很重要应用的理想选择 。
由于其极低的粘度,与PA66相比,PA6具有出色的表面外观和更好的可加工性。
Nylon 66 =PA66(挤压件)
与尼龙6加工方式不同,尼龙66通过热塑性挤出加工成型。
挤出是一种用于制造小直径杆,管和薄板的快速且经济的方法。
与铸造尼龙6坯料形状不同,挤出的尼龙66板材,杆件和管材可以制造成任意长度,这对于以经济高效的方式,生产成品零件而言,是一个优势。
与铸造尼龙6相比,尼龙66具有更高的熔点,和更高的间歇使用温度,使其适合高温应用。
同时尼龙66具有改善的刚度,以及更高的拉伸和挠曲模量,因此对于耐磨性和短期耐热性很重要的应用而言,是一个不错的选择。
当PA6达到其极限温度,或PA6的水解稳定性不再足够时,可以使用PA66,它提供了良好的表面外观和焊接强度,从而有更好的耐爆裂性。
另外尼龙66易于染色,一旦染色,它就显示出优异的色牢度,并且不易受到阳光和臭氧的褪色,也不会因一氧化二氮而泛黄。
尼龙6在欧洲更受欢迎,而尼龙66在美国非常受欢迎。
Nylon 46 (PA46)
它是一种非常优越的材料,比尼龙66耐水得多,当然也比尼龙66贵。

Nylon46特性和应用

Nylon46参数
尼龙46主要用于需要刚性,耐蠕变性,连续热稳定性,疲劳强度,及较高温度的应用。
比如工厂工程,电气行业,汽车引擎盖下的应用等。
Teflon=PTFE(Polytetrafluoroethylene),铁氟龙
关键特性:低摩擦系数,高耐化学试剂和溶剂,优良的电气性能,在广泛的温度范围内稳定,无毒。
铁氟龙,也叫聚四氟乙烯(PTFE),是一种柔软,无毒的含氟聚合物,属于高耐化学腐蚀的氟热塑性塑料。
由于其高分子量,不能通过熔融来加工,而只能通过压制和烧结来制成半成品。

氟的存在提供了更强的耐化学性,尤其是对强酸,并可产生低摩擦系数、低吸湿性、和高电阻性。
铁氟龙具有极低的摩擦系数,很少有材料粘附在它上面,如果有粘附,大多数都可以剥离或擦掉,所以很多不粘锅就用铁氟龙涂层。

铁氟龙涂层用于不粘锅
常见的铁氟龙涂层有以下几种:
Teflon Coating(Dupont 958-303,Matt Black)
Teflon Coating(Dupont PTFE 851-214,Green)
Teflon Coating(Dupont ETFE 532-6118,BEIGE)
Teflon Coating(Dupont PFA 532-5310)
铁氟龙非常不活泼,它不溶于大多数有机物,所以经常用于反应性和腐蚀性化学容器。
由于低摩擦,自润滑和长寿命,它的PV(压力速度)值极佳,铁氟龙也是用于滑动零件理想材料,例如滑动轴承和齿轮。工业上,铁氟龙的应用还包括密封件,轴承,衬套,线圈分离器,端子以及实心管道和配件等。
另外,铁氟龙是一种出色的高温绝缘材料,白色铁氟龙端子通常用于需要极好绝缘的地方。由于铁氟龙光滑的表面可防水,因此即使在高湿度下,绝缘性能也非常好。高品质IC插座由特氟龙制成,以减少电流泄漏。

