用标准缓冲溶液比色法测定生活饮用水及其水源水的ph值,用标准缓冲溶液比色法测定生活饮用水及其水源水的ph值。用本法测定ph可准确到0.1,水样带有颜色、浑浊或含有较多的游离余氯、氧化剂、还原剂时均有干扰。

生活饮用水检测ph值的测定原理
不同的酸碱指示剂在一定的ph范围内显示出不同颜色。在一系列已知ph值的标准缓冲溶液及水样中加入相同的指示剂,显色后比对测得水样的ph值。
生活饮用水检测ph值的测定所需试剂
1)苯二甲酸氢钾溶液:将苯二甲酸氢钾(置于105°C烘箱内干燥2 h,放在硅胶干燥器内冷却30min,称取20.41g溶于纯水中,并定容至1000mL。
2)磷酸二氢钾溶液:将磷酸二氢钾置于105°C烘箱内干燥2h,于硅胶干燥器内冷却30min,称取13.61g溶于纯水中,并定容至1000mL,静置4d后,倾出上层澄清液,贮存于清洁瓶中。所配成的溶液应对甲基红指示剂呈显著红色,对苯酚蓝指示剂呈显著紫蓝色。
3)硼酸-氯化钾混合溶液:将硼酸(用乳钵研碎,放入硅胶干燥器中,24h后取出,称取6.20g;另称取7.456g干燥的氯化钾,一并溶解于纯水中,并定容至1000mL。
注:配制上述缓冲溶液所需的纯水均为新煮沸放冷的蒸馏水
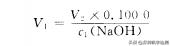
4)氢氧化钠溶液:称取30g氢氧化钠,溶于50mL纯水中,倾入150mL锥形瓶内,冷却后用橡皮塞塞紧,静置4d以上,使碳酸钠沉淀。小心吸取上清液约10mL,用纯水定容至1000mL。此溶液浓度为c=0.1mol/L,其准确浓度用苯二甲酸氢钾标定,方法如下:
将苯二甲酸氢钾置于1O5°C烘箱内烘至恒量,称取0.5 g,精确到0.1 mg,共称3份,分别置于250mL锥形瓶中,加入100mL纯水,使苯二甲酸氢钾完全溶解,然后加入4滴酚猷指示剂,用氢氧化钠溶液滴定至淡红色30s内不褪为止。滴定时应不断振摇,但滴定时间不宜太久,以免空气中二氧化碳进入溶液而引起误差。标定时需同时滴定一份空白溶液,并从滴定苯二甲酸氢钾所用的氢氧化钠溶液毫升数中减去此数值,按以下计算式计算出氢氧化钠原液的准确浓度。

根据氢氧化钠原液的浓度,按以下计算式计算配制。0.1000mol/L的氢氧化钠溶液所需原液体积,并用纯水定容至所需体积。

生活饮用水检测ph值的测分析步骤
1)标准色列的制备
取10.0mL配成的各种标准缓冲溶液,分别置于内径一致的安甑中,向ph4.8-6.4的标准缓冲溶液中各加0.5mL氯酚红指示剂;向ph6.0-7.6标准缓冲液中各加0.5mL漠百里酚蓝指示剂;向ph7.0-8.4标准缓冲液中各加0.5mL酚红指示剂;向ph8.0〜9.6标准缓冲液中各加0.5mL百里酚蓝指示剂。用喷灯迅速封口,然后放入铁丝筐中,将铁丝筐放在沸水浴内消毒30min,每隔24h一次,共消毒三次,置于暗处保存。

2)水样测定
吸取10.0mL澄清水样,置于与标准系列同型的试管中,加入0.5mL指示剂(指示剂种类与标准色列相同),混匀后放入比色架中的5号孔内。另取2支试管,各加入10mL水样,插入1号与3号孔内。再取标准管2支,插入4号及6号孔内。在2号孔内放入1支纯水管。从比色架前面迎光观察,记录与水样相近似的标准管的ph值。