我的A7R4入手已有一段时间,不过一开始也没打算做循规蹈矩的测试,主要还是想就几个关键的问题点来进行测试和说明,所以这不是一篇传统的评测文,且稍有一点深度,阅前望知悉。

第一部分:16帧像素偏移
这是A7R4的新功能,当然,奥林巴斯、哈苏等都用过类似的技术。简单来说,16帧的实现方式就是以3次0.5个像素位移为基础,再分别做4次传统的4帧像素偏移增强单个采用点的色度采样,因此总计有16帧图像。每个0.5像素位移的意义就是增加采样点,3次0.5像素位移就是增加了3个采样点,也就是1个像素变成了4个像素,使输出分辨率从6100万变成了2.44亿。
那么这个堆栈得到的高像素是否有意义?需要简单从成像的流程来说起。一个点光源通过一个无像差的理想镜头所形成的像的点扩散函数就是理想的衍射艾里斑,2个刚好可独立分辨的艾里斑之间的距离,等于中心波峰与第一暗环的距离,在非相干光源的情况下,这个距离等于1.22λF,也即1.22与波长、F制光圈的乘积,这就是经镜头传递后的最小可分辨距离,也即下图b,可理解图像函数的最高频率。

在这里设波长为0.55微米、F值为1.4可得0.94微米,根据奈奎斯特采样定律,以超过函数最高频率2倍的采样率来获取样本,连续带限函数就可以从样本集得以恢复,也就是说,要完整采样2个间距0.94微米的艾里斑,就需要采样单位,也就是像素间距至少要0.94/2=0.47微米才能满足奈奎斯特采样定律的要求,若无法达到,图像采样就会出现混淆,表现形式就是摩尔纹、伪色、模糊等等(事实上很多时候奈奎斯特采样频率也并不够用)。
而且采样像素基本都是方形结构,对圆形艾里斑的采样也会造成影响,所以需要更进一步提高采样率,而这也是像素越多越好的理论根据,当然,如果将像差考虑进去,采样像素可以做得远比理想值更大。而传感器模拟电路的进步是相对缓慢的,达不到采样频率要求时怎么办?这时候就需要在传感器前方加入低通滤镜,它的作用就是把1个艾里斑横向、纵向各切一刀变成4个,变相增大了艾里斑的面积,从而降低对采样率的要求,所以,低像素密度时代的传感器往往都会带低通,它的目的是减少混淆,但相应的缺点就是降低分辨率。
这时候再回头看A7R4的16帧像素偏移,3.76微米小像素使得它有资格摘掉低通滤镜,并且通过摇摇乐让等效像素密度增大,也就是增加了对同一个空间的采样率。

先看上图,以6100万100%缩放为基准,可以明显看到右侧的单帧图像无法准确还原规律排布的高频印刷底纹而出现了混淆,左侧2.4亿采样缩放后的图像则没有这个问题。

而如果以2.4亿100%缩放为基础,右侧就是6100万强制放大,可以看到混淆图案也被放大(注意那不是真实的细节),解析力明显下降,而左图甚至可以清晰分辨印刷底纹并反馈细节(建议点开原图查看)。
所以总结:毫无疑问,16帧像素偏移会直接增强图像品质,哪怕是搭配一颗性能比较一般的镜头,2.4亿像素缩放回6100万相当于散粒信噪比提升了6dB,而且还是在不需要缩小像素,也就是保证单像素信噪比和低照度灵敏度阈值的情况下实现的,因此基本可以近似理解为这是一个4块6100万像素全画幅传感器拼在一起输出的图像,缩放后也可以粗暴理解为一个6100万16bit的输出。
即便是极限ISO下,A7R4的像素偏移也依然有意义,这里借一张DPreview的对比图:

