本文作者:史国放 邹冰
编辑:荣格个人护理
对于化妆品来说,“美”的宣称常通过健康的皮肤来表述,而健康的皮肤可以归因于皮肤上微生物的生态平衡。
皮肤,作为人体与环境接触的主要器官,有很多因素可以影响皮肤微生态的多样性,包括日常所使用的化妆品。但是,对于个人护理行业和消费者来说,这个话题依然充满了诸多未知性,尤其是 化妆品中的防腐剂对于皮肤微生态的影响 。
本文 回顾了 个人护理品行业在皮肤微生态方面的研究工作, 总结了 国内外文献和专利中关于化妆品和皮肤微生态关系方面的研究报道,并且 列举了 几种可用于研究化妆品影响皮肤微生态的实验方法,为行业内需要进行相关测试的同仁提供参考。
(一) 皮肤微生物群、微生态及其功能
皮肤是人体最大的器官,也是人体抵御外部病原菌的第一道防线。
皮肤表层有着成千上万的细菌、真菌和病毒等微生物,它们和皮肤表层组织、细胞以及各种代谢物等共同组成了皮肤微生态系统。
研究表明, 皮肤微生物包括 常驻菌(对宿主无害)、有益菌和有害菌,其组成多种多样,并且皮肤不同部位存在着不同的微生物,与皮肤的油脂、湿润、干燥等微环境息息相关[1-4]。
其中,细菌是皮肤上最主要的微生物,而真菌则是最少的[1]。通过测序技术,已经在皮肤上发现了至少 19 种门的细菌,包括放线菌门Actinobacteria(51.8%)、厚壁菌门Firmicutes(24.4%)、变形菌门Proteobacteria(16.5%)和拟杆菌门Bacteroidetes(6.3%)等[5]。定植于人体皮脂腺部位的主要是亲脂的丙酸杆菌Propionibacterium,像肘弯和脚部这些相对潮湿的部位主要是葡萄球菌Staphylococcus和棒状杆菌Staphylococcus(参见图1和表1)[6],而在相对干燥的地方,主要是变形杆菌Proteobacteria和黄杆菌Flavobacteriales[3]。此外,不同身体部位的真菌组成基本类似,主要是一些马拉色菌Malassezia[4]。
近二十年来,关于皮肤微生态功能方面有很多的报道。
Baviera等发现表皮葡萄球菌Staphylococcus epidermidis有抗炎的作用,可以增强皮肤屏障功能,同时表皮葡萄球菌通过产生抗菌肽(AMP)和增加紧密连接蛋白(tightjunction proteins)的表达来抑制有害菌——金黄色葡萄球菌Staphylococcus aureus的生长[7]。皮肤菌群也可以调节皮肤pH和油脂含量。Gribbon等人的研究表明皮肤上的丙酸杆菌Cutibacterium acnes 将皮脂中的甘油三酯分解为游离脂肪酸,降低皮肤的pH,增强皮肤与细菌之间的黏附[8]。在腋窝部位,通过细菌移植技术或者直接涂抹益生菌的方式来替换人体产臭菌群已被证实可以解决腋下狐臭的问题[9]。
现实生活中,有很多因素可以影响皮肤的微生态,包括环境因素(例如地理位置、居住环境、空气污染等)和宿主因素(例如年龄、饮食和压力等)[2,12]。此外,皮肤微生态也受到清洁用品和护肤品的影响[11]。

图1.不同生理特点和个人差异都会影响皮肤菌群的分布[6]
在正常条件下,皮肤和皮肤菌群之间、皮肤常驻菌与有害菌之间都需要保持平衡。 然而,关于保持平衡的机理依然充满了未知 。皮肤微生态的失衡会导致皮肤疾病或者紊乱。例如,通过测序发现过敏性皮炎患者的病患部位金黄色葡萄球菌显著增加,同时微生物菌种的多样性明显降低[12]。此外,最新的宏基因组数据证实了*疮痤**主要是由于皮肤上积累了大量的*疮痤**丙酸杆菌的有毒菌株[13]。另外也有研究表明,通过调节基因表达和皮肤微环境,皮肤菌群可以消除紫外线辐射引起的皮肤免疫抑制反应[14]。

表1.人体皮肤不同位置最丰富的10种细菌、真菌和病毒[6]
(二)个人护理行业的皮肤微生态话题
在个人护理行业,皮肤微生态是一个很 热门的话题 。消费者、品牌商和媒体都非常关注皮肤微生态在个护创新上的应用。
过去,通常认为皮肤上的细菌都是有害的,但是现在, 人们认为简单地杀死有害菌可能也会损害皮肤上的有益菌 。因此,皮肤微生态友好已经变成了个护行业中的流行趋势之一(图2)。

