
宇宙间任何的电磁现象,
皆可由此方程组解释。
——节选自《人类最美的54个公式》
实验室里,鸦雀无声。
赫兹正全神贯注地盯着两个相对的铜球,下一秒他合上了电路开关。
顿时,电的魔力开始在这个简单的系统里展现出来,无形的电流穿过装置里的感应线圈,开始对发生器的铜球电容进行充电。随着“啪”的一声,赫兹的心仿佛被提到了嗓子眼,发生器上已经产生了火花放电,接收器又是否会同时感应生出美丽的火花?
赫兹的手心早已出汗,真的有一种看不见、摸不着、玄而又玄的电磁波吗?
历史性的时刻终于到来——
瞬间,一束微弱的火花在接收器的两个小球间一跃而过!
赫兹激动地蹦了起来,是的,他胜利了!麦克斯韦的理论也胜利了! 电磁波的确真真实实地存在于空间之中,正是它激发了接收器上的电火花。
万有引力般的超距作用力
很久以前,人类就对静电和静磁现象有所发现,但在漫长历史岁月里,两者井水不犯河水。
由于摩擦起电,在古希腊及地中海区域的古老文化里,早有文字记载,将琥珀棒与猫毛摩擦后,会吸引羽毛一类的物质,“电”的英文语源更是来自于希腊文“琥珀”一词。
而关于磁,中国是对磁现象认识最早的国家之一。公元前4世纪左右成书的《管子》中就有:“上有慈石者,其下有铜金。”这是对磁的最早记载。其他古籍如《山海经》、《吕氏春秋》中也可以找到一些磁石吸铁现象的记载。
发现电与磁之间有着某些相似规律,则要追溯到物理学家库仑的小小野心。1785年,作为牛顿的忠实追随者,库仑正在试图变得比牛顿本人“更牛顿”,把万有引力的套路应用到静电学中,如同星球间发生万有引力的作用,两个带电球之间的作用力是否也同样遵循着平方反比律?为此,他精心设计了一个扭秤实验,如图9-1所示,在细银丝下悬挂一根秤杆,秤杆挂有一个平衡小球B和一个带电小球A,在A旁还有一个和它一样大小的带电小球C。
A球和C球之间的静电力会使得悬丝扭转,转动悬丝上端的悬钮,进而使小球回到原来位置。在这个过程中,可通过记录扭转角度、秤杆长度的变化,计算得知带电体A、C之间的静电力大小。

图9-1 库仑扭秤实验
实验结果正如库仑所料,静电力与电荷电量成正比,与距离的平方反比关系。这一规律后来被总结为“库仑定律”。既然库仑定律与万有引力之间存在着这样惊奇地相似之处,那么,是否在磁的世界里也存在同样的情况?随后,库仑对磁极进行了类似的实验,再次证明:同样的定律也适用于磁极之间的相互作用。这就是经典磁学理论。
库仑发现了磁力和电力一样遵守平方反比律,却并没有进一步推测两者的内在联系。和当时大多数数学物理学家一样,他相信物理中的“能量、热、电、光、磁”甚至化学中所有的力都可描述成像万有引力般的超距作用力,而力的强度取决于距离。只要再努力找到几条力学定律,那整个物理理论就能完整了!
库仑这种天真的想法很快就被迅速打脸,万有引力般的超距作用显然没有那么强大,但是库仑定律的提出还是为整个电磁学奠定了基础。
终成眷属的电与磁
最先发现电和磁之间联系的,是丹麦物理学家奥斯特。
1820年的奥斯特,是哥本哈根大学一位颇有魅力的教授,从不照本宣科,凡事只讲究实践是检验真理的唯一标准,所以一上课常二话不说就带着学生做实验,学生也很少翘课。有一天,他意外地在实验中发现了电流的磁效应:当导线通电流时,下方的小磁针产生偏转。
这一惊人的发现,首次将电学和磁学结合了起来。从此,电磁学蓬勃发展,有眼力的年轻人纷纷转行投身其中进行深入研究,这当中就包括数学神童——安培。
当安培得知奥斯特发现电和磁的关系时,他立马放弃了自己小有成就的数学研究,进军物理学领域,并以其野兽般的敏锐直觉,提出了我们广为熟知的右手螺旋定则,用来判断磁场方向,如图9-2所示,大拇指的方向为电流方向,四指的绕向为磁场方向。

