
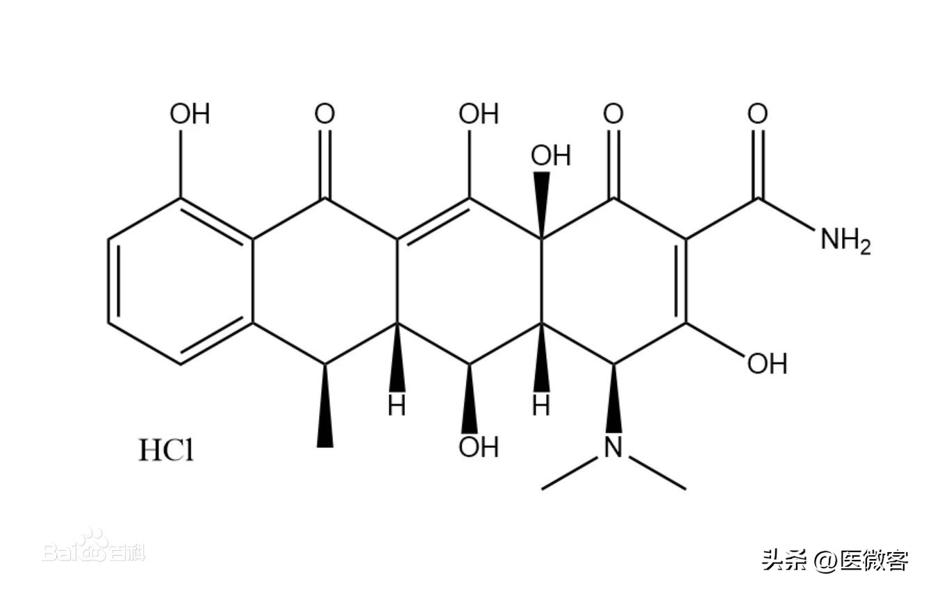
盐酸多西环素,是一种有机化合物,化学式为C22H25ClN2O8,是一种四环素类抗生素,抗菌谱广,对革兰氏阳性球菌和阴性杆菌有效,主要用于呼吸道感染,慢性支气管炎、肺炎和泌尿系统感染等,也可用于斑疹、伤寒、和支原体肺炎。

基于医微客平台自身将近 200 万实名注册会员及一直以来在数字化平台运营的优势、经验,结合数字医药网长期以来在市场调研领域深厚的数据沉淀,分析工具和整套完整的调研统计分析方*论法**,双方将从进一步拓宽医学服务范畴,共同探索“行业分析+科研服务”的新场景、新路径、新空间。
数字医药网专注于生物医药行业情报分析、市场数据挖掘、政策分析和管理咨询的服务机构。主要经营范围涵盖药政监测分析、医药产品和医药行业研究、医药战略 规划、医药企业标杆研究等。自创办至今已为数百家药企提供过医药行业专业咨询服务,完成行 业研究报告上千份。
今天为大家带来的是 盐酸多西环素市场研究报告 ,感兴趣的朋友可以关注医微客公众号添加小编了解详情!
备注: ①内容更新 本报告原则上根据当前内容制定价格,如果按照目录内容更新数据,价格不变;如果增加内容且超出当前目录范围,则报告价格会根据当前内容进行适当上调! ②数据更新 报告数据可更新至2022年年底,大部分数据可更新至2023年第一季度
报告目录
1 盐酸多西环素产品概况
1.1 盐酸多西环素产品简介
1.2 盐酸多西环素生产和研发现状
1.3 盐酸多西环素医保和基药现状
1.4 盐酸多西环素带量采购现状
2 盐酸多西环素市场容量及发展趋势
3 盐酸多西环素终端构成分析
3.1 盐酸多西环素医疗终端销售分析
3.1.1 盐酸多西环素医疗终端销售规模
3.1.2 盐酸多西环素医疗终端厂商竞争格局
3.2 盐酸多西环素基层终端销售分析
3.2.1 盐酸多西环素基层终端销售规模
3.2.2 盐酸多西环素基层终端厂商竞争格局
3.3 盐酸多西环素零售终端销售分析
3.3.1 盐酸多西环素零售终端销售规模
3.3.2 盐酸多西环素零售终端厂商竞争格局
3.4 盐酸多西环素南线上终端销售分析
3.4.1 盐酸多西环素线上终端销售规模
3.4.2 盐酸多西环素线上终端厂商竞争格局
4 盐酸多西环素区域销售分析
4.1 盐酸多西环素主要地区销售分析
4.2 北京地区盐酸多西环素市场销售分析
4.3 上海地区盐酸多西环素市场销售分析
4.4 广州地区盐酸多西环素市场销售分析
4.5 其他主要地区盐酸多西环素市场销售分析
5 盐酸多西环素主要厂商市场销售分析
5.1 盐酸多西环素主要厂商市场构成分析
5.2 永信药品盐酸多西环素肠溶胶囊市场销售分析
5.2.1 永信药品盐酸多西环素肠溶胶囊销售走势分析
5.2.2 永信药品盐酸多西环素肠溶胶囊区域销售分析
5.2.3 永信药品盐酸多西环素肠溶胶囊终端销售构成
5.3 广东健信制药注射用盐酸多西环素市场销售分析
5.3.1 广东健信制药注射用盐酸多西环素销售走势分析
5.3.2 广东健信制药注射用盐酸多西环素区域销售分析
