相信大家读完体脂测试的系列文章后,应该开了不少眼界。既然这些测试是基于很多猜想,那么你就可以通过饮食和锻炼的简单调整去改变测试结果。这篇文章中,就告诉大家如何在体脂测试时去「作弊」,其实也就是有哪些因素能影响体脂测试的结果。同时读完这篇文章你也会知道,为什么有时候教练在你练完之后给你做体侧,他的目的何在?(手动微笑)
吃
据我说知,第一个有关这个话题的研究是在1992年发表[1]。研究人员观察了用DEXA测量身体成分时,喝水和进食的影响。受试者在餐前餐后进行了DEXA扫描,并且被要求在每餐后都立刻喝尽可能多的水。他们发现吃午餐或者晚餐导致了瘦体重大约增加了1kg(在躯干中被观察到),体脂没有增加。下图显示了躯干瘦体重在午餐和晚餐后的变化:

因此,根据这个研究,如果你想在DEXA测试前增加几磅瘦体重,吃一顿并且喝很多水就可以了。
还有更多的研究支持这一点。澳大利亚的研究人员在活跃人群中的下面这些情况(按顺序)比较了DEXA测试结果:
1.一夜禁食后的上午
2.在扫描床上重新摆好位置的五分钟后
3.日常活动后的八小时后
4.早饭前的下一个上午
5.早饭后的另一个三十分钟
吃早饭和日常活动对于测量结果的影响是最大的。吃早饭导致总瘦体重增长了0.4-0.9kg,主要是躯干瘦体重的增长。因此,如果你想在30分钟内就增加1-2磅瘦体重,在测量前吃早饭就行。另外,在下午的日常活动后进行测量,瘦体重平均增加了0.5kg,分布在躯干和大腿上。因此,为了最大化瘦体重的改变,在下午吃东西后进行测量就行。最近的另外一个研究也有相似的结果[2]:进食导致瘦体重增加了0.8kg,脂肪下降了0.2kg。进食的组成(低碳或者高碳)没有任何影响。
生物电阻抗(BIA)
在测试前进食去改善体脂百分比不仅仅对DEXA有用,对BIA同样有用。BIA测试前进食会导致阻抗在饭后5小时内降低[3]。这就会导致体脂百分比的降低(更多的瘦体重,较少的脂肪),不过这个幅度取决于用来估算体脂百分比的公式。另一个研究也有一样的结果[4],甚至还发现阻抗在12小时内都降低了。

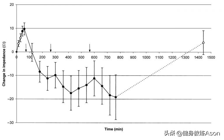
这个研究有趣的一点就是阻抗在受试者醒来后就慢慢升高了,在餐后就立刻降低了(醒后2小时)。最高的阻抗值是在早餐前15分钟被观察到,其计算出来的女性平均体脂百分比为27.1%,男性为17.2%。最低的阻抗值在女性中晚餐大约3小时后出现,在男性中午餐2小时后出现。这换成体脂百分比对女性来说就是24.8%,对男性来说就是15.5%,也就是说女性降低了2.3%,男性降低了1.7%。

而且这些只是平均值。在这个研究中有一个人的体脂百分比从29.7%降到了25.9%,接近4%的差异。
这个研究还表明,当你在一天中吃的更多顿时,阻抗的降低是能叠加的。另外,如果你想最大化这些进食的影响,摄入高钠食物。钠是一种电解质,能够导电。正是食物中的电解质导致餐后阻抗降低[5]。
有越来越多的研究显示进食是如何短暂的改善BIA测出来的体脂的。在一个最近的研究中[2],一夜禁食后,下午的瘦体重比上午高了接近1kg,并且体脂率低了0.6%。