当然,DPreview的对比也常常有问题,比如曝光参数不一致,同卡口非同一颗镜头(比如A7R4用的85GM而A7R3用的85mm F1.8)、有的有后期有的又没后期,这也是数据库历史太长太庞大的烦恼之一……但倾向性是不会错的,像素偏移下即便是ISO 102400也能有效地提升信噪比。
但16帧像素偏移模式也显然有非常多的先天限制,比如只能拍完全静止的物体,遵循完整模拟-数字采样求高分辨率的设计就基本上意味着告别*力暴**算法补偿了,16帧6100万14bit RAW的运算量也不是一般ISP能高效吃得下来的,所以A7R4的摇摇乐只能输出到PC端合成,并且文件体积非常巨大,单帧117MB左右,合成后的ARQ文件也正好是16帧总计的约1.82GB,JPG也轻松超230MB,16bit TIF输出则是1.3GB以上,当然,这个尺寸对商业应用来说还算可以接受。
除此之外,16帧摇摇乐合成只能用索尼自己的软件套装才能完整操作,并且对处理器、内存和SSD的性能要求很高,基本要按分钟为单位来计算,所以相对原生2.4亿像素来说,这是一个限制条件非常大的“曲线救国”策略,而且这还是在A7R4还没有开放原生16bit ADC的前提下,可以说是既让人期待,又让人剁手剁得生疼。

第二部分:动态范围和高感光度
高分辨率再加上全画幅相对轻便的身形都意味着A7R4的主题定位必然包含风光,而风光对性能的考验点则主要是动态范围,工程学上的电荷域动态范围就是log2(最大不饱和信号/最小可分辨信号),所以满阱电荷数越大,像素动态范围就越容易做大,A7R4在1倍增益的情况下满阱接近50ke-,3.76微米像素做到这个水准还是很强的,凸显了背照式工艺在像素较小情况下的意义。作为对比,单位像素宽度19微米的佳能35MMFHDXS系列在相同增益下也只有61ke-(两者单位面积足足差了25倍)。
若从数字域角度来看,假设是一个14bit ADC,那么动态范围就是log2(2的14次方/读取噪声),所以总结来说:读取噪声越低、ADC位元越高,动态范围就越大,而放大器及其前端的读取噪声与增益成倍率关系,所以换言之,增益方式单一的情况下,ISO越低动态范围越大。具体来说,若以100%放大为标准,ISO 100时A7R4在欠曝3档后拉回暗部就会出现较为明显的噪声,若以4K平铺为标准,欠曝6档拉回的暗部也是可用的,所以我们讨论相机实用动态范围和信噪比时,都不应该脱离具体的输出尺寸这个大前提。
而作为主打风光和商业静物主题的机型,与其他高像素机型类似,A7R4的噪声调校方向明显是倾向低增益的,它的双增益切换设置在了相当低的ISO 320的位置,可以看看零输入时ISO 250/320/400后期加5档的噪声表现(建议点击图片放大观看):



很明显,ISO 320的表现明显强于ISO 250和ISO 400,作为对比,尼康D850设置在ISO 400而A7R3则设置在ISO 640,所以在更低感光度下,A7R4具备一定的性能优势,只是没有做原生ISO 64或50有些遗憾。
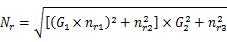
在这里扩展一下双增益的基础,增益的数学形式很好理解,读取噪声的简化模式可以如下表述:

Nr就是系统读取噪声,G为增益,Nr1为放大器前端读取噪声,Nr2是放大器后端读取噪声,显然,随着增益的增大,前端读取噪声也跟着增大,系统读取噪声Nr自然也跟着增大。想要改善这个情况最直接的方法就是采用多个增益模式,比如双增益,这时候上式会演变为:

