第I卷(选择题)
1.为探究溴乙烷与NaOH的醇溶液共热发生的是水解反应还是消去反应,甲、乙、丙三名同学分别设计如下三个实验方案:
甲:向反应混合液中滴入溴水,若溶液颜色很快褪去,则可证明发生了消去反应。
乙:向反应混合液中滴入稀硝酸中和NaOH,然后再滴入AgNO3溶液,若有浅黄色沉淀生成, 则可证明发生了消去反应。
丙:向反应混合液中滴入酸性KMnO4溶液,若溶液颜色变浅,则证明发生了消去反应。
则有关上述实验方案叙述( )
A.甲正确 B.乙正确 C.丙正确 D.上述实验方案都不正确
【答案】D
【解析】
试题分析:A、反应混合液中存在氢氧化钠,溴与氢氧化钠反应而褪色,不能说明发生了消去反应,甲错误;B、溴乙烷发生水解反应也会有此现象,不能说明说明发生了消去反应,乙错误;C、反应混合液中的醇也可以使酸性KMnO4溶液颜色变浅,不能说明说明发生了消去反应,丙错误,答案选D。
考点:考查对卤代烃发生消去反应实验的判断
2.我们学习化学很重要的一个方面就是解决生活中的实际问题,下列家庭小实验不合理的是( )
A.用灼烧并闻气味的方法检验真皮衣料
B.用淀粉和水检验食盐中的碘元素
C.用食用碱(Na2CO3)溶液洗涤餐具上的油污
D.用食醋除去热水壶中的水垢
【答案】B
【解析】食盐中的碘元素以KIO3的形式存在,用淀粉和水不能直接检验。
3.某研究性学习小组为了探索*粉镁**与溴水反应的机理,做了如下四组实验:
①将*粉镁**投入冷水中,未见任何现象;
②将*粉镁**放入溴水中,观察到只是开始时产生极少量的气泡,但溴水的颜色逐渐褪去;
③将*粉镁**放入液溴中,未观察到任何明显现象;
④向含足量*粉镁**的液溴中滴加几滴水,观察到溴的红棕色很快褪去。
则下列关于镁与溴水的反应机理论述中正确的是( )
A.*粉镁**只直接与溴水中的溴反应
B.*粉镁**只与溴水中的酸反应
C.产生极少量的气泡是由于*粉镁**与水反应得到
D.*粉镁**在水的催化下与溴发生反应
【答案】D
【解析】
试题分析:根据实验现象可得出结论:①镁不易与冷水反应。②和当水中放入溴时*粉镁**缓慢发生反应,溴逐渐消耗。③镁与液溴不反应。④*粉镁**和滴加几滴水液溴,瞬速反应,溴很快消耗完全。综上所述镁与溴水的反应机理是:*粉镁**在水的催化下与溴发生反应。现象为:D。
考点:考查镁与溴水的反应机理论的知识。
4.下列各项实验操作正确的是( )
A.使C2H5Br和NaOH溶液混合后水解,取上层清液,滴加AgNO3溶液检验溴元素
B.为增强高锰酸钾溶液的氧化性,可用盐酸将高锰酸钾溶液酸化
C.将苯与溴水混合后,再加铁粉,即可制得溴苯
D.在测定盐酸和氢氧化钠溶液反应的中和热时,氢氧化钠溶液应过量
【答案】D
【解析】
试题分析:C2H5Br和NaOH溶液混合后水解,因为C2H5Br的密度比水小,所以上层清液不能用来检验溴元素,要取下层清液,故A错误;B盐酸可以被酸性高锰酸钾氧化,故为增强高锰酸钾溶液的氧化性,不可用盐酸将高锰酸钾溶液酸化,一般加入的是硫酸,故B错误;C中,应该是将苯与液溴混合后加入铁粉,在加热制备溴苯,故C错误;D中为了减小误差,在测定盐酸和氢氧化钠溶液反应的中和热时,氢氧化钠溶液应过量,故D正确。
考点:化学实验
点评:本题考查了化学的一些常见的实验,这是实验均是学生比较熟悉的,常常是高考命题的热点,本题难度中等。
5.下列实验装置是探究铜丝与过量浓硫酸的反应,下列叙述不正确的是

