在自然爱好者眼中,人间最美的是高山流水!
在人文阅读者眼中,人类至美的是诗词歌赋!
在爱情至上者眼中,世间最美的是化蝶共舞。
英国科学期刊《物理世界》曾让读者投票评选了“最伟大的公式”,最终上榜的十个公式从第一名到第十名依次为:麦克斯韦方程组、欧拉公式、牛顿第二定律、勾股定理/毕达哥拉斯定理、质能方程、薛定谔方程、1+1=2、德布罗意方程组、傅立叶变换、圆的周长公式。有的公式无人不知,有的公式简单,有的却十分复杂……
有时候,我们会对这些方程十分厌恶,可能我们没有意识到,我们痛恨的竟然是人类最高智慧!而原因竟然是,我们没有发现它们的伟大而已。
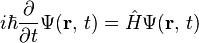
No.1
麦克斯韦方程组
The Maxwell's Equations

获奖者 麦克斯韦
领域 物理
题词 如果你能看懂这组方程,那么恭喜你,高数基本不会挂掉了。如果你能看懂这组方程,并为之虎躯一震,认为只有上帝才能创造如此完美的公式,那更恭喜你,你离一流科学家不远了。因为,全世界至少有100个物理学家跪倒在它的石榴裙下。简单地说,这是一组描述电场、磁场与电荷密度、电流密度之间关系的偏微分方程,由两个散度方程两个旋度方程组成,相互之间耦合,变化万千。在整体微分几何建立之后,用外微分形式,可以将麦克斯韦方程组用一个极其简单的方程来表示。所以,回答麦克斯韦方程组到底有几个公式,已经成了考验一个真正的物理学者的神器。
麦克斯韦的公式融合了电与磁的四大定律,在此之后,电即是磁,磁即是电。所以,这个方程组是人类历史上空前绝后的物理学大一统。它也是物理学家们的一剂鸡血,以爱因斯坦为首的众多一流物理学家,都紧跟麦克斯韦的脚步,寻找物理学大统一。爱因斯坦在奇迹之年之后孜孜不倦几十年,想建立引力场理论,以失败告终。号称勾通量子力学与宏观世界,并建立物理大一统的M理论,至今问题重重。
No.2
欧拉公式
Euler's Identity

获奖者 欧拉
领域 数学
题词 欧拉此人,堪称神人,28岁右眼失明、年过60完全失明,多舛多才,凭数学、力学和航海建筑学等方面的广博造诣,被评为欧洲历史上最多产的数学家,十八世纪被称为欧拉世纪也毫不过分。欧拉内心纯粹,正如这个欧拉公式,也是用最简明的方式,沟通了世界上几乎全部的数学元素。无理数e,它是自然对数的底,隐藏于飞船的速度和蜗牛的螺线。无理数Π,隐藏于世界上最完美的平面对称图形,引爆数字狂热。最简单的两个实数0和1,是构造代数的基础。甚至,最重要的虚单位i也在其中。在欧拉之后的未来,虚数引发了电子学革命的量子力学的理论基础
No.3
牛顿第二定律
Newton's Second Law of Motion

获奖者 牛顿
领域 物理
题词 这个公式重要到难以估量,它昭示着人类最伟大的科学家、最后的炼金师牛顿,用F、M、A三个字母构造的经典物理学大厦拔地而起。尽管牛顿看谁撕谁,牛逼哄哄且不近人情。但我们这等凡人只能跪在他脚边,乖乖接受他的俯视。1666年,以牛顿第二定律为首的一系列成果,划开了人类与自然关系的新纪元,自然被他转化成一个用数学来测算的精密系统。某种程度上,即使相对论都无法与之媲美,从火车进站到火箭升空,牛顿第二定理公式在应用层面至今仍是霸主。
No.4
勾股定理/毕达哥拉斯定理
Pythagorean Theorem


获奖者 毕达哥拉斯和商高
领域 数学
题词 这个奖项的联合获奖人是中国周朝的商高和古希腊的毕达哥拉斯。商高只说了这一定理的表象:“勾三股四弦五”,却没有去深究这背后的奥秘,作为商高的子孙我们得反思一下自己。而毕达哥拉斯则得出背后的规律,这位数字原教旨主义者高举“万物皆数”的暴君,爱上数学真不是故弄玄虚,毕达哥拉斯定理是人类历史上第一次让数字与几何完美融合。牵一发而动全身,毕达哥拉斯定理在沟通数字与客观世界的同时,还导致了人类历史上第一次数学大危机——√2无理数的发现。
No.5
质能方程
Mass–energy Equivalence

