第三单元知识点

1. 认识倒数
(1)倒数的意义:乘积是1的两个数互为倒数。0没有倒数,1的倒数是它本身。
(2)求一个数的倒数
①求分数的倒数:交换分子和分母的位置即可。
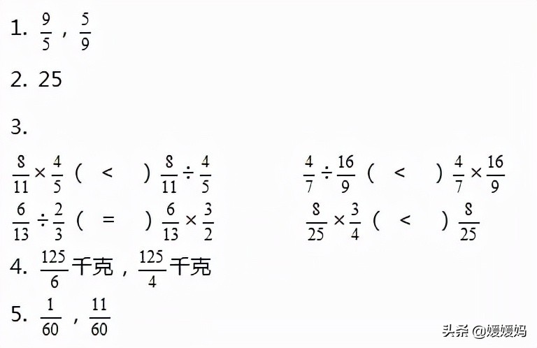
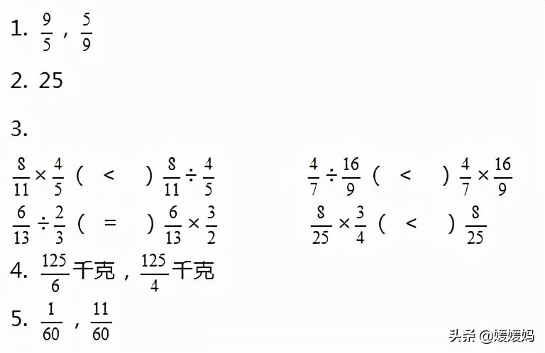
例:

②求整数的倒数(0除外):先把整数看作分母是1的假分数,然后交换分子、分母的位置即可。
例:

③求小数的倒数:先把小数化成分数,再交换分子、分母的位置。
例:

2. 分数的除法
(1)分数除法的意义:与整数除法的意义相同,都是已知两个因数的积与其中一个因数,求另一个因数的运算。
(2)分数除法的计算:一个数除以一个不为0的数,等于乘这个不为0的数的倒数。
例:

a、被除数÷除数=被除数×除数的倒数。
b、除法转化成乘法时,被除数一定不能变,“÷”变成“×”,除数变成它的倒数。
c、分数除法算式中出现小数、带分数时要先化成分数、假分数再计算。
d、被除数与商的变化规律:
①除以大于1的数,商小于被除数:a÷b=c 当b>1时,c
②除以小于1的数,商大于被除数:a÷b=c 当b<1时,c>a (a≠0 b≠0)
③除以等于1的数,商等于被除数:a÷b=c 当b=1时,c=a
(3)分数的四则混合运算:与整数的四则混合运算的运算顺序相同。
①连除:同级运算,按照从左往右的顺序进行计算;或者先把所有除法转化成乘法再计算;或者依据“除以几个数,等于乘上这几个数的积”的简便方法计算。加、减法为一级运算,乘、除法为二级运算。
②混合运算:没有括号的先乘、除后加、减,有括号的先算括号里面,再算括号外面。(a±b)÷c=a÷c±b÷c
(4)求一个数是另一个数的几分之几是多少:用一个数除以另一个数,结果写为分数形式。
例如:男生有20人,女生有15人,女生人数占男生人数的几分之几。
列式是:15÷20=15/20=3/4
(5)求一个数比另一个数多几分之几的方法:
用两个数的相差量÷单位“1”的量 =分数
即①求一个数比另一个数多几分之几:用(大数–小数) ÷另一个数(比那个数就除以那个数),结果写为分数形式。
例如:5比3多几分之几?(5-3)÷3=2/3
②求一个数比另一个数少几分之几:用(大数–小数) ÷另一个数(比那个数就除以那个数),结果写为分数形式。
例如:3比5少几分之几?(5-3)÷5=2/5
说明:多几分之几不等于少几分之几,因为单位一不同。
(6)解决问题,这里主要包含三种类型的题。
①已知一个数的几分之几是多少,求这个数。
方法一:设单位“1”的量为x,然后列方程解答。
例如:公鸡有20只,是母鸡只数的1/3,母鸡有多少只。(单位一是母鸡只数,单位一未知.)解:设母鸡有X只。列方程为:X×1/3=20
方法二:已知量÷已知量占单位“1”的几分之几=单位“1”的量 ( 分率对应量÷对应分率 = 单位“1”的量 )
例如:公鸡有20只,是母鸡只数的1/3,母鸡有多少只。(单位一是母鸡只数,单位一未知,)用除法,列式是:20÷1/3
②已知比一个数多(或少)几分之几的数是多少,求这个数。
方法一:设单位“1”的量为x,然后列方程解答,所依据的数量关系是,单位“1”的量×(

)=已知量。
方法二:先确定单位“1”的量,计算出已知量占单位“1”的几分之几,再根据分数除法的意义列式解答。
分率前是“多或少”的关系式:
(比少):具体量÷ (1-分率)= 单位“1”的量;
例如:桃树有50棵,比苹果树少1/6,苹果树有多少棵。
列式是:50÷(1-1/6)
(比多):具体量 ÷ (1+分率)= 单位“1”的量
例如:一种商品现在是80元,比原价增加了1/7,原价多少?
列式是:80÷(1+1/7)
③已知两个数的和或差以及这两个数之间的倍数关系,求这两个数。
先找出单位“1”的量并设为x,用含有x的式子表示出另一个量,再根据两个数的和或差列方程解答。
④工程问题
工作总量=工作效率×工作时间
工作效率=工作总量÷工作时间
工作时间=工作总量÷工作效率
把工作总量看作单位“1”,合做多长时间完成一项工程用1÷效率和,即1÷(1/时间+1/时间),(工作效率=1/时间)
例如:一项工程甲单独做要5天完成,乙单独做要10天完成,甲单独做要3天完成,三人合做几天可以完成?列式:1÷(1/5+1/10+1/3)
同步练习
一.填空。(22分)

