
我们认真研究和分析近几年全国各地的中考数学试卷,你会发现,除了一些像函数综合问题等常见问题之外,还隐藏着一些“冷门热点”。
为什么叫“冷门热点”呢?此类问题看上去似乎没有那么重要,但经常又会被命题老师看中,成为考点,如像圆这一块知识是很多考生容易忽视的知识内容,但它仍是全国很多地方中考数学喜欢考查的对象。
对于圆这一块知识内容,在复习期间,我们一定要及时关注直线和圆的位置关系,它是学习圆的重中之重。
一般情况下,中考考查直线和圆的位置关系会包括以下这些知识点:
直线和圆的三种位置关系;
切线的性质和判定;
三角形内切圆;
切线长等相关知识点。
直线和圆有三种位置关系,具体如下:
1.相交:直线和圆有两个公共点时,叫做直线和圆相交,这时直线叫做圆的割线,公共点叫做交点;
2.相切:直线和圆有唯一公共点时,叫做直线和圆相切,这时直线叫做圆的切线;
3.相离:直线和圆没有公共点时,叫做直线和圆相离。

直线和圆的位置关系,讲解分析1:
如图,D为⊙O上一点,点C在直径BA的延长线上,且∠CDA=∠CBD.
(1)求证:CD是⊙O的切线;
(2)过点B作⊙O的切线交CD的延长线于点E,若BC=6,tan∠CDA=2/3,求BE的长.


考点分析:
切线的判定与性质;圆周角定理;相似三角形的判定与性质;计算题。
题干分析:
(1)连OD,OE,根据圆周角定理得到∠ADO+∠1=90°,而∠CDA=∠CBD,∠CBD=∠1,于是∠CDA+∠ADO=90°;
(2)根据切线的性质得到ED=EB,OD⊥BD,则∠ABD=∠OEB,得到tan∠CDA=tan∠OEB=OB/BE=2/3,易证Rt△CDO∽Rt△CBE,得到CD/CB=OD/BE=OB/BE=2/3,求得CD,然后在Rt△CBE中,运用勾股定理可计算出BE的长.
解题反思:
本题考查了切线的判定与性质:过半径的外端点与半径垂直的直线是圆的切线;也考查了圆周角定理的推论以及三角形相似的判定与性质.
设⊙O的半径为r,圆心到直线的距离为d,其中直线与圆相切,除上述d=r的判定外,还有切线的判定定理:经过半径的外端,并且垂直于这条半径的直线是圆的切线。

直线和圆的位置关系,讲解分析2:
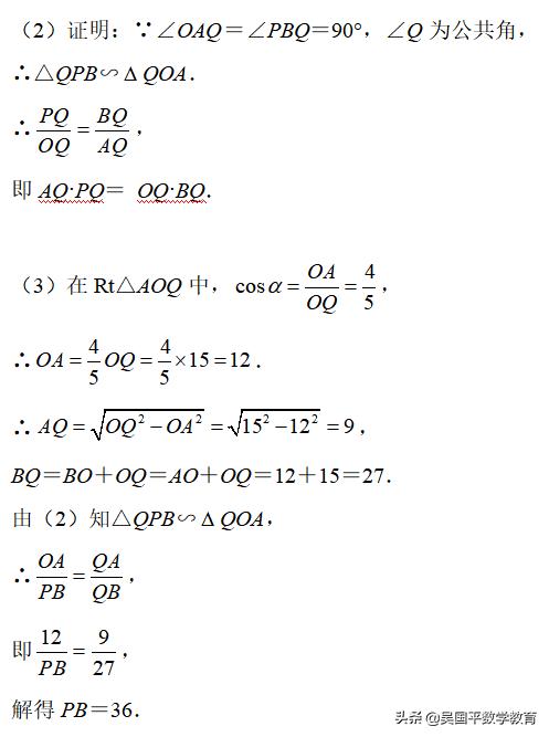
如图所示.P是⊙O外一点.PA是⊙O的切线.A是切点.B是⊙O上一点.且PA=PB,连接AO、BO、AB,并延长BO与切线PA相交于点Q.
(1)求证:PB是⊙O的切线;
(2)求证: AQ·PQ= OQ·BQ;
(3)设∠AOQ=α.若cosα=4/5.OQ= 15.求AB的长



考点分析:
直线与圆的位置关系,切线,切线长,相似,解直角三角形,综合题;圆、相似
题干分析:
(1)要证PB是⊙O的切线,只要证明∠PBO=90°即可,根据已知条件可考虑连接PO,通过证明△APO≌△BPO来说明∠PBO=∠PAO=90°.
(2)要证明AQ·PQ= OQ·BQ,只需证明PQ/OQ=BQ/AQ即可,为此需要证明△QPB∽△QOA.
(3)根据已知条件解Rt△AOQ可得AQ与OA的长,则BQ的长可求,利用(2)中证得的△QPB∽△QOA,根据相似三角形的性质可求得PB的长,利用勾股定理可得PO的长,在Rt△AOB中,利用面积等积式可求得AB的一半的长,则AB的长可知.
解题反思:
(1)要证明一条直线是圆的切线,如果在已知条件中已知直线和圆已有一个公共点,那么常连接这个公共点和圆心(本题中OB已连接),再说明这条半径和直线垂直,简称“连半径证垂直”.
(2)等积式的证明经常需转化成比例式来证明,而证明比例式成立的首选方法是利用相似,根据相似三角形对应边成比例的性质建立比例式.
(3)在直角三角形中,经常利用面积等积式来求有关线段的长.
另外,本题前两问比较简单,易于寻找解题思路,而第(3)问综合性巧强,用到的知识较多,所要求的线段的长较多,许多同学会不能顺利做解。

直线和圆的位置关系,讲解分析3:
如图,⊙O是△ABC的外接圆,AE平分∠BAC交⊙O于点E,交BC于点D,过点E做直线l∥BC.
(1)判断直线l与⊙O的位置关系,并说明理由;
(2)若∠ABC的平分线BF交AD于点F,求证:BE=EF;
(3)在(2)的条件下,若DE=4,DF=3,求AF的长.


考点分析:
圆的综合题.
题干分析:
(1)连接OE、OB、OC.由题意可证明弧BE=弧CE,于是得到∠BOE=∠COE,由等腰三角形三线合一的性质可证明OE⊥BC,于是可证明OE⊥l,故此可证明直线l与⊙O相切;
(2)先由角平分线的定义可知∠ABF=∠CBF,然后再证明∠CBE=∠BAF,于是可得到∠EBF=∠EFB,最后依据等角对等边证明BE=EF即可;
(3)先求得BE的长,然后证明△BED∽△AEB,由相似三角形的性质可求得AE的长,于是可得到AF的长.
解题反思:
本题主要考查的是圆的性质、相似三角形的性质和判定、等腰三角形的性质、三角形外角的性质、切线的判定,证得∠EBF=∠EFB是解题的关键.
学习数学最主要的目的之一就是学会利用相关数学知识,把具体的问题变成数学模型,并对模型求解。如跟圆有关的相关几何综合问题,我们要学会利用性质定理,如直线与圆的位置关系,找到解题的关键,同时要注意数形结合、分类讨论等数学思想方法的运用。