在目前推荐用于心衰治疗的标志性临床试验中,老年患者代表性往往不足,试验纳入的患者平均年龄在60岁左右。而且,老年心衰患者的药物治疗常常因肾功能不全或低血压等合并症而受限。此外,老年患者还有可能服用多种药物,而多种药物治疗与药物相互作用和副作用的风险增加有关。
医脉通编译整理,未经授权请勿转载。
虽然副作用的发生率因年龄而异,但心衰治疗方法在老年患者中与年轻患者没有区别,并且适用的原则相同。因此,建议遵循指南中的相关推荐(表1)。推荐利尿剂用于有充血症状和体征的患者,指南推荐的其他药物旨在改善发病率和死亡率。
表1 有症状(NYHA心功能II~IV级)HFrEF患者治疗方法的指南推荐

如果患者仍有症状,则按顺序进行治疗
ACEI,血管紧张素转换酶*制剂抑**;ARB,血管紧张素II受体阻滞剂;CRT,心脏再同步治疗;ICD,植入式心律转复除颤器
ACEI和ARB
HFrEF治疗的首个重大突破是发现血管紧张素转换酶*制剂抑**(ACEI)改善了HFrEF患者的死亡率。指南建议所有HFrEF患者均应使用ACEI。虽然支持使用ACEI的两项主要试验没有针对年龄进行特异性分析,但包括这两项试验和其他一些小型试验在内的荟萃分析显示,ACEI在各年龄组的疗效相似(图1)。ACEI可改善死亡率,减少心衰的住院治疗,尤其是对于老年患者。

图1 根据HFrEF患者年龄,降低全因死亡率的疗效
对于不能耐受ACEI的患者,血管紧张素受体阻滞剂(ARB)是另一种选择。CHARM研究显示,在不能耐受ACEI的CHARM-Alternative组中,ARB坎地沙坦在各年龄段同样有效。这些药物在老年HFrEF患者中的疗效没有问题,因为在多个研究的大量患者中均没有年龄与治疗相互作用的证据。
ACEI和ARB可引起肾功能不全、高钾血症和低血压。由于老年患者的肾功能往往较差,并且经常出现低血压问题,因此这些副作用在老年患者中更为明显。但是,在治疗过程中仔细监测体液状态,这些问题是可以克服的。
2018年中国心力衰竭诊断和治疗指南指出,ACEI 能降低HFrEF 患者的住院风险和死亡率,改善症状和运动能力。随机对照试验证实在HFrEF患者中,无论轻、中、重度心衰,无论有无冠心病,都能获益。建议 所有HFrEF患者均应使用ACEI,除非有禁忌证或不能耐受(I,A)。
ARB耐受性好,长期使用可改善血流动力学,降低心衰的死亡率和因心衰再住院率,特别是对不能耐受ACEI的患者。推荐用于不能耐受ACEI的HFrEF患者(I,A);对因其他适应证已服用ARB的患者,如随后发生HFrEF,可继续服用ARB(IIa,A)。
β受体阻滞剂
β受体阻滞剂可降低有症状心衰患者的死亡率和发病率,目前的指南建议,一旦确诊为HFrEF,立即联合使用ACEI和β受体阻滞剂。根据现行标准,证明β受体阻滞剂获益的主要临床试验已在相对年轻的人群中进行。
与ACEI和ARB不同,在SENIORS研究中,β受体阻滞剂已经在老年人群中进行了试验。SENIORS研究仅纳入年龄在70岁或以上的患者。与安慰剂相比,使用β受体阻滞剂奈必洛尔与全因死亡率和住院率降低14%相关(HR 0.86,95%CI 0.74-0.99,p=0.039)。这主要是由于住院率降低而非死亡率降低,奈必洛尔并未降低死亡率(HR 0.88,95%CI 0.71-1.08,p=0.21)。