图9-2 安培右手螺旋定则
在实验中,安培发现不仅通电导线对磁针有作用,而且两根平行通电导线之间也有作用,同向电流相互吸引,反向电流相互排斥。
数理本一家,在通往物理的康庄大道上,安培没有忘本,反而利用了老本行的优势,将电磁学研究真正数学化。他在1826年直接推导得到了著名的安培环路定理,用来计算任意几何形状的通电导线所产生的磁场,这一定理后来成为了麦克斯韦方程组的基本方程之一。
安培也由此成为了电磁学史上不容或缺的人物,被麦克斯韦誉为“电学中的牛顿”。
法拉第:
麦克斯韦背后的男人
1860年,麦克斯韦见到了他生命中最重要的男人:法拉第。
法拉弟唤醒了麦克斯韦方程组中除了安培环路定理之外的另一个基本方程,是麦克斯韦成功迈向电磁学巅峰的背后的男人。
家境贫寒的法拉第,童年是在曼彻斯特广场和查里斯大街度过的。年幼的他曾在书店当装订工,凭着一腔孤勇的科学欲望,他毛遂自荐成为了英国皇家学院“电解狂魔”戴维的助手,从此与电磁学结下不解之缘。
1831年,法拉第发现了磁与电之间的相互联系和转化关系。只要穿过闭合电路的磁通量发生变化,闭合电路中就会产生感应电流,如图9-3所示。这种利用磁场产生电流的现象被称为电磁感应,产生的电流叫做感应电流。

图9-3 电磁感应实验
但这些观察结果还只属于零碎的作用证据,电流的实质是什么?通电线圈如何在没有直接接触时作用于磁铁?运动的磁铁如何产生电流?那时,并没有人能够以系统或综合的方式来真正理解它们。
大多数人还沉迷于用超距力理论来对电和磁的现象做出解释。而法拉第却播下了一颗与众不同的思维火种,他以自己的慧眼看到了力线在整个空间里穿行,如图9-4,这实际是否认了超距作用的存在。他还设想了磁铁周围存在一种神秘且不可见的“电紧张态”,即我们今天所称之为的“磁场”。他断定电紧张态的变化是导致电磁现象产生的原因,甚至猜测光本身也是一种电磁波。

图9-4 法拉第力线示意图
不过,将这些想法打造成为完整的理论超出了他的数学能力,只读了两年小学的法拉第,数学水平还停留在只知道一些代数和三角函数上。或许,一个不懂数学,另一个却精通数学,这正为法拉第和麦克斯韦的一见如故埋下了伏笔。
法拉第发现电磁感应这一年,恰逢麦克斯韦诞生。
整整40岁的年龄差,可麦克斯韦在读到法拉第《电学实验研究》一书时,还是轻易地就被法拉第的魅力吸引。数理功底扎实的他,决定用数学定量表述法拉第的电磁理论。
1855年麦克斯韦发表了第一篇电磁学论文《论法拉第的力线》,通过数学方法,他把电流周围存在磁力线的特征,概括为一个矢量微分方程,导出了法拉第的结论。而在这一年,法拉第告老退休,看到论文时大喜过望,立刻寻找这个年轻人,可是麦克斯韦却杳如黄鹤,不见踪影。
直到5年后,孤独的法拉第在1860年终于等来了麦克斯韦,看着眼前这个不善言辞却老实诚恳的年轻小伙,法拉第面露喜色,语重心长地嘱咐:“你不应停留于用数学来解释我的观点,而应该突破它!”听了这句话,麦克斯韦虽表面波澜不惊,内心却汹涌澎湃,他开始全力进攻电磁学。
1862年麦克斯韦发表了第二篇电磁学论文《论物理力线》,这不再是简单地将法拉第理论进行数学翻译,这一次他首创“位移电流”概念,预见了电磁波的存在。两年后他发表第三篇论文《电磁场的动力学理论》,在这篇论文里,他完成了法拉第晚年的愿望,验证了光也是一种电磁波。
最后,麦克斯韦在1873年出版了他的电磁学专著《电磁学通论》。
这是电磁学发展史上一个划时代的里程碑。在这部著作里,麦克斯韦总结了前辈们各大定律,以他特有的数学语言,建立了电磁学的微分方程组,揭示了电荷、电流、电场、磁场之间的普遍联系。 这个电磁学方程,就是后来以他的名字著称的“麦克斯韦方程组”。
世上最伟大的公式
麦克斯韦方程组
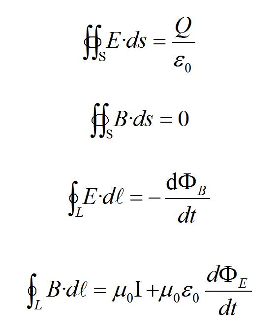
花开两朵,各表一枝。以电磁的蓝色火花幻化成的4个完美无缺的公式,共有积分和微分两种绽放形式。
以积分为对象,我们来解读一番麦克斯韦方程组专属数学语言背后的含义。