图2.2019年第3季度亚太消费者对于清洁和美丽相关概念的调查(数据来源:https://www.globaldata.com/data)
如今,时尚或者美学杂志经常刊登各种关于皮肤微生态友好型的个护产品的报道和宣传。纵观全球市场,高端消费者已经接受了皮肤微生态友好型的相关产品,并且愿意支付更高的溢价去购买此类产品[15]。
以前,清洁类产品中常见的做法是,简单地添加一些抗菌剂在配方中 ,从而消灭细菌,比如皂类和洁面乳。如CleanandClear针对青春痘的产品中使用过氧化苯甲酰作为杀菌的活性物质;又比如,很多抗菌皂中添加三氯生来实现杀菌[16]。

图3.益生菌和益生元在皮肤健康和疾病上的作用[17]
但是现在,化妆品配方师借鉴了肠道微生态的理念, 在护肤品中引入了益生菌probiotics(以活菌或者溶菌产物的形式)、益生元prebiotics(作为有益菌的营养物质)、后生元postbiotics(通过添加益生菌的副产物来提高或者激活有益菌的生长)等,或者其他微生态友好的成分。 益生菌已经被用于治疗很多人类皮肤疾病,包括湿疹、过敏性接触皮炎和创伤修复等(图3)[17]。

表2.已使用益生菌的化妆品企业和品牌
益生菌在护肤品中首次出现是在2009年,英国NUDE品牌推出了一系列的相关产品[15]。紧接着,很多公司都相继将益生菌加入到了它们的护肤产品中,包括比利时的YUNProbiotherapy、美国的AOBiome、法国的Gallinée和美国的倩碧(表2)。这些护肤品中使用的益生菌大部分都是乳酸杆菌lactobacillus的活菌或者死菌。

表3.在护肤产品中使用益生元的公司和品牌
诸如低聚半乳糖类的益生元可以作为益生菌的营养成分,选择性地刺激对人体健康有益菌株的生长[19]。 护肤品中使用益生元已经有很多年的历史 。 早在1945年,美国Johnson&Johnson旗下的Aveeno就在它的产品中使用了燕麦和燕麦提取物作为原料, 虽然当时这些组分并没有被标记为益生元,但目前这些被人熟知的成分已经被很多公司和品牌重新标记为了益生元(表3)。
随着皮肤微生态友好成为个护领域的流行趋势,越来越多使用益生菌和(或)益生元的护肤品应运而生, 但是,关于益生菌和益生元在护肤品中的应用依然充满了挑战 。
- 缺少标准: 虽然益生元和益生菌的定义非常明确,但是从化妆品角度,对于益生菌产品没有清晰的解释,而且进入这一领域的门槛也很低。往往这些产品都缺少可靠的临床试验数据,有些公司的数据没有对外发表,也有些公司根本就没有做过临床试验。
- 技术和法规壁垒: 法规在化妆品行业非常重要,但是目前在欧洲或者美国都没有关于益生元和益生菌护肤产品的相关法规。化妆品产品要求不能含有特定的病原菌,但是在益生菌存在的情况下,缺少有效的方法来鉴定产品里面是否包含特定的病原菌。此外,在护肤产品中添加活菌的难度也非常大。
- 缺少消费者教育: 消费者如果知道产品中含有活菌的话,可能对益生菌产品产生抵触。所以需要花费时间去教育和说服消费者,证明此类产品确实是他们所需要的。
- 价格相对高: 相比于其他主流的护肤产品,含有益生菌或益生元的产品价格往往很高,如Mother Dirt的微生态友好保湿乳,50毫升规格产品在美国的售价为34美元。但是随着技术的发展,相信微生态友好护肤品的价格会随之下降。
同时,化妆品原料供应商也开发了一些可以调节皮肤微生态的活性物质。
荷兰DSM 公司开发了高端黑科技——EPIBIOMEBEAUTY™平台,针对皮肤屏障和皮肤微生物菌群之间的相互作用,研发新的解决方案。PENTAVITIN®(锁水磁石)就是其成果之一,并且已被证实可以帮助头皮微生物群中的马拉色菌和表皮葡萄球菌的平衡[20]。
德国BASF 公司和法国微生物公司Biomillenia已经签署了微生态的功能研发协议,BASF开发了皮肤细胞的3D模型,旨在利用皮肤微生态的技术手段来减缓皮肤衰老[21]。
瑞士Givaudan 公司为它们的Revivyl原料申请了专利,该成分可以将特定的微生物转化为三羟基苯甲酸,从而达到调节皮肤微生态的作用[15]。
法国Gattefossé集团 从临床角度证实了它们的EmuliumMellifera天然保湿霜(聚甘油-6二硬脂酸酯、霍霍巴酯类、聚甘油-3蜂蜡酸酯和鲸蜡醇的混合物)可以保持和改进皮肤上的微生物菌群平衡[22]。基于英敏特的数据,添加了天然来源和温和成分的皮肤微生态友好型产品已经进入了市场,拓展了未来化妆品企业创新的方向。
(三)化妆品、防腐剂与皮肤微生态的关系研究
化妆品一直深受消费者的喜爱,因为它们可以清洁、保护和改善人们身体的外观表现。消费者正在对微生态友好型的产品产生浓厚的兴趣。大部分化妆品的主要成分包括了水、乳化剂、表面活性剂、保湿剂、增稠剂和防腐剂。这里我们 总结了文献中所记载的化妆品或者防腐剂对于皮肤微生态的影响,并对部分宣称皮肤微生态友好的相关专利进行了汇总 。
北京工商大学宋丽雅教授课题组 在体外测试了甲基异噻唑啉酮(MIT)、碘代丙炔基氨基甲酸酯(IPBC)、乙基己基甘油(EHG)、苯氧乙醇(PE)和尼泊金甲酯(MP)对9种皮肤细菌并大肠杆菌Escherichiacoli和金黄色葡萄球菌的最小抑菌浓度(MIC)[23]。

