国际肝胆资讯
索拉序贯瑞戈一直是大家常用的序贯方案,瑞戈非尼也是官方指定的肝癌二线标准治疗方案,在RESORCE研究中, 索拉非尼序贯瑞戈非尼可达到26个月的长期生存 。此外,来自西班牙、日本两国的两项真实世界研究显示:索拉非尼序贯瑞戈非尼中位OS高达28个月。更有肝移植复发患者同样可从该序贯方案中获益。然而,目前还不清楚哪些患者可能从索拉非尼-瑞戈非尼序贯疗法中获益更多。
肝移植复发患者接受索拉序贯瑞戈治疗mOS达28.8个月
这项观察性多中心回顾性研究入组患者均为接受肝移植(LT)后复发的肝癌患者。试验组未接受索拉非尼耐药后接受瑞戈非尼治疗患者的,而对照组是在索拉非尼耐药后接受了最佳支持治疗(BSC)的患者。研究的主要终点是试验组与对照组的总生存期(OS),次要终点为序贯治疗的安全性。 在132例停用索拉非尼的患者中,有81例患者对索拉非尼耐受:36例接受瑞戈非尼(组1),45例接受BSC(组2)。研究结果显示,组1的中位OS明显长于组2( 13.1个月vs 5.5个月 ;p = 0.002)。瑞戈非尼治疗是降低死亡率的独立预测因子(HR 0.37, 95%CI 0.16-0.89, p=0.02)。 瑞戈非尼的中位治疗时间为7.0个月(95%CI 5.5-8.5);22例(61%)患者因不良事件而减少瑞戈非尼的剂量,93%的患者因肿瘤进展而停用瑞戈非尼。 从索拉非尼开始计算的中位OS 在组1中为 28.8个月 (95%CI: 17.6-40.1),在组2中为15.3个月(95%CI: 8.8-21.7) (p=0.002)。可以看出,瑞戈非尼是肝移植后肝癌复发的索拉非尼耐药后的一种有效的二线治疗方法。
肝功能和AFP水平影响序贯治疗疗效
在抗癌治疗期间,肝储备可能恶化,而保留肝功能是实现良好的预后的序贯全身治疗的关键。既往研究也表明,在索拉非尼治疗失败后, 高度保存的肝功能(Child-Pugh A5或ALBI级1)对于不可切除的HCC患者的二线和三线序列治疗是有益的 。白蛋白胆红素(ALBI)分级和Child Pugh评分反映了肝储备,可作为肝癌患者接受抗癌治疗的预测因素。其次,甲胎蛋白(AFP)被认为是HCC的血清标志物,在一些患者中与肿瘤负担有关。在REACH-II研究中,400 ng/mL的AFP水平可作为雷莫卢单抗序贯治疗的选择标准。此外, 治疗中AFP的变化可能预测治疗反应 。 鉴于目前对肝细胞癌系统治疗的认识不足,研究人员试图调查索拉非尼治疗失败的不可切除肝细胞癌患者接受瑞戈拉非尼治疗后的肿瘤反应和生存结局的预测因素。 这是一项回顾性队列研究,2012年9月至2020年7月,共纳入88例接受索拉非尼-瑞戈非尼序贯治疗的不可切除肝癌患者。此外,研究人员纳入了另一组(n = 90)不可切除的HCC患者,这些患者在2012年9月至2019年9月索拉非尼治疗失败后未接受瑞戈非尼治疗,作为比较生存期的历史对照组。 大约56.7%和55.7%接受和未接受序贯治疗的队列分别在索拉非尼失败后接受了局部治疗,包括射频消融、经动脉化疗栓塞和放疗。接受瑞戈非尼序贯治疗和未接受瑞戈非尼序贯治疗的患者6个月OS率分别为89%和35.9%。 与未接受瑞戈非尼治疗的患者相比, 接受瑞戈非尼序贯治疗的患者中位OS明显更高 (p<0.001)。倾向评分匹配后,接受瑞戈非尼序贯治疗的患者OS明显高于未接受瑞戈非尼治疗的患者( p<0.001)。此外,瑞戈非尼治疗的中位无进展生存期(PFS)为4.2个月,中位OS未达到。索拉非尼-瑞戈非尼序贯治疗的中位OS也未达到。

根据mRECIST标准评估治疗反应。88例患者的客观缓解率和疾病控制率分别为19.3%和48.9%。亚组分析显示, Child-Pugh评分为5分的亚组DCR高于评分为6分的亚组 (55.9% vs. 33.3%, p = 0.089)。 ALBI 1级的亚组DCR明显高于ALBI 2级的亚组 (64.6% vs. 30%, p = 0.002)。

亚组分析:ALBI 2级且AFP水平≥20 ng/mL的患者和其他亚组合并患者的中位PFS分别为2.3 (95% CI: 1.8-2.8)和5.6个月(95% CI: 3.0-8.3)。

ALBI 2级且AFP水平≥20 ng/mL亚组的2年OS的概率明显低于其他亚组合并的概率,中位OS为26.0个月(p < 0.001)。

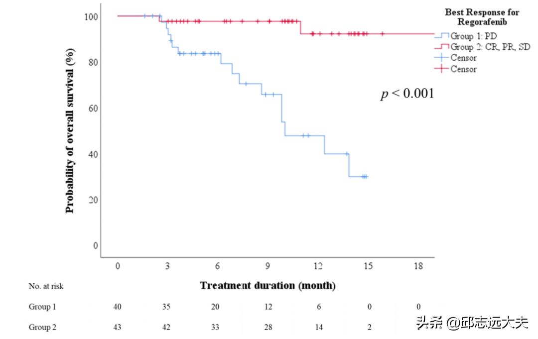
疾病进展(PD)亚组的中位生存期为10个月(95% CI: 6.9-13.2),显著低于实现疾病控制的亚组。

手足皮肤反应(HFSR)、腹泻和高血压是索拉非尼治疗期间(分别为59.1%、36.4%和14.8%)和瑞戈非尼治疗期间(分别为31.8%、38.6%和4.5%)最常见的三种不同级别的不良反应(AE)。在治疗过程中,HFSR的发生率和严重程度均有所下降。 36例患者在索拉非尼治疗期间没有发生HFSR,其中7例(19.4%)在瑞戈非尼治疗期间发生了HFSR。然而,对于在索拉非尼治疗期间出现任何HFSR的患者,在瑞戈非尼治疗期间HFSR的发生率和严重程度均降低。 在RESORCE研究中,在索拉非尼治疗后进展的晚期HCC患者中,瑞戈非尼治疗显示DCR为65.7%,并改善了生存期(索拉非尼-瑞戈非尼治疗的中位OS为26个月)。虽然Child-Pugh分级是最常用的肝功能评分系统,但ALBI分级更客观。在本研究中,证明了治疗中 ALBI级别 是瑞戈非尼治疗后的肿瘤反应和PFS以及索拉非尼-瑞戈非尼序贯治疗后OS的预测因子; 良好的肝脏储备和低水平的AFP与索拉非尼治疗后较长的中位OS独立相关 。这些数据都为临床医生和患者提供了治疗的依据。