PTFE/特氟龙特性

铁氟龙/PTFE的典型应用
尽管与其他工程塑料相比,其机械性能较低,但它在低温和高温(从--240°C至260°C)下均保持稳定。
并且,通过添加诸如玻璃纤维,碳,石墨,青铜和二硫化钼(MoS2)之类的填料,可以改善铁氟龙的机械,电绝缘性能和热性能。
所以铁氟龙有多种配方种类,包括未填充,玻璃填充,轴承和FDA等级。
原始(未填充)铁氟龙:未填充铁氟龙非常柔软且可成型,通常用于耐化学腐蚀的密封件和垫片。
玻璃填充铁氟龙:玻璃填充的PTFE具有增强的强度和刚度,同时,玻璃填充物在氧化环境中表现良好,改善了PTFE的磨损特性。
碳填充:减少蠕变,增加硬度并提高PTFE的导热性。当与石墨结合使用时,可以进一步提高碳填充化合物的耐磨性。这些化合物非常适合自润滑应用,例如压缩机气缸中的活塞环。此外,石墨赋予PTFE极好的耐磨性,而石墨填充的PTFE的摩擦系数极低。
碳纤维填充:与玻璃纤维不同,碳纤维对氢氟酸和强碱呈惰性。碳纤维PTFE化合物具有较低的热膨胀系数和较高的热导率。这些零件是减震器,水泵等汽车零件的理想选择。
轴承规格铁氟龙:轴承规格具有极低的摩擦力和较高的使用温度。它们通常被指定用于高性能轴承和衬套,特别是在需要耐腐蚀性的化学药品应用中。
青铜填充:青铜填充的PTFE具有很高的导热性和导电性,使得它非常适合在极端温度下承受负载的应用。

PTFE,PEEK,PEK对比
G10/FR4
G10实质上是一种环氧树脂。
只不过,它是玻璃纤维增强的环氧树脂,由连续长丝玻璃布材料和环氧树脂粘合剂组成,通常为淡黄色至浅绿色。
我们知道,环氧树脂是电子领域中用途最广泛的塑料之一,主要是因为其吸水率几乎为零,这使它成为出色的绝缘体。
上次在直线电机中也有提到,它是一种电气级的材料,可以用来做电机线圈基板。
除了其电绝缘性能外,环氧树脂还具有出色的尺寸稳定性(收缩率通常小于1%)和优异的粘合性能。
G10在干燥和潮湿条件下,均具有出色的耐化学性,阻燃性和耐电性能。在高达130°C的温度下,它还具有很高的弯曲,冲击,机械和粘结强度。
所以它非常适用于结构,电子和电气,以及印制板应用。大多数现代电路板,均由环氧/玻璃纤维制成,包括G10/FR4和扩展温度级的G11/FR5等材料。
G10和FR4之间的主要区别在于,FR4是G10的阻燃等级。因此,可以在需要G10的地方安全地替换为FR4,而在需要FR4的地方永远不能替换为G10。
G10特点小结:它具有高强度,出色的尺寸稳定性,杰出的电绝缘性等。
G10的应用包括:设备组件的垫片,护罩,灭弧室,控制面板以及结构支架。它还为电动机,发电机,衬套等提供隔热和电气绝缘。
航空航天工业,重型设备和汽车工业中也大量使用G10。包括框架,制动系统,热绝缘体,以及火箭发动机外壳等。
G11/FR5
G11和G10类似,也是一种热固性工业玻璃纤维复合材料,由浸渍有环氧树脂粘合剂的连续长丝玻璃布材料组成。通常可以通过其自然色来识别,从黄绿色到琥珀色不等。
G11与G10/FR-4相似,但具有更高的工作温度,和更高的高温机械性能,从而具有更好的绝缘性能。
G11还是美国国家电气制造协会NEMA(National Electrical Manufacture Association)指定的复合材料,以控制制造商产品一致性。
正如FR4是G10的阻燃等级,FR5是G11的阻燃等级,所以在指定使用FR5的情况下,不能使用G11。
FR4和FR5是溴化环氧树脂(溴是一种阻燃剂),它们的开发是为了阻止由过热或电弧电气故障引起的潜在火灾隐患,两者主要应用于印刷电路板。
PEK,聚醚酮
聚醚酮(PEK)是一种酮类、半晶态、高性能的工程热塑性塑料。
与传统的PEEK材料相比,在高出接近30˚C的条件下,PEK的力学和物理性能几乎保持不变。

