2020年考研数学真题+答案详解 考研数学一完整版答案

中国小康网讯 综合报道 2020年考研数学已经落下帷幕,考研数学真题及参考答案陆续出炉,一起来看看2020考研数学真题以及完整版答案详解!预估你能考多少分?

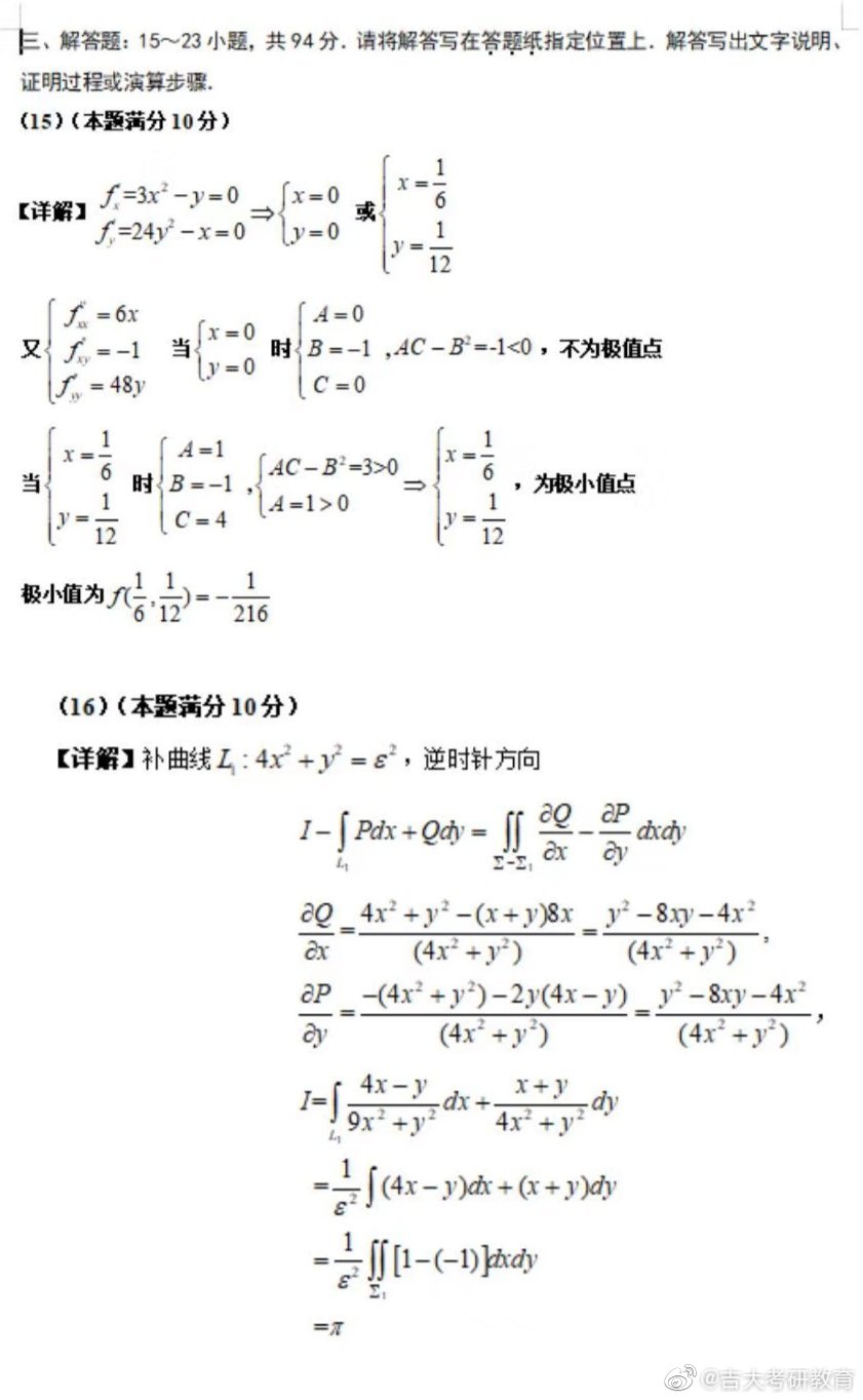
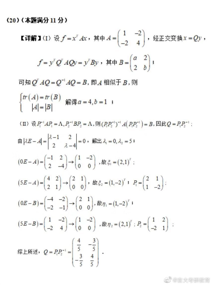
2020年考研数学真题+答案详解考研数学一完整版答案

2020年考研数学真题+答案详解考研数学一完整版答案

2020年考研数学真题+答案详解考研数学一完整版答案

2020年考研数学真题+答案详解考研数学一完整版答案

2020年考研数学真题+答案详解考研数学一完整版答案

2020年考研数学真题+答案详解考研数学一完整版答案

2020年考研数学真题+答案详解考研数学一完整版答案

2020年考研数学真题+答案详解考研数学一完整版答案

2020年考研数学真题+答案详解考研数学一完整版答案

图片较多,小伙伴可以选择保存后看~