图4.5种防腐剂对于不同细菌的影响[23]
结果发现,MIT和IPBC对所有测试菌株都有很强的抑菌作用,MIC值≤100ppm;EHG和MP的MIC值≤3000ppm;PE的效果最弱,MIC值≤10000ppm。结果同时表明,在可以抑制金黄色葡萄球菌和大肠杆菌的浓度下,PE和MP对于皮肤上常驻菌的影响非常微弱(图4)。

图5.含有PE的膏霜对于人体皮肤上菌群的影响(A)门的水平(B)种的水平[24]
在另外一项研究中 ,含有MP、1,2-己二醇和PE的爽肤水、乳液、膏霜和儿童护肤霜则展现了很强的抗菌作用,这些产品不仅抑制了有害菌的生长,同时也抑制了皮肤常驻菌的生长,比如表皮葡萄球菌、福氏志贺氏菌Shigellaflexneri和产气肠杆菌Enterobacter aerogenes[24]。也有研究发现,将一款含有PE的面霜涂抹在皮肤上后,可以破坏皮肤的菌群平衡,表现为,变形菌门的细菌有所增加,以及*疮痤**丙酸杆菌有所下降(图5)。
表4.爽身粉、膏霜和除臭喷雾的抑菌测试结果。膏霜添加有0.417%的PE、0.354%的MP和0.137%的PP。1-10为皮肤上分离得到的细菌菌种编号[25]

表4.爽身粉、膏霜和除臭喷雾的抑菌测试结果。
Lalitha发现PE、MP、尼泊金丙酯(PP)、山梨酸、山梨酸钾和苯甲酸钠等防腐剂对于铜绿假单胞菌Pseudomonas aeruginosa、藤黄微球菌Micrococcus luteus和表皮葡萄球菌都有很好的抑菌作用[25]。低浓度的PE、MP和PP可保持膏霜产品免受细菌污染,同时也不会对皮肤上的微生物产生影响(表4)。

图6.脸颊部位高水分组(HHG)和低水分组(LHG),在细菌种的水平上的差异[26]
HyoJungLee等人发现, 在化妆品使用后,丙酸杆菌、葡萄球菌和棒状杆菌都有显著的下降,而罗尔斯通菌Ralstonia有了明显的增加(图6)[26]。

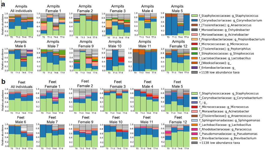
图7.不同人体上腋窝和脚部细菌的变化。
图7.不同人体上腋窝和脚部细菌的变化。a.12位志愿者腋窝部位细菌变化情况;b.12位志愿者脚部细菌的变化情况[27]
Bouslimani等人分析了4种化妆品在11位志愿者身上的影响, 发现除臭剂和爽足粉会增加细菌的多样性,而脸部和手臂部位的乳液对于细菌多样性几乎没有影响(图7)[27]。

