早慧勤思的哈密尔顿
爱尔兰数学家哈密尔顿探求一个有别于实数、复数的新数系,已有十多年了。父母双亲对他虽寄以同情,但感到失望。可他的两个黄发蓝睛的孩子却对他充满了希望,每到餐桌就餐时,就会天真地询问:“爸爸,你能让新数相乘吗?”这时,他只好沮丧地回答说:“我只会相加相减。”探求新数系的课题,真能难住这位早慧而勤思的哈密尔顿先生吗?

图1 哈密尔顿
哈密尔顿(1805一1865)生于爱尔兰的都柏林。3岁识字,5岁到14岁学会了拉丁、希腊等八种语言。12岁就读完了拉丁文的欧几里得的《几何原本》。13岁到17岁钻研了牛顿和拉普拉斯的著作。16岁就发表论文订正了拉普拉斯的名著《天体力学》中的一个证明错误。18岁考入大学,22岁就成为大学教授。他不仅是位数学家,还是一位杰出的物理学家,而且爱好哲学和文学。
踩着复数的肩膀前进

图2 高斯
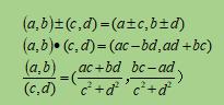
1830年高斯详细地论述了用直角坐标系的复平面上的点代表复数a+bi的方法,使复数得到了清晰直观的表示。为了寻找它,数学家长途跋涉了二百多年,到此才算喘了一口气。可是,哈密尔顿不满足于复数的直观表示;他比较、思考,把注意力盯在复数运算的逻辑关系及抽象实质上。1837年,他发表文章指出复数a+bi并不是a再加上bi,在这里,“+”是有特殊意义的。就其实质说来,复数a+bi是建立在实数基础上的有序的“数对”,即序偶(a,b)。于是哈密尔顿把复数a+bi与c+di的运算用序偶重新给出定义:

通常的结合律、交换律、分配律,都能在此基础上推导出来。
平面上的向量,可以表示既有大小又有方向的量(如力、速度、加速度等)。复数可以和平面向量建立起一一对应关系,于是,复数在物理学上得到广泛应用。哈密尔顿想,能不能仿照已建立起来的复数系,找到三维复数,用以表示空间向量呢?他终于发现,在实数系基础上建立起来的,且有实数和复数各种性质的,没有三维复数,而只有四维复数即“四元数”,这个超复数系是不具备乘法的交换律的。
诞生在布洛翰桥上
到1843年,正是哈密尔顿为探求四元数度过的第十五个春秋。10月16日黄昏,他和妻子沿着都柏林皇家运河散步。清凉的金风驱散了一日的疲劳,思维海洋的水面上静谧得没有一丝波澜。谁知潜在深层的大脑细胞仍然默默地活动着。突然,哈密尔顿的思维激起了波涛,悟解到“三度空间内的几何运算,所要叙述的不是三元,而是四元”。据他后来追忆,当时“我感到思想的电路接通了,而从中落下的火花就是i,j,k之间的基本方程;恰恰就是我以后使用它们的那个样子。我当场抽出笔记本,就将这些做了记录。”这个四元数的形


图3 爱尔兰的都柏林
哈密尔顿追求了十五年的宠儿在头脑中孕育成熟了,降生在布洛翰桥上,使他惊喜若狂。据说,哈密尔顿当即把他的发现刻写在桥头的一块石碑上。
1843年年末的一天,哈密尔顿在爱尔兰科学院宣布自己找到了“四元数”。消息一传出,轰动了都柏林。当时上流社会附庸风雅的老爷、太太们,茶余饭后也侈谈着“四元数”,以此为荣。其实,他们并不懂“四元数”,只不过当作海外奇谈而已。是呀,一个数要由四个

(1824-1907,即凯尔文勋爵)所说:“哈密尔顿做了确实非常出色的工作,从而诞生了四元数;虽然美妙而富有创造性,但对于以任何方式接触过它的人说来,这实在是个纯粹的邪念。”那时,常常有人在街头拉住哈密尔顿,请他讲讲“四元数”到底是怎么回事。哈密尔顿怎么能给这些人讲清楚呢,只好无可奈何地耸耸肩头。哈密尔顿曾写过一首诙谐的诗《致一位夫人的信》描述“四元数”。他说“四元数”就象弥尔顿的名著《失乐园》中亚当的祈祷:“大气和你的诸元素,大自然胎里孕育成,以其四种元素(水、火、土、气)相混合,循环造化无穷。”这当然是哈密尔顿在开“夫人”的玩笑。

图4 四元数
哈密尔顿晚年竭尽心力研究“四元数”,1857年发表了《四元数讲义》。逝世后的第二年,即1866年出版了《四元数原理》。
与复数何其相似

具体说,b、c、d是点P在笛卡儿直角坐标系中的三个坐标;i、j、k是定性的单元,即三个坐标轴上的单位向量,类似于复数的虚数单位。有序的四数组(1,i,j,k)显然是四元数的一组基底。
两个四元数相等的条件是:实数部分与向量部分的系数分别对应相等。例如

四元数的加减法,和一般复数的加减法相同:


图5 ijk的计算
有趣的是四元数的乘法和除法。四元数的乘法,无交换律而具备下列规则:

可利用图5记住这个乘法的基本口诀:顺时针相乘时,前两者之积正等于第三者;反时针时,再增加一个负号。
现在看一下在此基础上的两四元数的乘法公式:



四元数的功绩
四元数的研究,有力地推动了向量代数的发展。复数理论可以用来解决平面上的向量,而不能解决空间向量问题。四元数包括实数部分和向量部分,人们把四元数分解开来,用向

乘,就是两个实数部分皆为0的四元数相乘:


哈密尔顿还把四元数引入微积分的领域,定义了描述函数的数量与方向等方面变化关系的概念“梯度”、“散度”、“旋度”、“聚度”。这是研究多元函数极为重要的基本概念,是研究物理学、工程学的重要计算工具。

图6 麦克斯韦
英国著名的物理学家麦克斯韦是哈密尔顿的学生。他在掌握了四元数理论后,利用向量分析等数学理论建立起著称于世的电磁理论。
作为四元数在力学上成功应用的一个例子,就是著名的“有限角相加”问题:一个刚体

一下子到达方才的最终位置,需要绕怎样的轴旋转怎样一个角度呢?这个问题可利用四元数

元数相乘。“有限角相加”问题,是哈密尔顿研究四元数的动机之一。这个问题,十八世纪数学家欧拉曾经利用解析几何予以解决。但利用四元数解起来比较简洁易懂,显示出四元数理论的优越性。

图7 旋转
四元数的功绩,还在于它打开了人们长期囿于复数域的视野,启迪着人们规定了多种多样的超复数。正如微积分使常量数学转入变量数学,四元数的发现引导初等代数向着抽象的高等代数发展,把研究对象由实数拓展到将实数、复数囊括在内的更加抽象的多元数。近年来,四元数在数论的研究中也得到了重要的应用。
哈密尔顿在布洛翰桥头石碑上刻下的字痕,早已风化消失,荡然无存了。后人为了纪念他的功绩,在那里为他重新建树了纪念碑。1943年,即四元数的百年诞辰,爱尔兰共和国为了缅怀这位可尊敬的数学家和物理学家,发行了纪念他的邮票。