(1)电场的高斯定律:
第一个式子

是高斯定律在静电场的表达式,其中S是曲面积分的运算曲面,E是电场,ds是闭合曲面上的微分面积,

是真空电容率(绝对介电常数),Q是曲面所包含的总电荷。它表示,穿过某一封闭合曲面的电通量与闭合曲面所包围的电荷量Q成正比,系数是

。
在静电场中,由于自然界中存在着独立的电荷,电场线有起点和终点,始于正电荷,终止于负电荷,如图9-5所示。只要闭合面内有净余电荷,穿过闭合面的电通量就不等于零。计算穿过某给定闭合曲面的电场线数量,即其电通量,可以得知包含在这闭合曲面内的总电荷。

图9-5 静电场电荷
高斯定理反映了静电场是有源场这一特性,即它描述了电场的性质。
(2)磁场的高斯定律:
第二个式子

是高斯磁定律的表达式。其中,S、ds物理意义同上,B是磁场,它表示磁场B在闭合曲面上的磁通量等于0,磁场里没有像电荷一样的磁荷存在。
在磁场中,由于自然界中没有磁单极子存在,N极和S极是不能分离的,磁感线都是无头无尾的闭合线,如图9-6所示,所以通过任何闭合面的磁通量必等于零,即磁场是无源场。

图9-6 磁场与磁感线
这一定律和电场的高斯定律类似,它论述了磁单极子是不存在的,描述了磁场性质。
(3)法拉第定律:
第三个式子

是法拉第电磁感应定律的表达式。这个定律最初是一条基于观察的实验定律,通俗来说就是“磁生电”,它将电动势与通过电路的磁通量联系了起来,如图9-7所示。

图9-7 电磁感应
在此式中,L是路径积分的运算路径,E是电场,dl是闭合曲线上的微分,

代表穿过闭合路径L所包围的曲面S的磁通量(计算如式二左边),

表示磁通量对时间的导数。
它表示电场E在闭合曲线上的环量,等于磁场B 在该曲线包围的曲面S上通量的变化率,即闭合线圈中的感应电动势与通过该线圈内部的磁通量变化率成正比,系数是-1。
这一定律反映了磁场是如何产生电场的,即它描述了变化的磁场激发电场的规律。按照这一规律,当磁场随时间而变化时可以感应激发出一个围绕磁场的电场。
(4)麦克斯韦—安培定律:
第四个式子

是麦克斯韦将安培环路定理推广后的全电流定律。
其中,左边L、B、dl物理意义同上,分别是路径积分的运算路径、磁场、闭合曲线上的微分。右边

是磁常数,Ι是穿过闭合路径L所包围的曲面的总电流,

是绝对介电常数,

是穿过闭合路径L所包围的曲面的电通量(计算如式一左边),

表示电通量对时间t的导数,也即变化率。
它表示,磁场B在闭合曲线上的环量,等于该曲线包围的曲面S里的电流Ι(系数是磁常数),加上电场E在该曲线包围的曲面S上的通量的变化率(系数是