图8.AGA膏霜(绿)和对照膏霜(蓝)对于皮肤微生物的影响对比[28]
Gonry等人比较了一款含有高浓度防腐剂(PE、MP和甲醛释放体)的AGA膏霜及其对照 (额外添加2%菊粉)[28],结果发现AGA膏霜在1小时内破坏90%的皮肤微生物,而对照膏霜可以让皮肤上的微生物保持5倍多的活力(图8)。
此外,很多公司也在 专利中宣称 其化妆品产品对皮肤微生态友好(表5)。其中大部分都是利用了益生菌或者益生元来宣称相应产品可以帮助皮肤微生态再平衡。

表5.皮肤微生态友好相关专利概述
但总体而言,皮肤微生态还属于 新兴领域 ,我们对皮肤微生物菌群在皮肤健康中的作用以及化妆品中各类组分对于皮肤微生态的影响的 认知还比较有限 ,需要 更多的实验数据 来证实它们与皮肤微生态之间的相互作用。
(四)研究化妆品成分对皮肤微生态影响的方法
目前,研究化妆品或原料对于皮肤微生态的影响主要有以下一些体外或者体内的方法:
- 体外抗菌测试: MIC测试和抑菌圈测试通常用于测试化妆品或者防腐剂对于皮肤微生物菌株的影响[23, 25]。操作上非常方便,但是往往缺少体内和体外的关联性。
- 体外细胞和微生物共培养模型 :很多公司已经开发了3D皮肤模型来研究皮肤和皮肤微生物菌群的关系。Liang等人利用3D重组表皮细胞开发了一种毛藓菌感染模型,来研究毛藓菌感染的机理[29]。另外,也有报道称体外重组3D人体细胞模型(Labskin)适合于研究化妆品中防腐剂、抗菌剂、益生元和益生菌等[30]。这些细胞和微生物共培养的模型可以作为临床前筛选的方法之一。
- 体外猪皮和微生物共培养模型: 猪皮模型被认为是最能代表*皮人**的模型[31],也非常适合培养微生物。Roche等人开发了猪皮移植模型和猪皮创伤模型,来评估卡地姆碘对于抗生物膜的效果,为更广泛的临床试验和后续治疗提供了重要的科学信息[32]。Phillips等人也使用体外猪皮生物膜模型研究了抗菌敷料和外用药的效果[33]。
- 临床试验: 临床试验可用来研究使用化妆品或原料前后,人体皮肤微生物菌群所受的影响和变化情况。试验涉及到皮肤取样、DNA提取、16s rDNA测序和数据分析等方法。临床数据还可以考察微生物菌群在使用化妆品或原料前后的多样性变化以及不同产品之间的差异。最近,Unilever英国研发中心测试了4款不同防腐体系的配方,包括IPBC/DMDMH、PE/EDTA/IPBC、IPBC/DMDMH/EDTA以及PE/MP/PP,测试结果表明这4款产品不会破坏皮肤微生态[34]。
展 望
化妆品对于改善人体皮肤的健康有着不可或缺的作用,同样的,它们也影响着皮肤微生态的平衡。化妆品的生产企业以及原料供应企业都应该了解它们的产品和原料是否会破坏皮肤的微生态平衡,从研发开始就应该严格地筛选原料和配方,从而确保消费者所使用的个护产品不会对皮肤微生态产生破坏,真正给消费者提供健康、安全和有效的化妆品。同时,随着科学技术的发展和对人体微生态的深入了解,未来一定会有更多的人类皮肤健康解决方案。
参考文献
[1]Grice, E. A. et al. Topographical and temporal diversity of the humanskin microbiome. Science. 2009, 324: 1190–1192
[2]Grice, E. A. and Segre, J. A. The skin microbiome. Nat. Rev.Microbiol. 2011, 9: 244–253
[3]Oh, J. et al. Biogeography and individuality shape function in thehuman skin metagenome. Nature. 2014, 514: 59–64
[4]Findley, K. et al. Topographic diversity of fungal and bacterialcommunities in human skin. Nature. 2013, 498: 367–370
[5]Schommer, N. and Gallo, R. Structure and function of the human skinmicrobiome. Trends in Microbiology. 2013, 21 (12): 660-668
[6]Byrd, A.L. et al. The human skin microbiome. Nat. Rev. Microbiol.2018, 16: 143-155
[7]Baviera, G. et al. Microbiota in healthy skin and in atopiceczema. Biomed Res Int. 2014, 436921
[8]Gribbon,E.M. et al. Interaction of Propionibacterium acnes with skin lipidsin vitro. J Gen Microbiol. 1993, 139: 1745–1751
[9]Callewaert,C. et al. Towards a bacterial treatment for armpit malodour.Experimental Dermatology. 2017, 26: 388–391
[10]Meadow, J.F. et al. Indoor airborne bacterial communities areinfluenced by ventilation, occupancy, and outdoor air source. IndoorAir. 2014, 24(1): 41–48
[11]Callewaert, C. et al. Deodorants and antiperspirants affect theaxillary bacterial community. Arch Dermatol Res. 2014, 306: 701–710
[12]Williams, M.R. and Gallo, R.L. The Role of the Skin Microbiome inAtopic Dermatitis. Curr Allergy Asthma Rep. 2015, 15: 65
[13]Fitz-Gibbon, S. et al. Propionibacterium acnes strain populations inthe human skin microbiome associated with acne. J. Investig.Dermatol. 2013, 133: 2152–2160
