家用电器“*工罢**”,路边维修游击队不靠谱怎么办?
市商务委公布2020年品牌家电企业售后维修服务热线及授权维修服务网点名单,以及2020年行业协会推荐的477家正规维修企业名单,分布在本市各区,营业地址、联系电话等信息一应俱全。有需要的小伙伴可以收藏哦!
2020年品牌家电企业售后维修服务热线及授权维修服务网点名单
(以下图片均可点击看大图哦!)

























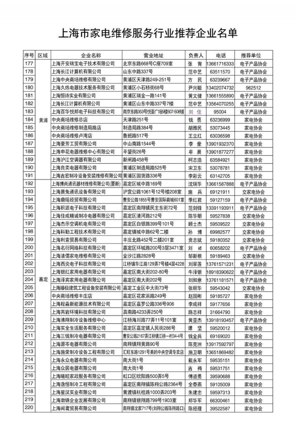
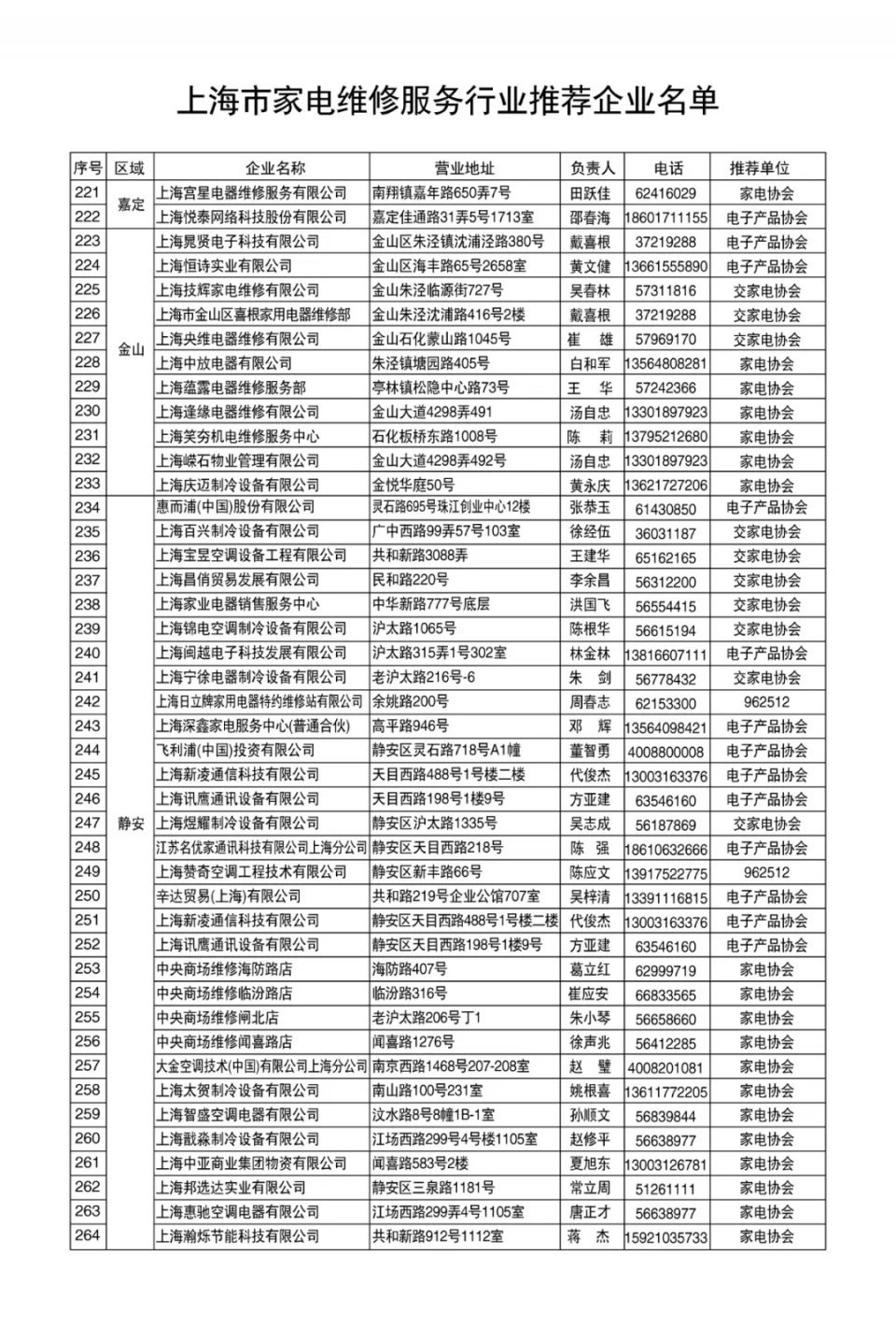
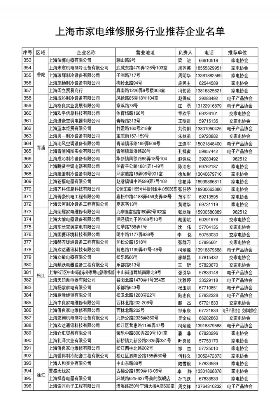
2020年行业协会推荐家电维修企业名单
(以下图片均可点击看大图哦!)












家用电器“*工罢**”,路边维修游击队不靠谱怎么办?
市商务委公布2020年品牌家电企业售后维修服务热线及授权维修服务网点名单,以及2020年行业协会推荐的477家正规维修企业名单,分布在本市各区,营业地址、联系电话等信息一应俱全。有需要的小伙伴可以收藏哦!
2020年品牌家电企业售后维修服务热线及授权维修服务网点名单
(以下图片均可点击看大图哦!)

























2020年行业协会推荐家电维修企业名单
(以下图片均可点击看大图哦!)











