麦克斯韦方程组(英语:Maxwell's equations),是英国物理学家詹姆斯·克拉克·麦克斯韦在19世纪建立的一组描述电场、磁场与电荷密度、电流密度之间关系的偏微分方程。
从麦克斯韦方程组,可以推论出电磁波在真空中以光速传播,并进而做出光是电磁波的猜想。麦克斯韦方程组和洛伦兹力方程是经典电磁学的基础方程。从这些基础方程的相关理论,发展出现代的电力科技与电子科技。
麦克斯韦诞生前的半个多世纪,人类对电磁现象的认识取得了很大的进展。1785年,法国物理学家C. A.库仑(Charles A. Coulomb)在扭秤实验结果的基础上,建立了说明两个点电荷之间相互作用力的库仑定律。1820年,H. C.奥斯特 (Hans Christian Oersted)发现电流能使磁针偏转,从而把电与磁联系起来。其后,A. M.安培(Andre Marie Ampère)研究了电流之间的相互作用力,提出了许多重要概念和安培环路定律。M.法拉第(Michael Faraday)在很多方面有杰出贡献,特别是1831年发表的电磁感应定律,是电机、变压器等设备的重要理论基础。
1845年,关于电磁现象的三个最基本的实验定律:库仑定律(1785年)、毕奥-萨伐尔定律(1820年)、法拉第电磁感应定律(1831 ~ 1845年)已被总结出来,法拉第的“电力线”和“磁力线”(现在也叫做“电场线”与“磁感线”)概念已发展成“电磁场概念”。1855年至1865年,麦克斯韦在全面地审视了库仑定律、毕奥—萨伐尔定律和法拉第定律的基础上,把数学分析方法带进了电磁学的研究领域,由此导致麦克斯韦电磁理论的诞生。
在麦克斯韦之前,关于电磁现象的学说都以超距作用观念为基础,认为带电体、磁化体或载流导体之间的相互作用,都是可以超越中间媒质而直接进行并立即完成的,即认为电磁扰动的传播速度无限大。在那个时期,持不同意见的只有法拉第。他认为上述这些相互作用与中间媒质有关,是通过中间媒质的传递而进行的,即主张间递学说。
麦克斯韦继承了法拉第的观点,参照流体力学的模型,应用严谨的数学形式总结了前人的工作,提出了位移电流的假说,推广了电流的涵义,将电磁场基本定律归结为四个微分方程,这就是著名的麦克斯韦方程组。他对这组方程进行了分析,预见到电磁波的存在,并断定,电磁波的传播速度为有限值(与光速接近),且光也是某种频率的电磁波。上述这些,他都写入题为《论电与磁》的论文中。
1887年,H. R.赫兹(Heinrich R. Hertz) 用实验方法产生和检测到了电磁波,证实了麦克斯韦的预见。1905~1915年间,A.爱因斯坦(Albert Einstein)的相对论进一步论证了时间、空间、质量、能量和运动之间的关系,说明电磁场就是物质的一种形式,间递学说得到了公认。
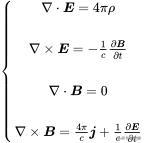
麦克斯韦方程组乃是由四个方程共同组成的:
- 高斯定律:
- 该定律描述电场与空间中电荷分布的关系。电场线开始于正电荷,终止于负电荷(或无穷远)。计算穿过某给定闭曲面的电场线数量,即其电通量,可以得知包含在这闭曲面内的总电荷。更详细地说,这定律描述穿过任意闭曲面的电通量与这闭曲面内的电荷之间的关系。
- 高斯磁定律:
- 该定律表明,磁单极子实际上并不存在。所以,没有孤立磁荷,磁场线没有初始点,也没有终止点。磁场线会形成循环或延伸至无穷远。换句话说,进入任何区域的磁场线,必需从那区域离开。以术语来说,通过任意闭曲面的磁通量等于零,或者,磁场是一个无源场。
- 法拉第感应定律 :
- 该定律描述时变磁场怎样感应出电场。电磁感应是制造许多发电机的理论基础。例如,一块旋转的条形磁铁会产生时变磁场,这又接下来会生成电场,使得邻近的闭合电路因而感应出电流。
- 麦克斯韦-安培定律:
- 该定律阐明,磁场可以用两种方法生成:一种是靠传导电流(原本的安培定律),另一种是靠时变电场,或称位移电流(麦克斯韦修正项)。
在电磁学里,麦克斯韦修正项意味着时变电场可以生成磁场,而由于法拉第感应定律,时变磁场又可以生成电场。这样,两个方程在理论上允许自我维持的电磁波传播于空间。
麦克斯韦电磁场理论的要点可以归结为:
①几分立的带电体或电流,它们之间的一切电的及磁的作用都是通过它们之间的中间区域传递的,不论中间区域是真空还是实体物质。
②电能或磁能不仅存在于带电体、磁化体或带电流物体中,其大部分分布在周围的电磁场中。
③导体构成的电路若有中断处,电路中的传导电流将由电介质中的位移电流补偿贯通,即全电流连续。且位移电流与其所产生的磁场的关系与传导电流的相同。
④磁通量既无始点又无终点,即不存在磁荷。
⑤光波也是电磁波。
麦克斯韦方程组有两种表达方式。
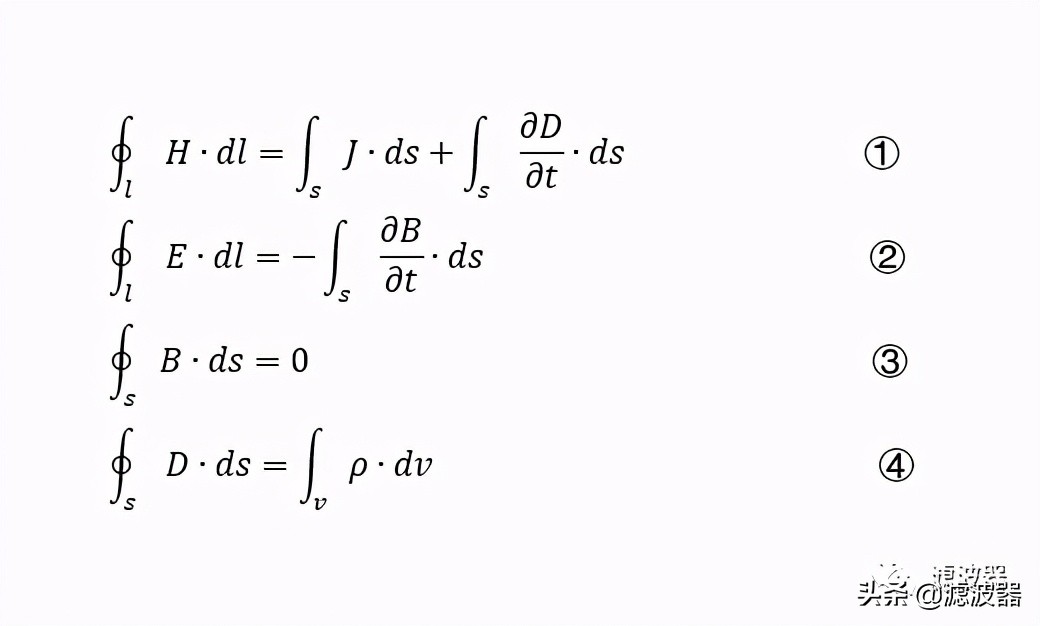
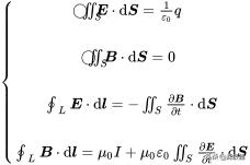
1. 积分形式的麦克斯韦方程组是描述电磁场在某一体积或某一面积内的数学模型。表达式为:

式①是由安培环路定律推广而得的全电流定律,其含义是:磁场强度H沿任意闭合曲线的线积分,等于穿过此曲线限定面积的全电流。等号右边第一项是传导电流.第二项是位移电流。式②是法拉第电磁感应定律的表达式,它说明电场强度E沿任意闭合曲线的线积分等于穿过由该曲线所限定面积的磁通对时间的变化率的负值。这里提到的闭合曲线,并不一定要由导体构成,它可以是介质回路,甚至只是任意一个闭合轮廓。式③表示磁通连续性原理,说明对于任意一个闭合曲面,有多少磁通进入曲面就有同样数量的磁通离开。即B线是既无始端又无终端的;同时也说明并不存在与电荷相对应的磁荷。式④是高斯定律的表达式,说明在时变的条件下,从任意一个闭合曲面出来的D的净通量,应等于该闭曲面所包围的体积内全部自由电荷之总和。
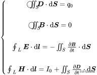
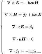
2. 微分形式的麦克斯韦方程组。微分形式的麦克斯韦方程是对场中每一点而言的。应用del算子,可以把它们写成

式⑤是全电流定律的微分形式,它说明磁场强度H的旋度等于该点的全电流密度(传导电流密度J与位移电流密度

之和),即磁场的漩涡源是全电流密度,位移电流与传导电流一样都能产生磁场。式⑥是法拉第电磁感应定律的微分形式,说明电场强度E的旋度等于该点磁通密度B的时间变化率的负值,即电场的涡旋源是磁通密度的时间变化率。式⑦是磁通连续性原理的微分形式,说明磁通密度B的散度恒等于零,即B线是无始无终的。也就是说不存在与电荷对应的磁荷。式⑧是静电场高斯定律的推广,即在时变条件下,电位移D的散度仍等于该点的自由电荷体密度。
除了上述四个方程外,还需要有媒质的本构关系式

才能最终解决场量的求解问题。式中ε是媒质的介电常数,μ是媒质的磁导率,σ是媒质的电导率。
表达形式
编辑
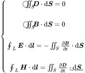
积分形式
麦克斯韦方程组的积分形式如下:

这是1873年前后,麦克斯韦提出的表述电磁场普遍规律的四个方程。其中:
(1)描述了电场的性质。在一般情况下,电场可以是自由电荷的电场也可以是变化磁场激发的感应电场,而感应电场是涡旋场,它的电位移线是闭合的,对封闭曲面的通量无贡献。
(2)描述了磁场的性质。磁场可以由传导电流激发,也可以由变化电场的位移电流所激发,它们的磁场都是涡旋场,磁感应线都是闭合线,对封闭曲面的通量无贡献。
(3)描述了变化的磁场激发电场的规律。
(4)描述了传导电流和变化的电场激发磁场的规律。
稳恒场中的形式
当