获奖者 爱因斯坦
领域 物理
题词 1905年,史上最牛逼的公务员爱因斯坦,提出了若干颠覆人类三观的理论,想象力和胆量都比正常人高出一大截的爱因斯坦宣称,能量和质量是可以转换的,一个小小的水杯都能炸掉半个城市,不仅如此,能量和质量之间的关系还超级简单。爱因斯坦曾戏称:“当结论看起来很简单时,一定是上帝在回答。”此番言论无疑打了无神论者爱因斯坦的脸。但换句话说,如果这个方程来自上帝,那原*弹子**一定是上帝对人类开的玩笑。但这个方程的出现,也打开了潘多拉魔盒,全人类都在这个公式下已经颤抖了60年!
No.6
薛定谔方程
The Schrödinger Equation


获奖者 薛定谔
领域 物理
题词 关于薛定谔,恐怕他的那只猫比他本人更加出名,因为薛定谔的猫虽然成功在宏观层面阐释了量子叠加原理问题,但却像一个潘多拉魔盒,引出了平行宇宙等一系列争议,搞得很多科学家都怀疑人生,最后连薛定谔都搞不懂薛定谔方程了,它相当于量子力学界的牛顿第二定律,只不过,公式的主人是史上最傲骄的处子,一个是荷尔蒙泛滥成灾的把妹大神。
回归正题,薛定谔方程颠覆了人类所认知下,这个确凿无疑的世界。薛定谔说,世界是随机的,这一结论直接挑战了爱因斯坦建立的确定宇宙观,薛定谔方程为好莱坞大片提供了理论基础,骗取了无数票房。迄今为止,量子力学与相对论是关于宇宙彼此不同,又平分秋色的解释。
No.7
1+1=2
获奖者 ?
领域 数学
颁奖词 这个公式不需要名称,不需要翻译和解释。这个三岁小孩都知道的公式是人类的奇点,它昭示着自然数的诞生,引发持续数千年的数字大爆炸。数学创生的全部基本公理都蕴含其中。要回答这个公式的逻辑可不简单,他的衍生品“1+2=3”所引发的哥德巴赫猜想,困扰人类数百年。而它究竟从何而来,又将引领人类向何而去?人类的所有烦恼,也是不是因为知道了1+1=2呢?作为数学规律的起源,冠军当之无愧。
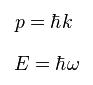
No.8
德布罗意方程组
The de Broglie Relations

获奖者 德布罗意
领域 物理
题词 你可能不了解德布罗意,但你一定还记得高中物理中有个东西叫“波粒二象性”。没错,波粒二象性就是这位眼神忧郁的小哥提出的。如果说爱因斯坦的质能方程确定了质量与能量的关系,那德布罗意方程就揭示了波长、能量等之间的关系,并画上了一个完美的等号。
不像爱因斯坦有如此多的风流韵事,德布罗意打了一辈子光棍,并终身过着平俗简朴的生活,他也是量子学派主编“德不罗意”的人生偶像——与世无争,写个方程式就能追求世界和平。他的德布罗意方程一出现,让争论不休的量子理论各大佬握手言欢,成为现代量子力学的基石之一。
No.9
傅立叶变换
The Fourier Transform

获奖者 傅里叶
领域 数学
题词 这个方程,估计很多人都爱不起。它不仅折磨着众多高数困难户,甚至在凌虐丘成桐、陈省身这样的数学大师,一眼看过去,这公式就是个空虚寂寞冷的无聊数学家,整天没事干,尽想着虐待智商低的科学怪人,数学系大学生现在最恨的人就包括傅立叶,但傅立叶表示,自己很冤。因为,他之所以搞出这个傅里叶变换,主要是想让大家更容易社交和找女朋友,这个公式是数字信号处理领地最重要的基础。今天,我们能够遨游互联网,全都得感谢傅里叶在两百年前的功劳。
No.10
圆的周长公式
The Length of the Circumference of a Circle

获奖者 ?
领域 数学
题词 它为自然界最完美的形状找到了数学表达,同时引爆了一场全人类的数字狂欢。从祖冲之到欧拉,无数的π迷们为之倾倒。从3.14到 3.1415926535 897932384...,人类执着地追求π的2061亿位精度,在算力时代,这个原始的公式间接成为计算机算力的试金石。可至今,π的玄奥还未揭开。1965年,英国数学家约翰·沃利斯发现圆周率等于无穷个分数相乘的积。2015年,罗切斯特大学的科学家们在氢原子能级的量子力学计算中发现了与圆周率相同的公式。
来源:量子学派