)。
原安培环路定律是一系列电磁定律,它总结了电流在电磁场中的运动规律,如图9-8所示。安培定律表明,电流可以激发磁场,但它只限用于稳恒磁场。

图9-8 安培环路定理
因此,麦克斯韦将安培环路定理推广,提出一种“位移电流”假设,得出一般形式下的安培环路定律,揭示出磁场可以由传导电流激发,也可以由变化电场的位移电流所激发。
传导电流和位移电流合在一起,称为全电流,这就是麦克斯韦—安培定律。
这一定律反映了电场是如何产生磁场的,即描述了变化的电场激发磁场的规律。这一规律和法拉第电磁感应定律相反:当电场随时间变化时,会诱导一个围绕电场的磁场。
一言以蔽之,这一组积分方程由4个式子组成,其中2个关于电场、2个关于磁场,一起反映了空间某区域的电磁场量(E、B)和场源(电荷q、电流I)之间的关系。
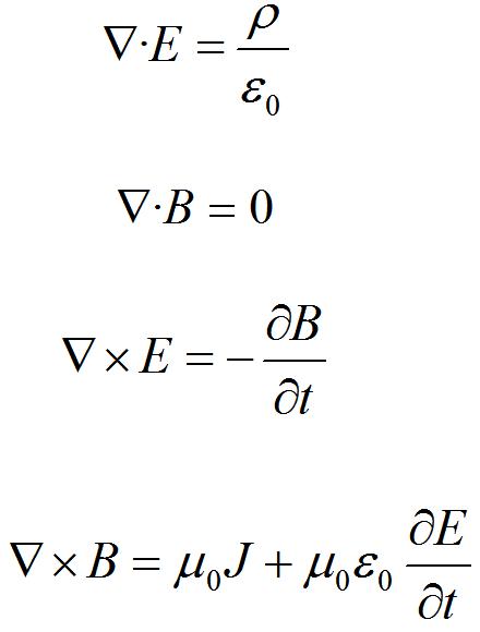
从数学上来说,积分和微分互为逆运算。
因此,如果将这一组积分方程进行转化,就可以得出一组如下的微分方程,两者数学形式不同,但物理意义是等价一致的,在实际应用中,微分形式会出现得频繁些。

它们表明,电场和磁场彼此不是孤立的,变化的磁场可以激发涡旋电场,变化的电场可以激发涡旋磁场,它们永远密切地联系在一起,相互激发,组成一个统一的电磁场的整体。
这就是麦克斯韦方程组的基本概念,也是电磁学的核心思想。
英国科学期刊《物理世界》曾让读者投票评选了“最伟大的公式”,最终榜上有名的十个公式里,有著名的E=mc2、复杂的傅立叶变换、简洁的欧拉公式……但“麦克斯韦方程组”排名第一,成为“世上最伟大的公式”。
或许,并不是每个人都能看懂这个公式,但任何一个能把这几个公式看懂的人,都一定会感到背后有股凉风。虽然自然界冥冥之中自有感应,但怎么有人能解释如此完美的方程?
这组公式融合了电的高斯定律、磁的高斯定律、法拉第定律以及安培定律,完美地揭示了电场与磁场相互转化中产生的对称性优美,统一了整个电磁场。比较谦虚的评价是:“一般地,宇宙间任何的电磁现象,皆可由此方程组解释。”
光电磁一统江湖
与后世获得如此盛誉相反的是,麦克斯韦方程组首次亮相时,其实几乎无人问津。
麦克斯韦预言了电磁波的存在,并从方程组中推测出光是一种电磁波。这些想法惊世骇俗,但当时大多数人并不买账。人们对于这个尚未得到实验验证的理论怀疑甚深,世界上只有少数科学家愿意接受这个理论并给予支持,赫兹就是其中一位。
他是第一个研究验证麦克斯韦观点的人,尽管他与麦克斯韦素未谋面,却对这位前辈的理论深信不疑,并自1886年起就孜孜不倦地地投入到寻找电磁波的研究之中。
赫兹的实验装置极为简单,主要是由他设计的电磁波发射器和探测器组成,但这拉开了无线电运用的序幕,成为了后来无线电发射器和接收器的开端。如图9-9所示,两块锌板,每块都连着一根端上装着铜球的铜棒,两个铜球离得很近。两根铜棒分别与高压感应圈的两个电极相连,这就是电磁波发生器。在离发生器10米远的地方放着电磁波探测器,那是一个弯成环状、两端装有铜球的铜棒,两个铜球间的距离可用螺旋调节。