此时G1与G2的乘积就是单增益时的G,也即G=G1G2,Nr1是低增益模式下的放大器前端噪声,Nr2是高增益模式下的放大器前端噪声,这两者在计算时只会出现其中一个值,Nr3是放大器后端噪声。
这时候看,当处于低增益模式时,G1=1,G2=G,于是上式就变成了单增益模式时的样子,而当切换到高增益模式时,G1≥1而G2≤G,前端读取噪声的放大被抑制,从而实现系统读取噪声Nr的降低,进而在特定增益位置提升动态范围。所以,ISO400和ISO 320分别就是A7R4的两个动态范围波峰,在这两个位置的性能表现是现有全画幅机身的最强水准,已经十分接近前代4433中画幅。
而A7R4这种高像素机型还有一个疑问就是高ISO时效果如何,其实这也就是变相在问系统读取噪声的控制能力如何,在充分曝光的情况下,散粒噪声远远大于读取噪声,此时很容易证明整块传感器的信噪比与像素密度无关,甚至只要不是年代相差久远,传感器技术都基本可以忽略,充分曝光时信噪比等于就系统总信号的平方根,也就是散粒噪声信噪比。所以在固定照明下进行的多感光度测试的方法是片面的,特别是高照度环境下进行的高ISO噪声测试结果可参考性很低。
在弱光环境下,想要保证充分曝光这个先决条件则意味着曝光时间必然很长,而有趣的是,A7R4的长曝光降噪是无法完全关闭的,30秒曝光时读取噪声以及暗电流噪声表象反而比1/30秒更低(为了更明显看出区别,所以调整得比较极端):


事实上当曝光达到4秒时,这种强制降噪就会出现,这也意味着它也会有吞星现象,对星野等长曝主题来说会是一个比较恼人的麻烦,希望新固件可以提供将长曝机内降噪关闭的选项,把主动权还给用户。但对于普通主题来说,它的长曝光信噪比是可以保证的,拍一些车水马龙、流光水影没有问题。
但这些主题都需要固定机位,所以大家更关注的还是弱光手持拍摄效果,也即弱光下的高ISO表现,很多人跟我提过“听说A7R4高感翻车”,我不知道大家是怎么去比较的,但有一种广泛使用的对比方式:100%放大对比显然是有问题的,因为这与图像的使用方式违和。高像素的意义在于可进可退,在缩放到4200万时,弱光下的A7R4在ISO 25600之前的噪声表现也并没有比A7R3、Z7等机型差,而且还保有了小幅度的分辨率优势,同时还能够进一步放大且不会产生模糊。

但在ISO 51200之后,它的噪声更容易呈彩色形态且分布更密集,这或许是“翻车”说法的来源,原因其实也可以简单分析,因为A7R4的高增益模式切入得很早(ISO 320),这意味着即便是低阱容模式下它的满阱依然很高,在高感光度下,放大器前端读取噪声会比高增益模式切入较晚的机型更大,从而对高感,特别是极限高感光度的输出造成影响,但还是别忘了DPreview数据库可能存在的偏差。
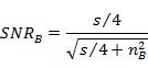
关于像素尺寸对信噪比的影响,在这里做一个简单的推导,为方便计算假设A像素是B像素边长的2倍,4个B像素合并等于1个A像素,受同一束光照射,有:

因为B像素只有A像素1/4面积,所以有:

这时候只要令B像素读取噪声为A像素读取噪声的一半,就能得到A像素信噪比为B像素2倍,将4个B像素合并后两者信噪比即相等(事实上此时如果只看散粒噪声信噪比,两者是完全一致的,但其实这个算法有一个问题,即便入射光子数相同,但其产生的光电子数呈随机性,A像素和4个B像素合并时的量子效率其实并不严格相同,因此这个算式有简化),这里的重点就是A、B像素的信噪比差,如果B像素读取噪声小于A像素的一半,合并后它的信噪比反而会更高。
根据目前的资料来看,A7R4的3.76微米像素高增益读出噪声只有1e-,另一个同为背照设计的4.63微米像素高增益读出噪声为1~1.6e-,两者的差距基本控制在1.23倍以内,也就是说即便单纯看读出噪声之比,同技术下的A7R4也并不会输。当然,同增益下像素阱容会相对小一点,但像素总数更多,所以从整个画幅来看依然是至少不会明显落后。
也有人会担心像素密度太大会不会导致像素间的电磁干扰,但这与晶体管数量关系不大(事实上相机CMOS的晶体管密度也算不上特别大),主要受频率影响,但成像传感器是低频器件,输入频率往往不到100MHz,因此干扰基本可以忽略。事实上小像素真正的问题是灵敏度阈值偏低,也即让单像素信噪比大于1所需的光子数较多,从而导致对环境照度的下限要求相对更高,但无隙微透镜导光和背照技术也已经很成熟,所以这个问题其实现在也得到了大幅的缓解,而且3.76微米从绝对值来说也并不算小,毕竟手机都要冲到0.7微米去了,这也是为什么新技术总是会先出现在手机端的原因之一,因为它要克服的难关显然更多。

