2021年全国中考数学真题分类汇编--三角形:解直角三角形(试卷版)

























【考点1 比例线段】
1.比例的相关概念及性质
(1)线段的比:两条线段的比是两条线段的长度之比.
(2)比例中项:如果a/b=b/c,即b2=ac,我们就把b叫做a,c的比例中项.
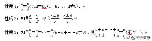
(3)比例的性质

2.黄金分割:如果点C把线段AB分成两条线段,使AC/AB=BC/AC,那么点C叫做线段AC的黄金分割点,AC是BC与AB的比例中项,AC与AB的比叫做黄金比.
【考点2 相似三角形的判定及性质】
1.定义:对应角相等,对应边成比例的两个三角形叫做相似三角形,相似三角形对应边的比叫做相似比.
2.性质:
(1)相似三角形的对应角相等;
(2)相似三角形的对应线段(边、高、中线、角平分线)成比例;
(3)相似三角形的周长比等于相似比,面积比等于相似比的平方.
3.判定:
(1)两角对应相等,两三角形相似;
(2)两边对应成比例且夹角相等,两三角形相似;
(3)三边对应成比例,两三角形相似;
(4)两直角三角形的斜边和一条直角边对应成比例,两直角三角形相似.
【考点3 位似图形】
1.相似多边形的定义:对应角相等,对应边成比例的两个多边形叫做相似多边形,相似多边形对应边的比叫做它们的相似比.
2.相似多边形的性质:
(1)相似多边形的对应边成比例;
(2)相似多边形的对应角相等;
(3)相似多边形周长的比等于相似比,相似多边形面积的比等于相似比的平方.
3.位似图形的定义:如果两个图形不仅是相似图形而且每组对应点的连线交于一点,对应边互相平行(或在同一条直线上),那么这样的两个图形叫做位似图形,这个点叫做位似中心,相似比叫做位似比.
4.位似图形的性质:
(1)在平面直角坐标系中,如果位似变换是以原点为中心,相似比为k,那么位似图形对应点的坐标的比等于k或-k;
(2)位似图形上任意一对对应点到位似中心的距离之比等于位似比或相似比.
5.找位似中心的方法:将两个图形的各组对应点连接起来,若它们的直线或延长线相交于一点,则该点即是位似中心.
6.画位似图形的步骤:
(1)确定位似中心;
(2)确定原图形的关键点;
(3)确定位似比,即要将图形放大或缩小的倍数;
(4)作出原图形中各关键点的对应点;
(5)按原图形的连接顺序连接所作的各个对应点.
【考点4 相似三角形与几何图形】
相似三角形的知识在实际中应用非常广泛,主要是用来测量、计算那些不易直接测量的物体的高度或宽度.
如果想要电子版的全部资料,完成三步轻松获取:1、关注本头条;2、转发;3、私信回复“2021中考数学”即可领取。