爱因斯坦相对论光速的90%时间变慢 (爱因斯坦相对论引力大时间变慢)

如果一个人以光速飞行10秒钟后再回到地球,他还能见到家人吗?要讨论这个问题,我们需要先来简单了解一下时间与速度的关系。早在1905年,著名物理学家爱因斯坦就在狭义相对论中指出,时间的流逝速度与物体的运动速度密切相关,对于同一个物体而言,它运动的速度越快,经历的时间就越短,这被称为“钟慢效应”。

揭秘爱因斯坦三大预言到底是什么,爱因斯坦相对论时间变慢怎么解决

由于在低速情况下“钟慢效应”所造成时间变化值非常小,以当时的科技水平根本无法测量,因此该理论迟迟无法从实验中得到验证。直到高精度的原子钟的出现,才为验证“钟慢效应”提供了必要的条件,1971年,物理学家理查德.基廷和乔.哈夫勒通过“原子钟飞行实验”(把多个原子钟分别放置在地面以及环绕地球飞行的飞机上,在飞行结束后,对比不同原子钟的读数)首次证实了“钟慢效应”的真实存在,在随后的日子里,该实验经过了多次重复验证,最终得到了科学界的认同。

揭秘爱因斯坦三大预言到底是什么,爱因斯坦相对论时间变慢怎么解决

除此之外,科学家还观测到的一种自然现象也可以当作“钟慢效应”的证据,来自宇宙的高能射线常常会与地球的高层大气作用产生一种名为μ子的粒子,这种粒子是一种非常不稳定的亚原子粒子,其平均寿命仅为2.2微秒,因此它们根本不可能穿过高度超过100公里大气层来到地面,但实际上在地面上却可以探测到很多的μ子。科学家认为,这些μ子之所以能够来到地面,正是因为其高速运动(大约是0.98倍光速)引发的“钟慢效应”所造成的。

事实证明,在100多年前爱因斯坦就准确预言了时间可以变慢,那么他是怎么知道的呢?

自从1887年的“迈克尔逊-莫雷实验”以后,科学家们就逐渐意识到了一个事实,即在同一介质中,光速永远都是一个常数,它不会因为任何参考系的相对运动而改变,而爱因斯坦的相关理论,正是建立在“光速不变原理”的基础上。

揭秘爱因斯坦三大预言到底是什么,爱因斯坦相对论时间变慢怎么解决

为了说明这个问题,我们不妨来做一个思想实验。首先我们需要两个利用光子来计时的光子钟,其计时原理就是通过测量光子在两面互相平行的镜子之间垂直反射的过程来定义时间,定义方式为:时间等于距离除以光速,比如说我们把这两面镜子之间的间隔设计为 0.5 米,那么光子在完成一次上下运动的时间就为 1/c 秒(注:这里的c为光速常量,即299792458米/秒)。

现在我们把一个光子钟放在地面上,并将其称为“光子钟1号”,另一个则放在一艘相对于地球高速运动的宇宙飞船上,并将其称为“光子钟2号”。我们可以得出,在宇宙飞船上的人看来,“光子钟2号”里的光子只是在做上下的垂直运动,但如果以地球作为参照物,那么“光子钟2号”里的光子除了在做上下的垂直运动以外,还会随着宇宙飞船的运动方向有一个额外的运动(如下图所示)。

揭秘爱因斯坦三大预言到底是什么,爱因斯坦相对论时间变慢怎么解决

也就是说从地球上来看,“光子钟2号”里的光子做上下运动的距离增加了,在这种情况下,如果“光子钟2号”里的光子能够叠加宇宙飞船的速度,那么一切都不会改变,但是由于“光速不变原理”,宇宙飞船里的光子并不会叠加宇宙飞船的速度,于是时间变慢的现象就发生了。

具体表现为,在宇宙飞船上的人看来,“光子钟2号”里的光子完成一次上下运动的时间依然是 1/c 秒,而在地球上看来,“光子钟2号”里的光子完成一次上下运动的时间就变成了 1/(c+v)秒(注:这里的v代表宇宙飞船的速度),很明显,与“光子钟1号”所显示的时间相比,“光子钟2号”的时间就变慢了。

揭秘爱因斯坦三大预言到底是什么,爱因斯坦相对论时间变慢怎么解决

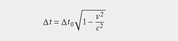
根据勾股定律,我们就可以推导出以下的时间变化公式,这就是爱因斯坦所提出的狭义相对论中“钟慢效应”的公式(其中t0为原有时间,v为物体相对于观察者的速度,c为光速)。

揭秘爱因斯坦三大预言到底是什么,爱因斯坦相对论时间变慢怎么解决

有了以上的知识,我们就可以讨论“如果一个人以光速飞行10秒钟后再回到地球,他还能见到家人吗?”这个问题了,聪明的你一定可以看出,根本不用仔细计算我们就可以得出,当上面公式中的v等于光速c的时候,得出的结果就等于零。

揭秘爱因斯坦三大预言到底是什么,爱因斯坦相对论时间变慢怎么解决

这就意味着,不管这个人以光速飞行10秒还是飞行1年,当这个人的速度达到光速的那一瞬间,他的时间相对于地球上的人而言就停止了,在这一瞬间他就变成了永恒,从此再也见不到家人了。

需要指出的是,虽然这个通过“钟慢效应”公式推出的结果是非常令人吃惊的,但是由于在相对论的框架里,由于“质增效应”的存在,对于任何有质量的物体,我们都只能将其加速到无限接近光速,却不能让它们达到光速,更不可能超过光速,所以这样的事情并不会在现实中发生。

好了,今天我们就先讲到这里,欢迎大家关注我们,我们下次再见`

(本文部分图片来自网络,如有侵权请与作者联系删除)