5. 修一条公路,甲队单独做10天修完,乙队单独做12天修完,平均每天甲队比乙队多修这条路的( );如果甲、乙两队合修,每天可以修完这条路的( )。
二.判断。(8分)
1. 0的倒数是1。 ( )
2. 两个分数的乘积一定大于这两个分数。 ( )
3. 一个数除以另一个数(不为0),等于乘上这个数的倒数。( )

三.选择。(10分)

四.计算。(28分)


五.解决问题。(32分)
1. 一列火车现在每小时行驶138千米,比原来提速

。这列火车原来的速度是多少?(4分)
2. 商店最近新购进一批面包,已经卖出去56包,还剩

,那么商店还剩下多少包面包没有卖?(5分)
3. 一项工程,甲队单独做需要8天,乙队单独做需要12天。如果甲乙两队合作,那么多少天可以做完这项工程的

?(5分)
4. 现在有一杯含糖量为

的糖水200克,要把它变为含糖量为

的糖水,需要加进去多少克糖?(5分)
5. 打完同一份书稿,小亮需要8小时,小红需要6小时,小方需要10小时。(8分)
(1)小亮和小方合作一起打这份书稿,需要几小时?
(2)小亮和小红合作一起打这份书稿,需要几小时?
(3)小红和小方合作一起打这份书稿,需要几小时?
(4)三人一起合作,需要几小时?
6. 一项工程,甲队单独做需要12天完成,乙队单独做需要15天完成。现在甲乙两队合作4天后,乙队被调往其它工程,余下的工作量由甲队单独完成。那么这项工程从开始到结束一共需要多少天?(5分)
参考答案
一、

二.
× × √ ×
三.
A A C C C
四.



同步练习2
一.填空。(每空2分,共20分)
1.

的倒数是( ),0.25的倒数是( )。
2.

和它的倒数的乘积是( )。
3.把

平均分成6份,每份是( )。
4.一瓶酸奶喝了

后是

克,这瓶酸奶原来有( )克。
5.六(一)班开学后人数增加了

,现在的人数有65人,那么六(一)班原来有( )人。
6.小静买裙子花了88元,占了妈妈给小静钱数的

,妈妈给小静了( )元钱。
7.某小区七,八月份一共用电2180瓦,七月份的用电量是八月份的

,七月份用电( )瓦,八月份用电( )瓦。
8.一项工作,甲单独做要15天完成,乙单独做需要10天完成,甲、乙一起做需要( )天完成。
二.判断下列说法是否正确。(15分)
1.分数的倒数都大于1。 ( )
2.一个数乘它的倒数乘积为1。 ( )
3.一个数除以假分数,商一定小于被除数。 ( )
4.一个数除以一个不为0的数,等于乘这个数的倒数。 ( )
5.

( )
三.选择题。(15分)


四.计算下列各题。(24分)

五.解方程。(10分)

六.解决问题。(第1,2题5分,第3题6分)
1.一列高铁现在每小时行驶450千米,比原来提速

,原来每小时行驶多少千米?
2.小华家新添了一台电脑和电脑桌,共花了4860元,已知一张电脑桌的价格是一台电脑价格的

,电脑和电脑桌分别是多少元?
3.一项工程,甲、乙两队合作需要10天完成。乙、丙两队合作需要15天完成。甲、丙两队合作需要18天完成。为了加快进度,甲、乙、丙三队合作需要多少天完成?
参考答案:
一.1.

4 2.1 3.

4.250 5.60 6.110
7. 872 1308 8.6
二.1.× 2.√ 3.× 4.√ 5.×
三.1.B 2.B 3.A 4.C 5.D


同步练习3
一.填空。(22分)

5. 修一条公路,甲队单独做10天修完,乙队单独做12天修完,平均每天甲队比乙队多修这条路的( );如果甲、乙两队合修,每天可以修完这条路的( )。
二.判断。(8分)
1. 0的倒数是1。 ( )
2. 两个分数的乘积一定大于这两个分数。 ( )
3. 一个数除以另一个数(不为0),等于乘上这个数的倒数。( )

( )
三.选择。(10分)

四.计算。(28分)


五.解决问题。(32分)
1. 一列火车现在每小时行驶138千米,比原来提速

。这列火车原来的速度是多少?(4分)
2. 商店最近新购进一批面包,已经卖出去56包,还剩

,那么商店还剩下多少包面包没有卖?(5分)
3. 一项工程,甲队单独做需要8天,乙队单独做需要12天。如果甲乙两队合作,那么多少天可以做完这项工程的

?(5分)
4. 现在有一杯含糖量为

的糖水200克,要把它变为含糖量为

的糖水,需要加进去多少克糖?(5分)
5. 打完同一份书稿,小亮需要8小时,小红需要6小时,小方需要10小时。(8分)
(1)小亮和小方合作一起打这份书稿,需要几小时?
(2)小亮和小红合作一起打这份书稿,需要几小时?
(3)小红和小方合作一起打这份书稿,需要几小时?
(4)三人一起合作,需要几小时?
6. 一项工程,甲队单独做需要12天完成,乙队单独做需要15天完成。现在甲乙两队合作4天后,乙队被调往其它工程,余下的工作量由甲队单独完成。那么这项工程从开始到结束一共需要多少天?(5分)
参考答案:
一、

二.
× × √ ×
三.
A A C C C
四.



图文素材来源网络,本公众号只作公益性分享,版权归原作者,如有侵权请联系删除。