文章原创首发于头条号【影像派】,版权所有,未经许可,不得转载。

请关注【影像派】
前言
接触过摄影的人,想必对「光圈」一词并不陌生,但也只是停留在「听过」的层面。而一些进阶摄影者又可能觉得它太熟悉、太基础了,以至于对它不屑一顾。
如果你觉得「光圈」是一个没有太多深入学习价值的参数,那么只能说明你对摄影靠得还不够近,你对摄影的爱还不够深。
光圈究竟是什么?
光圈是如何计算的?
光圈与成像有什么关系?
为什么大光圈可以带来虚化?
大光圈镜头为什么大部分都售价不菲?
这些有关光圈的问题都是本文尝试探讨并回答的问题。深入了解之后你会发现,原来光圈也是一个「有故事的人」。
一、光圈
1.1 概念
摄影中所谓的「光圈」,是指镜头中用于控制光线强度的一种孔洞状光学元件。
对应到现代的镜头设计中,光圈大致处于镜筒中部靠前的各组透镜之间,具体位置因镜头而异。图1-1为两枚不同型号镜头的光圈物理位置示意图:

图1-1
1.2 构成及演化
随着光学物理与摄影技术的发展,光圈的结构与设计也在不断地演化与迭代。
在早期,光圈就是指一块金属板上的一个圆孔。那时候想要调节光圈大小是一种非常麻烦的事,需要先把镜头拧下来,然后再将另一块不同圆孔尺寸的金属片装上去。
到了1850年代,英国天文学家兼摄影爱好者约翰-沃特豪斯(John Waterhouse,1806–1879)发明(准确说应该是「改良」)了一种新的光圈调节机制,他在铜制镜筒上开了一条缝隙,用于插入不同孔径的金属片,从而改变不同的光圈「档位」,达到改变光线强度的目的。后人将其称之为「沃特豪斯式光圈档」(Waterhous stops)。如图1-2所示:

图1-2,Photo by Geoff Harrisson
后来,德国光学设备制造商卡尔-蔡司(Carl Zeiss)生产了一种旋转式光圈(亦称为「光圈拨盘」,aperture dial)[1],它由一个钻有5个不同孔径的金属圆盘构成,圆盘中心固定于底座上,旋转圆盘即可改变光圈大小。如图1-3所示:

图1-3:旋转式光圈。Photo by Louis Derr
从另一个角度看,它是长这样的(如图1-4):

图1-4:旋转式光圈。Photo by Dirk HR Spennemann
比起之前「插鞘式」的光圈,这种旋转式的设计既不用拆卸镜头,也不用更换金属片,明显更加方便和高效,可谓是进步了许多。
英文中的Aperture通常被译为光圈,但它的本意其实是指光线传播的孔径或开口。从这个角度而言,「孔径」不仅简单易懂,而且也更能反映出「光圈」在历史上的初期形态。
大约到了19世纪70年代,出现了设计更加复杂、技术更加先进的虹膜隔膜叶片式(Iris diaphragm blades)光圈,它直接内置于镜筒,通过侧边的机械拨杆可连续调节孔径大小,叶片少则2片,多则20片(今天的镜头设计多为5-10片),孔径呈多边形。如图1-5所示:

图1-5:虹膜隔膜叶片式光圈。
其设计和工作原理有些复杂,大概是这样的(如图1-6):

图1-6,工作原理。Photo by Pasimi
这种活动叶片式的设计,灵感来源于人眼的视觉生理机制。人眼通过虹膜改变瞳孔的大小,从而调节进入眼球的光线强度。在光线充足的情况下,瞳孔的直径在2-4mm之间,而在昏暗环境中,瞳孔的直径将会扩大至3-8mm之间,因人的年龄而异[2]。叶片类似于眼球中的虹膜(iris),孔径类似于瞳孔,透镜类似于水状体和玻璃体,而相机传感器或其它感光元件则类似于视网膜,如图1-7所示。