由于HFPEF在老年人中的患病率较高,SENIORS研究人员招募了HFPEF和HFrEF患者;然而,只有35%的患者射血分数>35%。因此,尽管射血分数与奈必洛尔的疗效之间没有相互作用,可只有少数患者的射血分数≥40%,这意味着该疗法不被考虑用于治疗HFPEF。但是,SENIORS研究确实提供了老年人使用β受体阻滞剂的安全性和耐受性信息。
2018年中国心力衰竭诊断和治疗指南指出,临床试验已证实HFrEF患者长期应用β受体阻滞剂(琥珀酸美托洛尔、比索洛尔及卡维地洛),能改善症状和生活质量,降低死亡、住院、猝死风险。建议 病情相对稳定的HFrEF患者均应使用β受体阻滞剂,除非有禁忌证或不能耐受(I,A)。
醛固酮受体拮抗剂
醛固酮受体拮抗剂(MRA)螺内酯和依普利酮已在两项大型随机试验中对HFrEF患者进行了测试。螺内酯在RALES研究中进行了测试,研究对象为NYHA心功能III级和IV级的HFrEF患者。结果显示,螺内酯可降低所有年龄段的死亡风险(图1)。MRA依普利酮在NYHA心功能II级患者中同样有效(图1)。
与ACEI和ARB一样,MRA也可能导致肾功能不全和高钾血症,它们可以用相同的方式进行处理。目前,MRA适用于接受ACEI或ARB联合β受体阻滞剂治疗后仍有症状(NYHA 心功能II级或更高)的患者。
2018年中国心力衰竭诊断和治疗指南建议,MRA用于LVEF≤35%、使用ACEI/ARB/ARNI和β受体阻滞剂治疗后仍有症状的HFrEF 患者(I,A);急性心肌梗死后且LVEF≤40%,有心衰症状或合并糖尿病者(I,B)。
沙库巴曲/缬沙坦
沙库巴曲/缬沙坦是首个血管紧张素受体脑啡肽酶*制剂抑**(ARNI)。该药物是由ARB(缬沙坦)与脑啡肽酶*制剂抑**(沙库巴曲)结合而成。该药物的目的是用缬沙坦抑制肾素-血管紧张素-醛固酮系统,并通过脑啡肽酶抑制增加利钠肽。因此,它不应与ACEI或ARB同时使用,在开始治疗之前,患者必须停用ACEI 36小时。
PARADIGM-HF研究显示,在降低心血管死亡或心衰住院率和全因死亡率方面,沙库巴曲/缬沙坦优于ACEI依那普利。该研究中患者的平均年龄为64岁,近五分之一的患者(18.6%)年龄在75岁或以上。对于所有的研究终点,沙库巴曲/缬沙坦的获益(包括全因死亡率)在各年龄段是一致的(图1)。
主要指南对研究的解释略有不同,欧洲指南建议尽管使用ACEI或ARB,β受体阻滞剂和MRA后仍有症状的患者使用ARNI;美国指南比较宽松,允许ARNI在HFrEF早期治疗时替代ACEI或ARB。
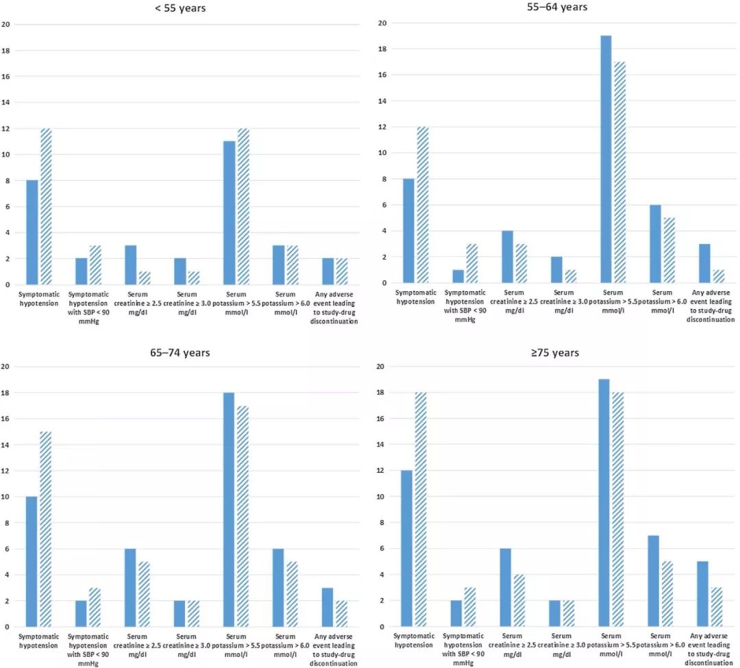
沙库巴曲/缬沙坦与肾素-血管紧张素-醛固酮系统的其他*制剂抑**类似,它能导致低血压、肾功能损害和高钾血症。然而,与依那普利相比,沙库巴曲/缬沙坦导致的肾功能不全和严重的高钾血症较少见,且在不同年龄组间发病率无差异。与依那普利相比,低血压在沙库巴曲/缬沙坦更常见,但在老年人中并不常见(图2)。

图2 根据年龄,沙库巴曲/缬沙坦与依那普利的安全性比较(P值均>0.05)