第三部分:电子卷帘快门读出速度
高像素的另一个问题就是卷帘快门的逐行读出速度很难做快,从而导致像素行间存在时间差,特别是在快速平移追拍或拍摄快速移动物体时,就很容易出现因曝光时间不一致所导致的图像倾斜问题:

卷帘快门读出时间是可以通过拍摄频闪照明的方式计算的,在这里设置一个100Hz的频闪光,A7R4以1/200秒的快门速度,纯电子快门进行照片拍摄,得到以下图像:

一组明暗纹就代表了一次频闪周期,也即100Hz=0.01秒,由上图可知总计大约5.5组,也就是说纯电子快门下A7R4的快门读出速度为55毫秒,约1/18秒。当然,这个值并不精确,但大致差不多,比起前代稍有进步,但依然远不及机械幕帘1/250秒的同步速度。
也正因电子快门和机械快门同步速度存在差异,因此在开启电子前帘功能时,如果快门速度过快,也就是电子前帘和机械后帘的间隙太小的话,就会出现后帘追上前帘情况,从而导致部分像素行曝光不足甚至失光的问题,因为A7R3的快门幕帘是由下往上运动,所以会出现前景弥散斑上半部失光的现象。根据测试,1/1000秒(下图左上)时就能通过虚化点光源光斑观测到,1/2000秒(下图右上)就亮度差开始明显,1/4000秒(下图左下)上半部边缘已经看不到了,1/8000秒(下图右下)则几乎只剩大半圆:

显然,这并不是A7R4的独有问题,而是目前无反相机在开启电子前帘模式下的通病,解决的方法就是关闭电子前帘,只用纯机械或纯电子快门,从而保证前后帘的运动速度一致。但遗憾的是并不是所有机身都能手动选择,比如佳能EOS R就没有办法关闭电子前帘,它的机械快门就是电子前帘,所以只有在纯电子快门的情况下EOS R才不会出现失光问题,使用超大光圈镜头的时候就得要注意曝光均匀性的问题。
视频模式下因为不是全像素读出,所以理论上卷帘快门的果冻效应会稍好一点,4K25p在S35画幅6K超采样模式下的100Hz频闪周期图案如下:

大约在30毫秒出头,这个数值其实并不算太好,超高像素传感器做视频功能不仅要忍受较大幅度的视角裁切,同时也不一定能很好地解决卷帘快门果冻效应,当然此模式下的画质细节是最好的。而如果不想损失视角,也没有那么在意绝对质量,可以用抽行采样的全宽模式,依然是4K25p,因为采样像素的大幅下降,频闪周期图案一下变得少了许多:

仅仅2个周期,也就是20毫秒,也就是拍50p帧率的话果冻效应基本会消失了,而如果是全宽抽行的全高清:

基本上就是10毫秒不到的水准,应对100p也没有压力。
差不多关于A7R4目前我想说的主题就是这些,考虑到它的适配门槛很高,存储卡需要UHS-II型(不是会慢到想打人),而且容量还不能小,同时对后期PC的硬件要求明显高出大多数主流机身。这么强的分辨率想要秀出来就还得大幅面打印或者买一台性能足够强、面积足够大的显示器……而这些必要项几乎没有一个是便宜的,而且缺失了任意一项就会成为短板,影响体验,所以我不会建议普通消费者买A7R4,这显然是一台定位远比前代和其他系列更商业化的产品。