图1-7,人眼内部结构示意图。
二、光圈系数
在摄影光学领域,定义镜头焦距与光圈孔径直径之比为光圈系数(f-number)。这是是一个用于衡量镜头速度的无单位数值。想要更全面地了解这个参数,我们要先弄清楚什么是镜头的「焦距」。
2.1 焦距
当一束平行光线进入凸透镜,经折射后在前方汇聚于一点,此点即为焦点,焦点至凸透镜中心点的距离即为焦距。因凸透镜汇聚光线且焦点在透镜前方,故又称为正透镜(Positive lens),如图2-1所示:

图2-1,凸透镜的焦点与焦距。
反之,若平行光线进入的是一枚凹透镜,经折射后则会发散出去,发散光的反向延长线在透镜后方相交于一点,此虚拟点即为焦点。因其发散特征且焦点在透镜后方,故又将凹透镜称为负透镜(Negative lens),如图2-2所示:

图2-2,凹透镜的焦点与焦距。
镜头中的焦距与之相似,但又有区别。相似之处在于都是以焦点作为其中一个测量基点,区别在于,镜头焦距并非指焦点至前一块或后一块透镜的距离,而是指从光线汇聚点至影像传感器(成像平面)之间的距离。如图2-3所示:

图2-3,镜头中的焦距。Photo by Josh
2.2 光圈系数
了解完了镜头的焦距,我们再回来看光圈系数。
光圈系数通常用N表示,公式为:
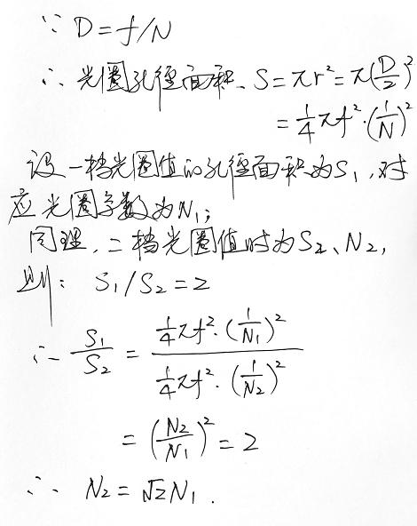
N = f / D。其中,f 为镜头焦距,D 为光圈孔径直径。
由此可知,孔径直径D = f / N。这便是我们经常在镜头上所看到的标值,用一个小写的「f」(事实上,刚开始规定用斜体的小写f表示,后因印刷等原因在传播上出现了差异和分化)和一个斜杠「/」表示。
此外,我们还能由此得出,在焦距不变的情况下,N与D呈反比关系,说白了就是:光圈系数越大,相应的孔径面积越小,反之亦然。图2-4为不同光圈系数与对应的孔径大小:

图2-4
那这些光圈系数具体是如何得来的呢?
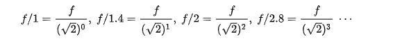
光学中约定,每减小一档光圈值(Aperture Value,AV),亦即收缩一档光圈,通过孔径的光强度便相应减少一半。因此,在镜头焦距不变的情况下,根据圆面积计算公式可知,相邻两档光圈系数之间存在一个根号2的比值关系。其推导过程如图2-5所示(不感兴趣者可直接跳过):

图2-5
因此,各档位的光圈系数构成了一个等比数列:

图2-6
这也就是为什么我们在相机上调节光圈档位时光圈系数并未随之呈整数级连续变化的原因。
那么,不同档位的光圈到底如何影响成像效果呢?这便引出了「景深」的概念。
三、光圈与景深
谈到光圈,几乎无法不提景深,因为光圈的增减可以直接影响图像景深的变化。
景深的英文为Depth of field,简称DOF,它表示的是物体前后人眼可接受的清晰范围。从理论上来说,只有处于同一焦平面的物体才是清晰的,其余都模糊。而实际上,由于人眼的分辨率有限,我们会觉得焦点前后附近的一些区域,其清晰度依然是可以接受的,并认为其依然处于锐聚焦(sharp focus)内[3]。这种可接受的锐聚焦内的最近与最远物体间的距离便定义为景深。
如图3-1,三支铅笔都在人眼的清晰可视范围内,则前后两支铅笔之间的距离即为景深距离。