PEEK,PEK,PTFE属性对比
再加上良好的抗蠕变和耐疲劳性能,使其具备了在其他聚合物中所不常见的特性组合。比如,PEK具有高热尺寸稳定性、低可燃性、优异的耐化学性、以及在宽广温度范围内具有优异的机械性能,通常可用于各种高要求应用。
比如,由于PEK在高温条件下仍能保持强度,通常可将其用于会产生震动或循环载荷的应用,以及在高温条件下,必须长时间承受高机械载荷的组件,如航空航天和汽车行业中的齿轮、轴、衬套、轴承、和微型旋转精密零件。
PEK通常也可用作电气连接器的壳体,以减少热膨胀,提供耐化学性,并提高密封效果。
应用示例:LED照明部件,无人机结构,运输机,EPS齿轮,转向柱调节器,信号继电器,内窥镜等。
今天先写到这里吧,塑料内容还没写完一半,因为太长了,我分两篇写。
对了,说好的塑料大全,怎能少了,你可以在我公众号[罗罗日记]后台回复[塑料]或者[塑料大全]领取。
还有,针对某个具体的塑料,你可以在后台回复材料名字,比如回复[PP],[PVC],[G10],[Vespel],[Teflon],[Acetal]等,可以查看相应塑料的属性。
如果本文对你有帮助,记得点个在看哦。
我们下一集见。
相关阅读:
1.结构刚性和误差累积,狠狠地给我上了一课(仅发布在公号)
2.刚度,强度,硬度,韧性有什么区别?机械工程师必须熟知的13大材料性能
3.6061-T6和7075-T651有什么区别?让我们重新认识铝合金
4.用了那么多年,今天才知道什么是不锈钢,内含303,304,316,420,440不锈钢特性
(仅发布在公众号,罗罗日记)
5.什么是奥氏体不锈钢?什么是马氏体不锈钢?两者有什么区别,有哪些应用?
6.奥氏体和马氏体哪个有磁性?奥巴马告诉我的记忆小窍门
(仅发布在公众号,罗罗日记)
参考文档:
1.Engineering Plastics Manual, Ensinger Plastics
2.The Science and Technology For Engineering Plastics, STEER Engineering Pvt.Ltd.
3.High Performance Plastics Materials Guide, Tactical Sealing Technologies, Corp.
4. Machine-Builders-Illustrated-Brochure,CURBELL PLASTICS
5. Engineering Plastics Product Guide,Mitsubishi Chemical Advanced Materials
6. Engineering Plastics Handbook,NTN Engineering Plastics Corp.
7. High-Performance Plastics & Technical Ceramics,PROFESSIONAL PLASTICS , INC.
8. PP Full Line Brochure,PROFESSIONAL PLASTICS , INC.
9. Thermal Properties of Plastic Materials,PROFESSIONAL PLASTICS,INC.
10. Thermal Properties of Plastic Materials,Vanderveer Industrial Plastics
11. An Overview of the Plastic Material Selection Process for Medical Devices, HCL Technologies, Ltd.
12. COMMON INSULATING MATERIALS AVAILABLE FROM PROFESSIONAL PLASTICS, PROFESSIONAL PLASTICS , INC
13. Wiley-VCH Verlag GmbH & Co. KGaA.,Material Properties of Plastics
14. PLASTIC PROPERTY COMPARISON GRAPH ,IAPD THERMOPLASTICS RECTANGLE
15. High-Performance Thermoplastic and Thermoset Materials, PROFESSIONAL PLASTICS,INC
16. Engineering Plastic Products, Quadrant Engineering Plastic Products,Inc.
参考网站:
https://www.aetnaplastics.com
https://www.professionalplastics.com
https://www.curbellplastics.com
https://omnexus.specialchem.com/selection-guides
https://www.eplastics.com
https://www.edplastics.co.uk
https://www.interstateplastics.com/
https:www.vanderveerplastics.com
https://www.copeplastics.com/materials/
https://www.onlineplastics.com/
http://web.rtpcompany.com/info/data/index.htm
https://www.uninko-plastics.com/