高中数学三角函数知识点比较多,我们来梳理各个知识点,各位拿去不谢。
一 任意角的概念

二 弧度角与应用

三任意角三角函数

(2)三角函数象限

(3)正余切线


三 任意同角公式

四 三角函数诱导公式--奇变偶不变符号看象限

五 :倍角公式

六 和差公式

七 三角函数性质
(一)

(二)对称性

(三)补充

(四)正弦函数图像平移伸缩变换

八 辅助角公式


九 余弦公式

十 正弦公式

十一

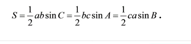
十二 三角形面积公式

基本上总结这么多,知识点太多,如有不当之处欢迎指出,欢迎大家一起讨论。
高中数学三角函数知识点比较多,我们来梳理各个知识点,各位拿去不谢。
一 任意角的概念

二 弧度角与应用

三任意角三角函数

(2)三角函数象限

(3)正余切线


三 任意同角公式

四 三角函数诱导公式--奇变偶不变符号看象限

五 :倍角公式

六 和差公式

七 三角函数性质
(一)

(二)对称性

(三)补充

(四)正弦函数图像平移伸缩变换

八 辅助角公式


九 余弦公式

十 正弦公式

十一

十二 三角形面积公式

基本上总结这么多,知识点太多,如有不当之处欢迎指出,欢迎大家一起讨论。