第十三章对策论和策略行为
13.1对策论的基本概念
下棋打牌,你的输赢不光取决于你的决策,还取决于对手的决策。把多人决策的具体问题称为一局博弈或一场游戏,这就是对策论的研究内容。田忌赛马就是一场博弈。
策略又称战略,是参与者在一局博弈中的一套完整的行动计划。
正则式和展开式,用一套完整的报酬函数来描述、分析博弈的方式叫博弈的正则式。展开式有点像决策树,因而称博弈树。如下图所示:

13.2优势策略和囚犯两难
在之前分析过卡特尔博弈,就是如果两家公司在卡特尔中背离合约,那么他就能产生更多的收益,优势策略就是参与者的最佳策略,那么另外一家肯定也会违约,从而获得更多的收益,那这样博弈的结局就是:甲违约、乙违约,所以卡特尔是不稳定的。
还有一个囚犯两难的问题,就是两嫌疑犯作案后被捕,起诉机构没有足够的证据证明他们抢了银行。所以两犯人不坦白,起诉者就只能用非法持有*器武**罪起诉,判2年徒刑。起诉者就会向犯人采用攻心战,坦白从宽,抗拒从严,如果一人坦白,则坦白者从宽,判1年,抗拒者判12年。如果两人都坦白,每人判处10年。
在这里,其实甲的最优策略是坦白,同样乙的最优策略也是坦白。但是结局是悲惨的结局。
13.3纳什均衡
纳什均衡:在有n个参与者(n≥2)的博弈里,记Si为参与者i的策略空间,πi为报酬函数。如果存在一组策略(s1*,s2*,s3*,……sn*),是得每一个参与者i都有:

那么s1*,s2*,s3*,……sn*)便是纳什均衡。
13.4动态博弈和重复博弈
这章给了两个惊人的结论!直接给结果,如果你开了一家店,别人也要在你旁边开一家店?你最好别选择降价的这种博弈的方式,最正确的方式是,让他去开,你们和平竞争这样你的损失是最小的。(这个结论的前提是你们产品的成本是相同的)
第二保证最低价格条款其实是商家维持默契的工具,比卡特尔的方式还要好。
第十四章不完全信息和经济激励
不对称信息结构,即交易的乙方掌握者另一方没有的信息,而这信息又将影响后者的福利。
14.1概率分布、数学期望和方差
概念介绍,这个学过大学的应该都学过。
14.2期望效用
在随机条件下,期望效用使用序数函数是不够的的,要用基数函数。
14.3保险
保险只是转移风险,风险本身并没有消除。
第十五章劳动市场
劳动、资本、土地等基本投入被称为生产要素,买卖生产要素的市场被称为要素市场。
15.1生产要素的需求
因为企业对最优需求量使得投入的变价产值等于投入的价格,

其中w和r分别为劳动和资本的价格。产量和边际产量都是劳动投入量的函数,即q=f(L),所以

从中可以解得劳动需求量与价格的关系,L=D(w)。劳动需求函数是递减的,根据报酬递减率,边际产量MPl随着劳动力的增加而下降。

15.2劳动供应
劳动的供应量就是人们工作的时间。因为人每天只有24小时,除了工作的时间外,还需要休息和上手,所以劳动的供应反应了人们在休闲和收入之间的选择。

如果某人一点工作不做,那么他的闲暇时间为24小时,其他消费为0,这就是图中的A点。如果他把24小时全部用来工作,那么他有120元可以消费其他东西。如果规定工资率为每小时5元,那么Y=5(24-X),这是线性函数。
而他对这两种产品的无差异曲线相切与E点,那么他达到了最高的效用,就是每天工作9小时,赚40块钱来用作其他消费。
15.3买方垄断
如果市场上只有一家雇佣工厂,它就要一定的市场力量来影响工资率,这种市场叫买方垄断。

在买方垄断市场上,就业和工资率都低于完全竞争水平。
15.4不完备合同和效率工资
15.4.1边际生产率工资理论的缺陷
边际生产率工资理论的很多假设与现实中的劳动和雇佣关系很难得到满足,因为工人跳槽去另外的工厂是有成本的,不可能立马就掌握到技术要点,还有就是企业也不可能随随便便的雇佣工人,职员也很难轻易的找到工作。而且工资的等级和工种,学历等相差很大。
15.4.3效率工资
效率工资是指企业付给员工的高于市场平均水平的工资,这样的工资能够起到有效激励专业人员的作用,可以提高生产率与企业经营绩效,因此,这样的高工资就是效率工资,也就是在这样的工资水平支付下,劳动力成本的相对收益是最高的。简单地说,效率工资,就是企业或其他组织支付给员工的比市场平均水平高得多的工资促使员工努力工作的一种激励与薪酬制度。
增加工资不仅提高了劳动生产率,而且可以降低监督的成本。假设企业的雇佣机会为w,即工人在市场上得到的工资率,而企业的效率工资为w。努力工作对工人的成本为c,工人偷懒,他的努力成本为0,偷懒被察觉的概率为p。那么工人努力工作的期望净收入为w-c,偷懒的期望净收入为pw+(1-p)w,所以只要w-c>pw+(1-p)w,工人就会努力工作。
效率工资要满足如下条件:

所以企业可以采用两种方法来提高工人生产积极性,增加工资或者加强监督。
15.5内部劳动市场
内部劳动市场的一个显著特点就是报酬和职位或者工种挂钩。
16资本市场
经济个体不仅考虑到有限的资源配置到经济活动中,还会考虑有限资源使用的不同时间,比如会储蓄一部分现金用于投资,或者存银行储蓄等等。
16.1时机选择:借贷、储蓄和投资
16.1.1时际预算和实际偏好
可以把两个不同时间消费的商品看成两种不同的商品,那么人们会对两个不同的时间的消费水平的选择跟同一个时间选择两种不同的商品一样,取决于人们的偏好以及他们面临的预算约束。
假设山顶洞人的初始财富为(W1,W2)。其中W1位今年的野桃数,W2为明年的野桃数。今年的价格为P1,明年的价格为P2。C1为今年的消费野桃数,C2为明年消费的野桃数。
那么他的预算约束为P1C1+P2C2≤P1W1+P2W2,用U、U’描绘山顶洞人两个时期的消费无差异曲线,山顶洞人的选择是(C1*,C2*)。山顶洞人第一年储蓄为P1(W1-C1*),他是*款贷**者。第二年,他索回本息为P2(C2*-W2)。

在第二张图,可以看到消费者也可能成为借款者,但是借钱是要付利息的,如果今年他借给别人x1只桃,明年得换他x2只桃,实际利息率为

16.1.2储蓄和投资
今天省下来得资源可以用来生产也可以用来将来生产更多的产品,这就是投资。对投资的需求由生产和成本决定。因为边际收益等于边际成本的决策,MR*MPk=r,其中MR是边际收益,MPk是资本的边际产量,r是利息率。所以资本的需求是利息率的递减函数。
16.2利息率
16.2.1投资项目的现时值
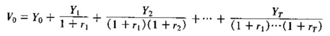
因为现实情况中,很多项目都是需要投资多年,那么每年的钱都和今年的钱是不一样的,如果当期收入为Y0,下期收入为Y1,Y1的现时值为Y1/(1+r),如果有连续多年那么就是

Y大于0是收入,Y小于0是开支。
16.2.2实际利息率和名义利息率
前面说的都是实际利息率,就是借款的实际成本或者带宽的实际报酬,如果利息率是10%,今年借10只桃,明年换11只桃。而如果是货币,今年借10元,明年换11元,只是名义利息率为10%,实际利息率并不一定是10%,因为今明年同一商品的价格可能不一样。
货币的利息率又称为名义利息率。名义利息率和实际利息率有什么关系呢?假设今年借了m0元,明年换m1元。名义利息率记作r’,那么r’=m1/m0-1。假设商品在今明年的价格分别为P0和P1,那么借款人实际借了m0/P0单元商品,明年得换m1/P1单元商品。
实际利息率为
其中P1/P0是价格变化率的度量。表示一年之内的通货膨胀程度。所以名义利率等于实际利率加上通货膨胀率。
16.2.3决定利息率的因素
1. 时际偏好:如果一个社会偏重现在的消费而轻视将来的消费,这个社会的利息率就会比较高,这个和个人的偏好选择有关。
2. 时际财富:如果某个社会或者时期的人都预期将来会有更多的财富,那么他们都会借钱来改善当前的消费。
3. 时际生产率:在新发展的、生产率较高的地区、利息率就越高。
16.3资本市场
在微观经济学中,提到的资本都指实物资本。
16.3.1金融市场
企业为购置实体资本筹集资金的方式之一就是发放债券或者股票。债券是一种票据,他承认收到投资者的一笔钱,并允诺在一定时间内,定期的支付给投资者固定的利息,到期末偿还本金。
16.3.2证券市场的效率性
证券市场可以起到两个作用,一是分担风险,一是发现信息。
16.4金融市场和企业治理
就是什么样的资本结构可使企业的市场价值最大?1956年,莫迪利尼亚和米勒证明,在没有破产风险而金融市场充分运行的条件下,没有企业和个人所得税条件下,投资政策不受资本结构影响,这就是“无关性定理”。
但是实际条件是,企业肯定是有破产的风险,而金融市场的不对称信息也是有的,所以企业的市场价值还是和资本结构相关。
最后几章内容不是很关键,也很多都是大白话了,所以没有写过多的内容,看完之前的16章之后,已经有基础去看宏观经济学,那么接下来就是学习《宏观经济学》。