充血来作弊
上面提到的澳大利亚研究小组后来又做了一个研究,观察了抗阻力训练或者骑行后对DEXA测量结果的影响。在DEXA测试前做抗阻力训练会导致手臂的瘦体重增加2%,以及手臂的脂肪下降2%。因此,在DEXA测试前做手臂的「充血式」抗阻力训练会让你比实际的瘦体重更高,体脂更低。
充碳
你们可能知道储存在肌肉中的碳水化合物(也叫肌糖原)会带有水分,这也是健美运动员在赛前几天充碳的原因---由于增加水分的储备让肌肉看起来更饱满。如果充碳能加强肌肉内的水分储备,那么你也可以用它来改变DEXA的测量结果,而且DEXA不能区分肌肉和水分。
这个概念也在研究中得到了证实。在一个研究中[6],年轻的男性在3天的高碳水饮食(有75%的卡路里都是碳水)前后做了DEXA扫描,结果发现平均瘦体重增加了0.9kg,以及四肢瘦体重(肌肉量的估算)平均增加了1.4kg。因此,仅仅通过摄入极高的碳水化合物饮食就能让DEXA的结果出现接近3磅的肌肉增长。研究人员还观察到了体脂百分比从13.3%降到了12.9%。
一个最近的研究也证实了这个结果[7]。在糖原耗竭后,受试者每公斤体重摄入12g的碳水化合物(伴有或者不伴有肌酸的摄入)。结果发现碳水和肌酸相结合时瘦体重增加了3%,只摄入碳水时瘦体重增加了2%。
标准对于体脂的估算至关重要
所有的这些研究都表明将体脂测量标准化多么重要。这就意味着穿相同的衣服,处于静息状态(之前没有锻炼),醒后第一件事就测量,处于水合状态,以及如果是DEXA,还要对床上的姿势定一个标准。然而,即使是很多科学研究也没能做到这点。请看下图:

该图显示了用DEXA评估运动员身体成分的研究中的因素标准,你可以看到很多研究都未能将测量标准化,这就会给可靠性带来问题。
体脂测试作弊表
第一次测量
●通过摄入几天低碳饮食以及做消耗糖原的动作(高容量、高次数力量训练)来将身体里的糖原耗尽
●钠的摄入保持常规水平
●在醒后1-2小时内去测,但是在这之前不要吃点或者喝点什么东西
第二次测量
●通过连续3天摄入极高碳水化合物饮食来充碳
●测量当日,摄入大量食物、水分和盐
●在下午或者晚上的餐后1-3小时测
●在做一些「充血式」训练后去测
基于我上面展示出的研究,理论上来讲你可以看到平均大约5磅的瘦体重增长,而没有增长体脂。有的人可能甚至还有更高的增长,然而这并不是身体成分的真实改变。
另外,我写这篇文章并不是鼓励你去在体脂测试上去作弊,否则你只是在欺骗你自己,而是为了阐述标准化体脂测量的重要性,即使是使用像DEXA这样的方法。
标准
●穿相同的衣服
●一夜禁食后上午测量
●测量前没有锻炼
●保持水合状态(不要脱水)
●饮食构成或者能量摄入最近没有很大的改变
●对于DEXA,确保在相同的仪器上测量,用相同的软件,以及测量人员的桌上有标准化你身体成分的方法
最后强调一次,即使标准化了,体脂测试依旧是粗略的估算。
好了,那么到目前为止该系列的文章就更新完毕了,希望大家喜欢。
以上就是今天的分享,如果你觉得对你有帮助,请分享给更多人。#2019我要瘦!#
参考文献:
[1]Fritz Horber,F Thomi,J P Casez,J Fonteille,Ph.Jeager.Impact of hydration status on body composition as measured by dual energy X-ray absorptiometry (DXA) in normal volunteers and patients on hemodialysis.British Journal of Radiology 65(778):895-900 .November 1992.
[2]Grant M Tinsley,Elisa Morales,Jeffrey S Forsse,Peter W Grandjean.Impact of Acute Dietary Manipulations on DXA and BIA Body Composition Estimates.Medicine and Science in Sports and Exercise 2017, 49 (4): 823-832.
[3]M R Gallagher,Karen Z Walker,K O'Dea.The influence of a breakfast meal on the assessment of body composition using bioelectrical impedance.European Journal of Clinical Nutrition 52(2):94-7.February 1998.
[4]Frode Slinde,Lena Rossander-Hulthén.Bioelectrical impedance: effect of 3 identical meals on diurnal impedance variation and calculation of body composition.The American Journal of Clinical Nutrition, Volume 74, Issue 4, 1 October 2001, Pages 474–478.
[5]Fogelholm M., Sievänen H., Kukkonen-Harjula K., Oja P., Vuori I. (1993) Effects of Meal and Its Electrolytes on Bioelectrical Impedance. In: Ellis K.J., Eastman J.D. (eds) Human Body Composition. Basic Life Sciences, vol 60. Springer, Boston, MA.
[6]Marc-Antoine Rouillier,Sarah David-Riel,Anne-Sophie Brazeau,David St-Pierre.Effect of an Acute High Carbohydrate Diet on Body Composition Using DXA in Young Men. Annals of Nutrition and Metabolism 66(4):233-236.July 2015.
[7]Julia Bone,Megan L R Ross,Kristyen A Tomcik,Nikiki A Jeacocke.Manipulation of Muscle Creatine and Glycogen Changes DXA Estimates of Body Composition. Medicine & Science in Sports & Exercise 49(5):1.November 2016.