最后,有一些人担心存在理论上的风险,即当脑啡肽酶分解β淀粉样肽时,抑制脑啡肽酶可能会增加阿尔茨海默病型痴呆的风险。然而,在PARADIGM-HF的回顾性分析中,报告的痴呆率与许多其他心衰药物试验(包括ARB、他汀类药物和直接肾素*制剂抑**)没有差异。
2018年中国心力衰竭诊断和治疗指南建议,对于NYHA心功能II~III级、有症状的HFrEF 患者,若能够耐受ACEI/ARB,推荐以ARNI替代ACEI/ARB,以进一步减少心衰的发病率及死亡率(I,B)。
伊伐布雷定
当患者处于窦性心律,并且不能服用β受体阻滞剂(例如存在哮喘或心动过缓等禁忌证)或使用最大耐受剂量的β受体阻滞剂后心率仍>70 bpm时,If通道*制剂抑**伊伐布雷定可用于治疗HFrEF。这是在SHIFT研究基础上得出的结论,该研究证明伊伐布雷定降低了心血管死亡或心衰住院治疗的复合终点(虽然主要减少的是心衰住院治疗)。在对年龄组的分析中,研究人员发现伊伐布雷定在各年龄组的疗效没有差异。
2018年中国心力衰竭诊断和治疗指南建议,NYHA心功能II~IV级、LVEF≤35%的窦性心律患者,合并以下情况之一可加用伊伐布雷定:①已使用ACEl/ARB/ARNI、β受体阻滞剂、醛固酮受体拮抗剂,β受体阻滞剂已达到目标剂量或最大耐受剂量,心率仍≥70 bpm(IIa,B);②心率≥70 bpm,对β受体阻滞剂禁忌或不能耐受者(IIa,C)。
地高辛
地高辛用于治疗心衰已有200多年的历史。洋地黄调查组(DIG)研究检验了地高辛在HFrEF患者中的疗效,地高辛未能降低HFPEF患者的全因死亡率(主要终点),但降低了心衰死亡或心衰住院治疗的次要终点,这些影响在个年龄段都是相同的。
2018年中国心力衰竭诊断和治疗指南建议,洋地黄类药物用于应用利尿剂、ACEI/ARB/ARNI、β受体阻滞剂和醛固酮受体拮抗剂,仍持续有症状的HFrEF患者(Ⅱa,B)。
肼苯哒嗪和硝酸异山梨酯
肼苯哒嗪联合硝酸异山梨酯已在随机试验中进行了研究。虽然在ACEI出现之前,这种联合用药是有益的,但与ACEI进行对照时,并未改善预后。但是,非洲裔患者的亚组似乎确实获益,并且在随后的A-HeFT研究中,该组合降低了全因死亡或心衰住院治疗的主要终点。导致这一结果的原因,认为是由于非洲裔患者的肾素-血管紧张素-醛固酮系统活化水平较低,对ACEI的应答较弱。因此,对于那些不能耐受ACEI、ARB或ARNI的患者,肼嗪和硝酸异山梨酯仍然是一种选择。
2018年中国心力衰竭诊断和治疗指南指出,对于无法使用ACEI/ARB/ARNI的有症状HFrEF患者,合用硝酸酯与肼屈嗪治疗可能有助于改善症状。

图3 慢性HFrEF患者的治疗流程(来源:中国心力衰竭诊断和治疗指南2018)
参考文献:
[1] Osmanska J, Jhund P. Contemporary management of heart failure in the elderly[J]. Drugs and Aging, 2018.
[2] 中华医学会心血管病学分会心力衰竭学组, 中国医师协会心力衰竭专业委员会中华心血管病杂志编辑委员会. 中国心力衰竭诊断和治疗指南2018. 中华心血管病杂志, 2018, 46(10): 760-789.