卫星变轨为什么要绕来绕去,不会直接一次就发射到需要的轨道呢?

在太空动力学, 霍曼转移轨道 (或译为郝曼转移轨道,Hohmann transfer orbit)是一种变换太空船轨道的方法,途中只需两次引擎推进,相对地节省燃料。此种轨道操纵名称来自德国物理学家瓦尔特·霍曼,他于1925年出版了相关著作。
一、简介
下图为将太空船从低轨道(1)送往较高轨道(3)的霍曼转移轨道。太空船在原先轨道(1)上瞬间加速后,进入一个椭圆形的转移轨道(2)。太空船由此椭圆轨道的近拱点开始,抵达远拱点后再瞬间加速,进入另一个圆轨道(3),此即为目标轨道。要注意的是,三个轨道的轨道半长轴是越来越大,因此两次引擎推进皆是加速,总能量增加而进入较高(半长轴较大)的轨道。

反过来,霍曼转移轨道亦可将太空船送往较低的轨道,不过是两次减速而非加速。
霍曼转移轨道的两次加速假设是瞬间完成,但实际上加速要花时间,因此需要额外的燃料来补偿。使用高推力引擎所需额外燃料较小,低推力引擎则还要以控制推进时间、逐渐提高轨道来逼近霍曼转移轨道。因此实际上ΔV会比假设情况更大且花更多时间。二、计算
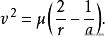
轨道上物体的总能等于动能与重力位能的和,而总能又等于重力位能(轨道半径为轨道半长轴a时的重力位能)的一半:

以速度为未知解方程式,得到轨道能量守衡方程式:

其中,v为物体的速度, μ=GM为中央物体的标准重力参数,r为物体至中央物体中心的距离,a为物体轨道的半长轴。
因此霍曼转移所需的两次ΔV为(假设速度改变是瞬间达成):


r₁,r ₂分别是原本圆轨道与目标圆轨道的半径,其中大的(小的)对应到霍曼转移轨道的远拱点(近拱点)距离。
无论前往较高或较低轨道,根据开普勒第三定律,霍曼转移所花的时间为:

(即椭圆轨道周期的一半),其中 aH是霍曼转移轨道的半长轴。
本文来自百度百科。