图3-1。Photo by Oscar Durand[3]
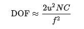
景深的计算比较复杂,我们只需理解它的定义即可。它的计算公式如图3-2所示:

图3-2
其中,u为镜头至物体间的距离,N为我们前文介绍过的光圈系数,C为弥散圆大小,f为焦距。
由公式可知,景深与光圈系数成正比关系,亦即:在其余参数不变的情况下,光圈系数越大,景深也越大,反之亦然。如图3-3所示,焦点在人物上,景深大小随光圈系数的变化而变化:

图3-3:光圈与景深。Photo by Laimis Urbonas
知道了两者的关系之后,我们便可以在实际拍摄中加以运用:
若希望画面中有更多的景物处于清晰的视野中,我们便可以调大光圈系数(即收缩光圈孔径),常见场景有风光摄影、建筑摄影等;反之,若只想主体清晰,其它区域模糊,则可以减小光圈系数(即增大光圈孔径),如人像摄影、局部特写等。
大光圈的镜头不仅可以获得柔和细腻的虚化效果,有利于突出主体,而且还能驾驭一些低照度的场景,因此颇受许多摄影爱好者的青睐。
那问题来了:是不是镜头的光圈越大越好呢?
答案当然不是。
光圈孔径大纵然有以上优点,但也存在缺陷。光圈越大,单位时间内进入镜头的光线也越多,但未必光线越多越好,因为现实中的光线往往来自不同光源和方向,十分复杂,这便意味着镜头出现色散的概率也在随之增大,而色散则是画质的最大杀手。有关色散对画质影响可参见影像君的上一篇文章《一份有关定焦镜头的硬核科普,迅速提升你对摄影器材的认知水平》[4]。因此,镜头的光圈开得太大(如全开f/1.2等),容易对焦不准,出现「跑焦」的现象,这也是为什么许多大光圈镜头往往需要收缩一至两档的光圈才能获得最佳锐度的影像。
此外,一些专业的大光圈镜头因需要克服更多复杂光线带来的不确定性,因此需要使用一些低色散材料以缓解色散和像差的影响,从而导致产生成本和工艺难度大大增加,所有这些,最终都需要消费者为此埋单。鉴于此,没必要过度沉迷于大光圈的成像效果,毕竟,摄影的世界如此广阔,她的精彩又岂止于「虚化」呢?
结语
我们常常会下意识地对一些不了解的、复杂的事物进行概括和简化,以缓解不确定性带来的认知焦虑,而结果往往便是以偏概全、一叶障目。有关「光圈」的知识点亦是如此,看似只是一个小小的圆孔、几片叶片而已,实则涵盖了许多光学领域的知识,凝聚了无数研究者的专注与智慧。
参考文献
[1]Louis Derr, Photography for students of physics and chemistry London: The Macmillan Co., 1906
[2]Rob Roy,Aging Eyes and Pupil Size,Archive.org.
[3]Nanette Salvaggio,Basic Photographic Materials and Processes,2009,Focal press.
[4]影像派,《一份有关定焦镜头的硬核科普,迅速提升你对摄影器材的认知水平》,头条号。
【往期文章精选】
一份有关定焦镜头的硬核科普,迅速提升你对摄影器材的认知水平
学习这5种平衡思维,提升的绝不仅仅是你的摄影构图水平
掌握这8种配色法,让你的照片展现最迷人的色彩魅力
25张图,4000余字,全面拆解各类「线条」在摄影构图中的运用技巧
若喜欢我的文章,请大家为我点赞、转发、收藏和评论。
头条号【影像派】,专注分享原创摄影作品及各类摄影知识。
加入【影像派】,一起感受摄影的魅力与精彩!
