作者微信公众号:有金有险
知乎:思凯
上一讲我们提到了金融衍生品,其中重点介绍的是期权(点此链接)。人们通过购买期权合同的方式锁定了未来的价格,然而在现实中,我们发现市场中的期权价格是一直在变化的,那么问题就来了:我们如何判断什么时候期权是可以对冲未来的风险的?或者说,我们是如何设定一份期权合同的价格的呢?
最早的期权定价是依据直觉和经验的,五年前我们签订的小麦期权合同是五块钱,今天我们签订的豆粕期权合同也遵循前例。这无疑十分不合理,也弱化了期权合约的风险管理作用,于是数学工具在1900年左右引入了期权研究领域,而问题最终在1960年代得到了解决。
解决这个问题的是一个三人组合:费舍尔·布莱克(Fischer Black)、迈伦·斯科尔斯(Myron Scholes)和罗伯特··默顿(Robert Merton)。布莱克本来是一个搞物理数学研究的,但因为嫌弃这个学科太抽象,就到一家波士顿的管理咨询公司上班去了。他是一个不爱说话的人,然而在很多年后在美国经济协会主席的就职演说上,他发表了一份题目为Chaos(喧嚣)的演讲。而斯科尔斯当时已经是MIT的老师,他之所以要一路念到博士,是因为不想继承家业,去做家族传统的印刷业。默顿当时同样在MIT工作,工作是协助经济学史上的里程碑式的人物萨缪尔森,他是三个人里唯一一个没有拿到博士学位的。后来默顿和斯科尔斯因为期权定价工作获得了1997年的诺贝尔将,而斯科尔斯因为在1995年去世,没有拿到这项荣誉。

△费舍尔·布莱克
1965年的时候,杰克·特雷诺(Jack Treynor)正在研究资本市场是如何交易风险和收益的问题,后来我们熟知的研究基金风险的特雷诺指数(Treynor Ratio)也是这项工作的一个部分。他向好朋友布莱克展示了一个相关的模型,但是模型还没有求解,这让搞数学的布莱克十分兴奋,他敏锐地意识到这个模型可以运用到期权定价的研究中去,然后就着手开始进行推导。

△迈伦·斯科尔斯
结果这一推就是三年,布莱克还是求不出一个均衡的结果。这时他邀请了斯科尔斯加入这个工作,他们在工作中发现,尽管特雷诺的模型提供了一个很好的研究模式,但是他们所要研究的期权问题,与特雷诺的模型有很大的差异。于是在1970年,他们又邀请了默顿加入,默顿从金融的视角审视了模型,然后提出了一些修正的看法,很快,模型就得到了结果。模型一经刊载,就在学术界和业界引起了巨大的震动,并很快成为资产定价研究和交易定价模型的里程碑,那么这个以布莱克和斯科尔斯名字首字母命名的BS模型(有些地方为了纪念默顿的工作,也叫它B-S-M公式),到底讲了些什么?

△罗伯特·默顿,这个时候他还有头发
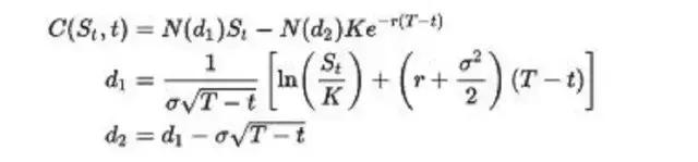
BS模型本身是一个非常复杂的数学计算,如其名那样是对大家智商的一次大型鄙视,学过金融学的同学应该都能回忆起当年推导模型时被支配的恐惧。在模型里,期权的价值取决于四个要素的作用,分别是时间、价格、利率和波动性。而下面我们会用股票看涨期权的例子来对这个模型进行解释。 时间的作用机制很好理解,距离到期时间长的期权会比距离到期时间短的期权更有价值,时间价值在金融理论中的作用永远不会磨灭。而价格在价值中的作用这句话,在中文语境下有点拗口,一不小心还会变成马克思主义政治经济学的大讨论,在这里它是指股票当前价格和期权合约规定的行权价格的差异,当行权价格低于实际价格时,这份看涨期权的价值会更高。期权的价值还要取决于等待执行期间的资金利息和期权卖家同期的潜在收益,因为这会影响相关参与方的长期决策。最后也是最重要的一个因素,是资产未来预期的变动,也就是资产价格波动性。

△BS模型
假如现在贵州茅台的股票价格是100元,而我们购买了一份价值3元的期权,允许我们在11月底到12月底之间,可以用101元买入一手茅台的股票。如果在11月底到12月底,贵州茅台的股票跌倒了90块钱,那么对于我们而言,我们的损失有多高?3元。
其实就算茅台跌到了10块钱一股,我们的损失还是3块钱。如果股票价格在101到104元之间波动,那期权持有者的收益不会超过3块钱。而如果价格超过104元,那么理论上期权合同的持有者可能会有无限大的收益。 这样,我们就可以看出波动性为什么是最重要的因素了。
期权购买者会寻找表现活跃的股票,而期权的出售者更希望股价保持稳定。如果股价达到105元,那期权购买者会行权,那么期权的出售者会损失2块钱,而如果股价是99元,期权的出售者则会赚到3块钱。这样,事实上我们发现BS模型里,我们看上去完全规避了主观成分,只要从波动率、无风险利率和时间期限这几个参数入手,就可以得到结果。
而在这样的定义下,期权实际上是一份保险合同。购买保险合同时,购买保险的人有权在一定时间以约定价格把某种东西(比如剐蹭的汽车、医院的账单或者长期单身的证明)交给保险公司,而保险公司必须支付赔偿,单身如果你的车没有被蹭,你没有生病或者你嫁了高帅富,保险公司都不会付钱。
于是在BS的分析框架下,期权实际上是一个管理风险的工具,这符合我们对期权工具最初的认知,并且可以用上述四个参数进行定量化的描述,而这个工具可以拓展到几乎所有风险管理的产品之上(比如保单),甚至如果你开心,可以用它来管理这个世界所有的风险。这很理想化,但是也很能激励所有的金融从业者,谁不想拥有一个可以所有不确定性都可以量化的世界呢?而BS模型恰恰提供给我们一个如此面对世界的方式,这正是它的伟大之处。