“海安发布”微信公众号12月12日发布《海安市关于新冠病毒感染者就诊的公告》,全文如下。
根据国务院联防联控机制12月7日发布的“新十条”要求,现将海安市新冠病毒感染者就诊途径通告如下:
一、无症状感染者和轻型病例一般采取居家隔离措施,按照国务院联防联控机制综合组《新冠病毒感染者居家治疗指南》进行自我健康管理。如需相关药品,由所在村(社区)工作人员联系辖区内卫生院(医院)或村卫生室(站)提供代购、送药上门服务。
隔离第6、7天连续两次新冠病毒核酸检测Ct值≥35(两次检测间隔大于24小时),可结束居家隔离,恢复正常生活和外出。
二、新冠病毒感染者有就医需求时可联系所在村(社区),落实分级分类救治。
1. 对于无症状感染者、轻型病例以及高龄行动不便、独居老人等对象在居家隔离期间,出现身体轻微不适,先由家庭医生签约团队(村医生)提供上门健康服务。
2.当出现呼吸困难或气促;药物治疗体温持续高于38.5℃超过3天;儿童出现嗜睡、持续拒食、喂养困难、持续腹泻或呕吐等情况,可通过自驾车或由所在村(社区)联系安排专车闭环转运到就近发热门诊(详见附件2)就诊,其他普通疾病新冠病毒感染者首诊到属地区镇(中心)卫生院、医院等基层医疗机构就诊,如无需住院,继续居家隔离。
3.超出基层医疗机构服务能力需转上级医院诊治的,根据病情轻重情况,可通过自驾车或由所在村(社区)联系安排专车(情况严重的可拨打120安排救护车)闭环转运至上级医院进一步诊治。
三、海安市为危急重症新冠病毒感染者开通绿色救治通道,为孕产妇新冠病毒感染者提供正常医疗服务保障,推荐至海安市人民医院、海安市中医院就诊。
四、需要进行血液透析的新冠病毒感染者,就诊医院为市第三人民医院仁济院区,当不能满足就诊需求时,原则上由原就诊医院安排专用时间段治疗。
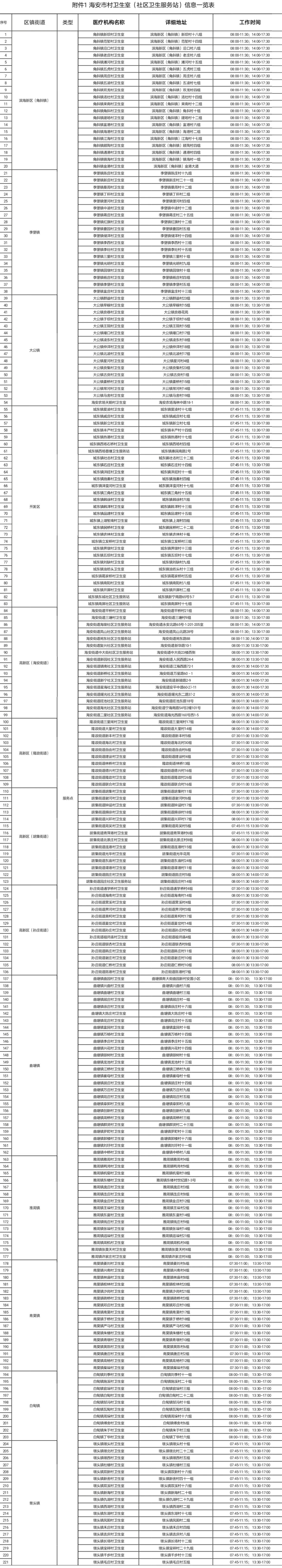
附件:1.海安市村卫生室(社区卫生服务站) 信息一览表

2.海安市发热门诊(诊室) 信息一览表
