

电能
电功
定义:电流所做的功叫电功。电功的符号是W
单位:焦耳(焦,J)。电功的常用单位是度,即千瓦时(kW·h)。1kW·h=3.6×106J
电流做功的过程,实际上就是电能转化为其他形式能的过程。
公式:

公式中的物理量:
W——电能——焦耳(J)
U——电压——伏特(V)
I——电流——安培(A)
t——时间——秒(s)
R——电阻——欧姆(Ω)
Q——电荷量——库伦(C)
P——功率——瓦特(W)
电能表
测量电功的仪表是电能表(也叫电度表)。下图是一种电能表的表盘。

表盘上的数字表示已经消耗的电能,单位是千瓦时,计数器的最后一位是小数,即1234.5 kW·h。
用电能表月底的读数减去月初的读数,就表示这个月所消耗的电能。
“220 V”表示这个电能表的额定电压是220V,应该在220V的电路中使用。
“10(20 A)”表示这个电能表的标定电流为10A,额定最大电流为20 A。
“50 Hz”表示这个电能表在50 Hz的交流电中使用;
“600 revs/kW·h”表示接在这个电能表上的用电器,每消耗1千瓦时的电能,电能表上的表盘转过600转。
根据转盘转数计算电能或根据电能计算转盘转数时,可以列比例式:
串并联电路电功特点
①在串联电路和并联电路中,电流所做的总功等于各用电器电功之和;
②串联电路中,各用电器的电功与其电阻成正比,即W1/W2=R1/R2;
③并联电路中,各用电器的电功与其电阻成反比,即W1/W2=R2/R1(各支路通电时间都相同)。
电功率
电功率
定义:电流在1秒内所做的功叫电功率。
意义:表示消耗电能的快慢。
符号:P
单位:瓦特(瓦,W),常用单位为千瓦(kW),1kW=103W
电功率的定义式:P=W/t W=Pt t=W/P
第一种单位:
P——电功率——瓦特(W);
W——电功——焦耳(J);
t——通电时间——秒(s)。
第二种单位:
P——电功率——千瓦(kW);
W——电功——千瓦时(kW·h);
t——通电时间——小时(h)。
电功率的计算式:
P——电功率——瓦特(W);
U——电压——伏特(V);
I——电流——安培(A);
R——电阻——欧姆(Ω)。
串并联电路电功率特点
在串联电路和并联电路中,总功率等于各用电器电功率之和;
串联电路中,各用电器的电功率与其电阻成正比,即P1/P2=R1/R2
并联电路中,各用电器的电功率与其电阻成反比,即P1/P2=R2/R1。
用电器的额定功率和实际功率
额定电压:用电器正常工作时的电压叫额定电压。
额定功率:用电器在额定电压下的功率叫额定功率。
额定电流:用电器在正常工作时的电流叫额定电流。
用电器实际工作时的三种情况:
①U实
②U实>U额 P实>P额——用电器不能正常工作,有可能烧坏。(如果是灯泡,则表现为灯光极亮、刺眼、发白或迅速烧断灯丝);
③U实=U额 P实=P额——用电器正常工作。
电灯泡上的“PZ220 25”表示额定电压是220V,额定功率是25W。
灯泡的亮度是由其所消耗的实际电功率决定的,与额定电压和额定功率无关。
额定电压相同,额定功率不同的灯泡,灯丝越粗,功率越大。
将这两个灯泡串联,额定功率大的,实际功率小;将这两个灯泡并联,额定功率大的,实际功率大。
串并联电路P实与R大小的关系

实验原理:P=UI
实验器材:电源、开关、导线、小灯泡、电压表、电流表、滑动变阻器。
实验电路图:

实验步骤:
①按电路图连接实物。
②检查无误后,闭合开关。移动滑片,使小灯泡在额定电压下发光,观察小灯泡的亮度,并记下电压表和电流表的示数,代入公式P=UI计算出小灯泡的额定功率。
③调节滑动变阻断器,使小灯泡两端的电压约为额定电压的1.2倍,观察小灯泡的亮度,并记下电压表和电流表的示数,代入公式P=UI计算出小灯泡此时的实际功率。
④调节滑动变阻断器,使小灯泡两端的电压小于额定电压,观察小灯泡的亮度,并记下电压表和电流表的示数,代入公式P=UI计算出小灯泡此时的实际功率。
实验表格:

注意事项:
①接通电源前应将开关处于断开状态,将滑动变阻器的阻值调到最大;
②连好电路后要通过试触的方法选择电压表和电流表的量程;
③滑动变阻器的作用:改变电阻两端的电压和通过的电流;保护电路;
④不需要计算电功率的平均值。
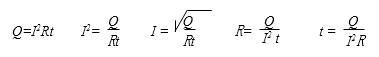
焦耳定律及其应用
电流通过导体时电能转化成热(电能转化为内能),这个现象叫做电流的热效应。
焦耳定律:电流通过导体产生的热量跟电流的二次方成正比,跟导体的电阻成正比,跟通电时间成正比。(英国物理学家焦耳)
定义式:

导出式:

Q——热量——焦耳(J);
I——电流——安培(A);
R——电阻——欧姆(Ω);
t——通电时间——秒(s);
P——电功率——瓦特(W);
U——电压——伏特(V)。
有关焦耳定律的注意事项:
对于纯电阻电路,电流做功消耗的电能全部转化为内能(Q=W),这时以下公式均成立Q=UIt Q=(U2/R)t(2为平方) Q=Pt;
对于非纯电阻电路,电能除了转化为内能,还要转化为其他形式的能量。求Q时只能用Q=I2Rt
利用电热的例子:热水器、电饭锅、电熨斗、电热孵化器等。
防止电热的例子:电视机外壳的散热窗;计算机内的散热风扇、电动机外壳的散热片等。
串并联电路电功特点
①在串联电路和并联电路中,电流产生的总热量等于部分电热之和;
②串联电路中,各部分电路的热量与其电阻成正比,即Q1/Q2=R1/R2;
③并联电路中,各部分电路的热量与其电阻成反比,即Q1/Q2=R2/R1(各支路通电时间都相同)。