A.装置①能控制反应的发生和结束
B.若将反应后②的试管取下,在通风橱中加热,会产生刺激性气味的气体,溶液呈红色
C.③中石蕊溶液变红色
D.为确认CuSO4生成,向①中加水,观察溶液颜色
【答案】D
【解析】铜和浓硫酸反应生成SO2、硫酸铜和水。SO2溶于水显酸性,能使石蕊试液显红色,所以选项ABC都是正确的。D不正确,应该是把试管中的溶液倒入水中,因为试管中还含有浓硫酸,答案选D。
第II卷(非选择题)
6.为研究铁质材料与热浓硫酸的反应,某学习小组用碳素钢(即铁和碳的合金)进行了以下探究活动:
[探究一](1)将已去除表面氧化物的铁钉(碳素钢)放入冷浓硫酸中,10分钟后移入硫酸铜溶液中,片刻后取出观察,铁钉表面无明显变化,其原因是 。
(2)称取碳素钢6.0 g放入15.0 mL浓硫酸中,加热,充分反应后得到溶液X并收集到混合气体Y。
①甲同学认为X中除Fe3+之外还可能含有Fe2+。若要确认其中的Fe2+,应选用 (选填序号)。
A.KSCN溶液和氯水 B.铁粉和KSCN溶液
C.浓*水氨** D.酸性KMnO4溶液
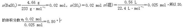
②乙同学取560 mL(标准状况)气体Y通入足量溴水中,发生SO2+Br2+2H2O=2HBr+H2SO4反应,然后加入足量BaCl2溶液,经适当操作后得干燥固体4.66 g。由此推知气体Y中SO2的体积分数为 。
[探究二]根据上述实验中SO2体积分数的分析,丙同学认为气体Y中还可能含有Q1和Q2两种气体,其中Q1气体,在标准状况下,密度为0.0893 g·L-1。为此设计了下列探究实验装置(假设有关气体完全反应)。

(3)装置B中试剂的作用是 。
(4)分析Y气体中的Q2气体是如何生成的 (用化学方程式表示)。
(5)已知洗气瓶M中盛装澄清石灰水,为确认Q2的存在,需在装置中添加洗气瓶M于 (填序号)。
A.A之前 B.A—B间
C.B—C间 D.C—D间
(6)如果气体Y中含有Q1,预计实验现象应是 。
【答案】(1)铁被钝化
(2)①D ②0.80
(3)检验SO2是否除尽
(4)C+2H2SO4(浓)CO2↑+2SO2↑+2H2O
(5)C
(6)D中的固体由黑变红、E中的固体由白变蓝
【解析】(1)由于在常温下,铁在浓硫酸中钝化,从而在铁表面形成一层致密的氧化膜,所以不再和CuSO4溶液反应。
(2)①Fe2+具有还原性,可以被KMnO4(H+)氧化,从而溶液褪色,据此可以鉴别,答案选D。

(3)M=0.0893 g·L-1×22.4 L·mol-1=2.0 g·mol-1。所以Q1为H2。
由于C能被浓H2SO4氧化成CO2,所以Q2应为CO2。检验H2用CuO,而检验CO2气体需用澄清石灰水,在验证CO2之前,须除尽SO2气体,所以A装置用来除去SO2,B装置用来检验是否除尽,M装置应放在B、C之间。若有H2,CuO应由黑变红,CuSO4由白变蓝。
7.铁在冷的浓硫酸中能发生钝化。某兴趣小组的同学发现将一定量的铁与浓硫酸加热时,观察到铁完全溶解,并产生大量气体。实验室现有下列试剂:0.01 mol/L酸性KMnO4溶液、0.1 mol/L KI溶液、3%H2O2溶液、淀粉溶液、蒸馏水。请你协助他们探究所得溶液和气体的成分。
【提出猜想】
Ⅰ.所得溶液中的金属离子可能含有Fe2+和Fe3+中的一种或两种;
Ⅱ.所得气体中可能含有________中的一种或两种。