图9-9 赫兹实验示意图
如果麦克斯韦是对的话,那么合上电源开关时,发射器的两个铜球之间就会闪出耀眼的火花,产生一个振荡的电场,同时引发一个向外传播的电磁波,在空中飞越穿行,到达接收器,在那里感生一个振荡的电动势,从而在接收器的开口处也同样激发出电火花来。
实验室里,赫兹把门窗遮得严严实实,不让一丝光线射进来。他再一次紧张地调节着探测器的螺丝,让两个铜球越靠越近。突然,两个铜球的空隙也跳跃着微弱的电火花,一次,两次,三次,他的眼睛没有看错,这就是电磁波!两年来,历经千百次探究,赫兹终于成功用实验证明了电磁波的存在。此后,再也没有人怀疑麦克斯韦的理论。
比这个更值得欣喜的是,1888年的初春,赫兹通过其他实验证明了光是一种电磁现象,可见光仅仅只是电磁波的一种。
在麦克斯韦年代尚属完全未知的不可见光,经赫兹的开拓性研究带来了无线电波后,不可见光在后世可是发挥了巨大威力,演化成了现代科技的源泉。正如赫兹所感慨的:“麦克斯韦方程组远比它的发现者还要聪明。”
以后人的角度来看,这组方程的最大贡献在于明确解释了电磁波怎样在空间传播。
根据法拉第感应定律,变化的磁场会生成电场;根据麦克斯韦-安培定律,变化的电场生又成了磁场,正是这不停的循环使得电磁波能够自我传播,如图9-10所示。

图9-10 电磁波
但这种对物质世界的新描绘,打破了当时固有的思维,引起一片哗然。
光的本性是什么?究竟粒子还是波?有关这一问题,人类已喋喋不休地争论了几个世纪。第一次波粒大战发生在17世纪,牛顿以“光的色散实验”直捣胡克站台的波动说,那时,胡克已垂垂老矣,禁不起再三折腾,于是,波动说就这样被牛顿打入冷宫100多年。
直到托马斯·杨的双缝干涉实验的出现,才吹响了第二次波粒战争的号角,波动说卧薪尝胆多年也终于找到了绝地反击的机会。尤其在麦克斯韦预言“光是一种波”以及这一预言为赫兹的实验所证实后,波动说更是意气风发,把微粒说弄得灰头土脸。
当时,麦克斯韦提出:电可以变成磁,磁可以变成电,电和磁的这种相互转化和震荡不就是一种波吗?电磁场的振荡是周期存在的,这种振荡叫电磁波,一旦发出就会通过空间向外传播。但更神奇的是,当他用方程计算电磁波的传播速度时,结果接近300000公里/秒,恰与光的传播速度一致。这显然不只是个巧合。
电磁扰动就是光,光在本质上不过是电场和磁场的扰动。
借助麦克斯韦的这一睿智洞察和后来赫兹铁证如山的验证,人类成功地在认识光的本性上跨越了一大步。 波动说也开始开疆扩土,太阳光不过只是电磁波的一种可见的辐射形态。不限于普通光线,我们可以向不可见光进军,从无线电波到微波,从红外线到紫外线,从X射线到Y射线……将这些电磁波按照波长或频率的顺序排列起来,就形成了电磁波谱。
而后,无线电波用于通信、微波用于微波炉、红外线用于遥控、紫外线用于医用消毒……这些不同形式的“光”逐渐组成了现代科技的根基。 因此可以说,如果没有麦克斯韦,收音机、电视、雷达、电脑等有关电磁波的东西都将不复存在。
一统光电磁,完成了科学史上第二次伟大的综合之后,麦克斯韦于1879年溘然长逝。也就在这年,一个婴儿诞生了,这个婴儿名为爱因斯坦。
52年后,这个已长大成人的婴儿,于麦克斯韦百年诞辰的纪念会上盛赞麦克斯韦对物理学做出了“自牛顿以来的一次最深刻、最富有成效的变革”。并一生都以麦克斯韦方程组为科学美的典范,试图以同样的方式统一引力场,将宏观与微观的两种力放在同一组式子中。
往后,这一信念深刻影响了整个物理界,在“大一统理论”这条路上,物理学家们前赴后继地探究着科学的终极。
结语
黑暗从此消失
如果说17世纪是一部牛顿力学史,那么19世纪便是一部麦克斯韦电磁学史。
17世纪,牛顿定律让现代机械原理催生出蒸汽机,机器首次取代人力,人类进入“蒸汽时代”。
而后19世纪,麦克斯韦方程组启迪了爱迪生等发明家,电首次取代蒸汽,人类进入“电力时代”。
相比于自然律隐没在黑暗中,万有引力让天地万物遂成光明,麦克斯韦方程组则突破了自然律,让黑暗从此消失。
1888年,赫兹实验里那束微弱的只有指缝大小的电火花,让光与电、电与磁处于电磁力的统一掌握之中,人类文明呈几何级迅猛前进。
然而,比赫兹料想的更为惊人的是,在他死后的第7年,1901年,那束电火花又通过无线电报穿越大西洋,实现了全球的实时通讯,整个人类进入了一个崭新的“信息时代”。