5.3.3 广东健信制药注射用盐酸多西环素终端销售分析
5.4 海口奇力制药注射用盐酸多西环素市场销售分析
5.4.1 海口奇力制药注射用盐酸多西环素销售走势分析
5.4.2 海口奇力制药注射用盐酸多西环素区域销售分析
5.4.3 海口奇力制药注射用盐酸多西环素终端销售构成
5.5 海南通用康力制药注射用盐酸多西环素市场销售分析
5.5.1 海南通用康力制药注射用盐酸多西环素销售走势分析
5.5.2 海南通用康力制药注射用盐酸多西环素区域销售分析
5.5.3 海南通用康力制药注射用盐酸多西环素终端销售构成
5.6 富祥(大连)制药盐酸多西环素分散片市场销售分析
5.6.1 富祥(大连)制药盐酸多西环素分散片销售走势分析
5.6.2 富祥(大连)制药盐酸多西环素分散片区域销售分析
5.6.3 富祥(大连)制药盐酸多西环素分散片终端销售构成
5.7 广州伯尼药业盐酸多西环素胶囊市场销售分析
5.7.1 广州伯尼药业盐酸多西环素胶囊销售走势分析
5.7.2 广州伯尼药业盐酸多西环素胶囊区域销售分析
5.7.3 广州伯尼药业盐酸多西环素胶囊终端销售构成
5.8 开封制药盐酸多西环素片市场销售分析
5.8.1 开封制药盐酸多西环素片销售走势分析
5.8.2 开封制药盐酸多西环素片区域销售分析
5.8.3 开封制药盐酸多西环素片终端销售构成
5.9 江苏联环药业盐酸多西环素片市场销售分析
5.9.1 江苏联环药业盐酸多西环素片销售走势分析
5.9.2 江苏联环药业盐酸多西环素片区域销售分析
5.9.3 江苏联环药业盐酸多西环素片终端销售构成
5.10 广东华南药业盐酸多西环素片市场销售分析
5.10.1 广东华南药业盐酸多西环素片销售走势分析
5.10.2 广东华南药业盐酸多西环素片区域销售分析
5.10.3 广东华南药业盐酸多西环素片终端销售构成
5.11 陕西西岳制药盐酸多西环素片市场销售分析
5.11.1 陕西西岳制药盐酸多西环素片销售走势分析
5.11.2 陕西西岳制药盐酸多西环素片区域销售分析
5.11.3 陕西西岳制药盐酸多西环素片终端销售构成
5.12 河北东风药业盐酸多西环素片市场销售分析
5.12.1 河北东风药业盐酸多西环素片销售走势分析
5.12.2 河北东风药业盐酸多西环素片区域销售分析
5.12.3 河北东风药业盐酸多西环素片终端销售构成
5.13 特一药业盐酸多西环素片市场销售分析
5.13.1 特一药业盐酸多西环素片销售走势分析
5.13.2 特一药业盐酸多西环素片区域销售分析
5.13.3 特一药业盐酸多西环素片终端销售构成
5.14 江苏瑞年前进制药盐酸多西环素片市场销售分析
5.14.1 江苏瑞年前进制药盐酸多西环素片销售走势分析
5.14.2 江苏瑞年前进制药盐酸多西环素片区域销售分析
5.14.3 江苏瑞年前进制药盐酸多西环素片终端销售构成
5.15 湖南湘雅制药盐酸多西环素胶囊市场销售分析
5.15.1 湖南湘雅制药盐酸多西环素胶囊销售走势分析
5.15.2 湖南湘雅制药盐酸多西环素胶囊区域销售分析
5.15.3 湖南湘雅制药盐酸多西环素胶囊终端销售构成
6 全文总结
备注:本报告可做定制化更新