【问题讨论】
有同学提出,若另外选用KSCN溶液,则仅利用KSCN和H2O2两种溶液即可完成猜想Ⅰ的所有探究,判断该方法是否正确并进行评价:_____________________________
【答案】【提出猜想】Ⅱ.SO2、H2
溶液紫红色褪去 含有Fe2+(或溶液紫红色不褪去,不含Fe2+)
另取少量所得溶液,滴加KI淀粉溶液 溶液变为蓝色
甲中KMnO4溶液褪色,乙中KMnO4溶液颜色不变,试管中收集到气体
【问题讨论】 不正确,若溶液中含有Fe3+,则无法检验溶液中是否含有Fe2+
【解析】解答本题时应注意以下三点:
(1)明确实验的目的是验证溶液和气体的成分;
(2)根据溶液中可能存在的离子Fe2+(铁过量)、Fe3+或两者的混合物,选择合适的试剂进行检验;
(3)根据气体的可能成分SO2和H2选择合适的试剂进行检验。
铁与浓硫酸加热时,产生的金属离子可能有Fe2+(铁过量)、Fe3+,产生的气体可能有H2(铁过量)、SO2。Fe2+可以使酸性KMnO4溶液褪色,Fe3+具有氧化性,可把I-氧化成I2可使KI淀粉溶液变为蓝色;SO2可以使酸性KMnO4溶液褪色,并被其吸收。
8.某同学对Cl2与KI溶液的反应进行了实验探究。反应装置如下:

通入氯气一段时间,KI溶液变为黄色。继续通入氯气一段时间后,溶液黄色褪去,变为无色。继续通入氯气,最后溶液变为浅黄绿色。
(1)已知I2+I-
I3- , I2、I3-在水中均呈黄色。为确定黄色溶液的成分,进行了以下实验。

① 实验b的目的是 。
② 根据实验a中,水层中含有的粒子有 。
③ 实验a中水溶液颜色变浅的原因是 。
④ 为保证实验的严谨性,在实验a、b的基础上,需补充一个实验,该实验为 。
(2)通入氯气,溶液由黄色变为无色,是因为氯气将I2氧化。已知1 mol Cl2可氧化0.2 mol I2,该反应的化学方程式是 。
(3) 根据上述实验,请预测向淀粉-KI溶液中持续通入氯气,可能观察到的现象为 。
【答案】(1)① 对比实验,证明实验a中水层显浅黄色是因为存在I2+I-
I3-平衡,不是单一的I2浓度降低所导致的。(2分)
② I2、I-、I3-、Cl-、K+(可不写H2O、H+、OH-)(2分)
③ 由于萃取使水溶液中I2浓度降低,同时I2+I- I3-平衡逆向向移动,I3-浓度也降低,导致水溶液颜色变浅。(2分)
④ 取2~3 mL KI溶液,滴加少量的氯水(或通入少量氯气,或加入少量碘单质),再加入足量CCl4, 振荡静置,观察到水层是否为黄色。(2分)
【或取少量实验a的水层溶液滴加AgNO3溶液,观察是否有黄色沉淀生成。或取少量实验a的水层溶液淀粉溶液,观察是否变蓝。】
(2)I2+5Cl2+6H2O ===10HCl +2HIO3(2分)
(3)溶液先变蓝后褪色(1分)
【解析】
试题分析:(1)① 实验b的目的是对比实验,证明实验a中水层显浅黄色是因为存在I2+I- I3-平衡,不是单一的I2浓度降低所导致的。
② 根据实验a中,取2~3 mL黄色溶液,加入足量CCl4, 振荡静置。因为KI+Cl2===2KCl+I2,水层中,含有含有Cl-、K+,水层显浅黄色,说明存在I2+I- I3-,对可逆反应I2、I-、I3-均存在;
③ 实验a中水溶液颜色变浅的原因是由于萃取使水溶液中I2浓度降低,同时I2+I- I3-平衡逆向向移动,I3-浓度也降低,导致水溶液颜色变浅。
④ 为保证实验的严谨性,在实验a、b的基础上,需补充检验I-或I2的实验,所以答案是取2~3 mL KI溶液,滴加少量的氯水(或通入少量氯气,或加入少量碘单质),再加入足量CCl4,振荡静置,观察到水层是否为黄色。(或取少量实验a的水层溶液滴加AgNO3溶液,观察是否有黄色沉淀生成。或取少量实验a的水层溶液淀粉溶液,观察是否变蓝。)
(2)已知1 mol Cl2可氧化.2 mol I2,知Cl2和I2的系数比是5:1,根据氧化还原反应特点,化合价升降总数相等,判断出I2变为+5价,配平得I2+5Cl2+6H2O ===10HCl+2HIO3;
(3)向淀粉-KI溶液中持续通入氯气,可能观察到的现象为溶液先变蓝,I2+5Cl2+6H2O ===10HCl +2HIO3所以后褪色;