[14]Patra, V. et al. Skin Microbiome Modulates the Effect of UltravioletRadiation on Cellular Response andImmune Function. iScience. 2019, 15: 211–222
[15]Euromonitor international. The Microbiome in Skin Care: challengesand opportunites
[16]Perencivich, E.N. et al. National and regional assessment of theantibacterial soap market: A step toward determining the impact ofprevalent antibacterial soaps. AmericanJournal of Infection Control. 2001, 29 (5): 281-283
[17]Lolou, V. and Panayiotidis, M.L. Functional Role of Probiotics andPrebiotics on Skin Health and Disease. Fermentation. 2019, 2019, 5:41
[18]Maguire, M. and Maguire, G. The role of microbiota, and probioticsand prebiotics in skin health Arch Dermatol Res. 2017. 309: 411–421
[19]Gibson, G.R. and Roberfroid, M.B. Dietary modulation of the humancolonic microbiota: introducing the concept of prebiotics. J Nutr.1995, 125: 1401–1412
[20]https://www.dsm.com/personal-care/en_US/trends/healthy-beauty-trend.html
[21]https://www.cosmeticsdesign-europe.com/Article/2019/10/10/BASF-and-Biomillenia-partner-on-microbiome-research-for-novel-dermocosmetics
[22]https://www.happi.com/contents/view_breaking-news/2020-02-12/gattefosse-conducts-microbiome-research/
[23]Wang, Q. et al. Effect of cosmetic chemical preservatives on residentflora isolated from healthy facial skin. J Cosmet Dermatol. 2019, 18:652–658
[24]Jeong, J.J. and Kim, D.H. Effects of Cosmetics and TheirPreservatives on the Growth and
Compositionof Human Skin Microbiota. J. Soc. Cosmet. Sci. Korea. 2015, 41 (2):127-134
[25]Lalitha, C. and Rao, P.V.V.P. Antimicrobial Efficacy of Preservativesused in Skin Care Products on Skin Micro Biota. International Journalof Science and Research. 2013, 6: 14
[26]Lee, H.J. et al. Effects of cosmetics on the skin microbiome offacial cheeks with different hydration levels. Microbiology Open.2018, 7: e557
[27]Bouslimani, A. et al. The impact of skin care products on skinchemistry and microbiome dynamics. BMC Biology. 2019, 17: 47
[28]Gonry, P. The skin microbiota: all about food. PERSONAL CARE ASIAPACIFIC. September 2019, 43-46
[29]Liang, P.P. A Trichophyton Rubrum Infection Model Based on theReconstructed Human Epidermis ‑Episkin®. Chinese Medical Journal. 2016, 129 (1): 54-58
[30]Bojar, R.A. Studying the Human Skin Microbiome Using 3D In Vitro SkinMode. APPLIED IN VITRO TOXICOLOGY. 2015, 1(2): 165-171
[31]Dai, T. et al. Animal models of external traumatic wound infections.Virulence. 2011, 2: 296–315
[32]Roche, E.D. et al. Cadexomer iodine effectively reduces bacterialbiofilm in porcine wounds ex vivo and in vivo. Int Wound J. 2019, 16:674–683
[33]Phillips, P.L. et al. Antimicrobial dressing efficacy against maturePseudomonas aeruginosa biofilm on porcine skin explants. Int Wound J.2015, 12: 469–483
[34]Murphy, B. et al.In-vivo impactof common cosmetic preservative systems in full formulation on theskin microbiome. PLoS One. 2021;16(7): e0254172.