时,方程组就还原为静电场和稳恒磁场的方程:

无场源自由空间中的形式
当

,方程组就成为如下形式:

麦克斯韦方程组的积分形式反映了空间某区域的电磁场量(D、E、B、H)和场源(电荷q、电流I)之间的关系。
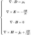
微分形式
在电磁场的实际应用中,经常要知道空间逐点的电磁场量和电荷、电流之间的关系。从数学形式上,就是将麦克斯韦方程组的积分形式化为微分形式。倒三角形为哈密顿算子。

注意:
(1) 在不同的惯性参照系中,麦克斯韦方程组有同样的形式。
(2) 应用麦克斯韦方程组解决实际问题,还要考虑介质对电磁场的影响。例如在均匀各向同性介质中,电磁场量与介质特性量有下列关系:

在非均匀介质中,还要考虑电磁场量在界面上的边值关系。在利用t=0时场量的初值条件,原则上可以求出任一时刻空间任一点的电磁场,即E(x, y, z, t)和B(x, y, z, t)。
下面是高斯单位制下的麦克斯韦方程组

物性方程
当有介质存在时,由于电场和磁场与介质的相互影响,使电磁场量与介质的特性有关,因此上述麦克斯韦方程组在这时还不是完备的,还需要再补充描述介质(各向同性介质)性质的物性方程,分别为



式中,ε、μ和σ分别是介质的绝对介电常数、绝对磁导率和导体的电导率。
进一步的理论证明麦克斯韦方程组式与物性方程式一起对于决定电磁场的变化来说是一组完备的方程式。这就是说,当电荷、电流给定时,从上述方程根据初始条件(以及必要的边界条件)就可以完全决定电磁场的变化。当然,如果要讨论电磁场对带电粒子的作用以及带电粒子在电磁场中的运动,还需要洛伦兹力公式。 [2]

复数形式
对于正弦时变场,可以使用复矢量将电磁场定律表示为复数形式。

在复数形式的电磁场定律中,由于复数场量和源量都只是空间位置的函数,在求解时,不必再考虑它们与时间的依赖关系。因此,对讨论正弦时变场来说面采用复数形式的电磁场定律是较为方便的。
注记
采用不同的单位制,麦克斯韦方程组的形式会稍微有所改变,大致形式仍旧相同,只是不同的常数会出现在方程内部不同位置。
国际单位制是最常使用的单位制,整个工程学领域都采用这种单位制,大多数化学家也都使用这种单位制,大学物理教科书几乎都采用这种单位制。其它常用的单位制有高斯单位制、洛伦兹-赫维赛德单位制(Lorentz-Heaviside units)和普朗克单位制。由厘米-克-秒制衍生的高斯单位制,比较适合于教学用途,能够使得方程看起来更简单、更易懂。洛伦兹-赫维赛德单位制也是衍生于厘米-克-秒制,主要用于粒子物理学;普朗克单位制是一种自然单位制,其单位都是根据自然的性质定义,不是由人为设定。普朗克单位制是研究理论物理学非常有用的工具,能够给出很大的启示。在本页里,除非特别说明,所有方程都采用国际单位制。
这里展示出麦克斯韦方程组的两种等价表述。第一种表述如下:

这种表述将自由电荷和束缚电荷总和为高斯定律所需要的总电荷,又将自由电流、束缚电流和电极化电流总合为麦克斯韦-安培定律内的总电流。这种表述采用比较基础、微观的观点。这种表述可以应用于计算在真空里有限源电荷与源电流所产生的电场与磁场。但是,对于物质内部超多的电子与原子核,实际而言,无法一一纳入计算。事实上,经典电磁学也不需要这么精确的答案。
第二种表述见前所述“积分形式”中的“一般形式”。它以自由电荷和自由电流为源头,而不直接计算出现于电介质的束缚电荷和出现于磁化物质的束缚电流和电极化电流所给出的贡献。由于在一般实际状况,能够直接控制的参数是自由电荷和自由电流,而束缚电荷、束缚电流和电极化电流是物质经过极化后产生的现象,采用这种表述会使得在介电质或磁化物质内各种物理计算更加简易。
表面上看,麦克斯韦方程组似乎是超定的(overdetermined)方程组,它只有六个未知量(矢量电场、磁场各拥有三个未知量,电流与电荷不是未知量,而是自由设定并符合电荷守恒的物理量),但却有八个方程(两个高斯定律共有两个方程,法拉第定律与安培定律是矢量式,各含有三个方程)。这状况与麦克斯韦方程组的某种有限重复性有关。从理论可以推导出,任何满足法拉第定律与安培定律的系统必定满足两个高斯定律。 [3]
另一方面,麦克斯韦方程组又是不封闭的。只有给定了电磁介质的特性,此方程组才能得到定解。