科学家相信在宇宙大爆炸后,有等量的物质和反物质被创造出来。但为什么宇宙中的物质要远远超过反物质?是什么造成了它们之间的不对称性?我们还不知道答案,但物理学家刚刚发现了不对称的新来源。

△ LHCb实验。(图片来源: Maximilien Brice/CERN)
在欧洲核子研究中心(CERN)的大型强子对撞机底夸克实验(LHCb)中,科学家找到了解释我们的世界为什么是由物质构成而不是反物质的新线索。他们找到了在重子中CP(电荷-宇称)破坏的证据。
(注:重子是由三个夸克或三个反夸克组成的复合粒子,最常见的重子粒子有质子和中子。)
重子的行为跟他们与之对应的反物质完全一样是跟一个叫CP对称的概念相关。如果能够观测到任何CP对称破坏的证据,就暗示着支配物质和反物质的物理定律或许不一样。
宇宙学家预言在创世之初应该产生等量的物质和反物质,因此理解CP对称的破坏就可以帮助我们解开为什么会有更多的物质遗留下来,而不是一起湮灭化作能量。
粒子物理学的标准模型预言了重子的确会存在一点点的CP破坏。尽管CP破坏过程已经被研究了超过50年,但在重子粒子中并没有看到显著的效应。此外,标准模型描述的CP破坏不足够解释物质-反物质的不平衡。所以,必须存在其它CP破坏的来源,而LHCb的主要目标之一就是寻找CP破坏的新来源。
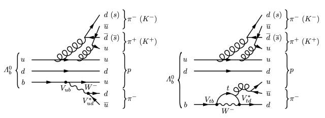
LHCb的新结果是基于分析LHC运作前三年收集的数据。在LHC中,两束质子会相互对撞并产生许多的短命粒子,在所有的产物中,科学家比较了重子Λb0和它对应的反物质Λb0-bar衰变后的行为,它们会衰变成质子(或反质子)和其它三个叫做介子的带电粒子。这个过程是非常罕见的,并且从来没有被观测到过。但LHCb探测到了6000个这样的衰变!

△ 费恩曼图:Λb0衰变成质子和三个介子。(图片来源:R. Aaij et al.)
LHCb的科学家比较了Λb0和Λb0-bar的四个衰变产物的角度分布,并且计算跟CP对称敏感的特定量。如果能够发现在物质和反物质间的这些量有任何显著的不同,或不对称,那就可能是CP破坏。
LHCb的数据的确发现了不同,而且结果的统计显著性达到了3.3个标准差(达到5的时候就可以说是发现了)。这是我们第一次看到物质和反物质重子表现的不一样。这个结果在1月30日发表在《自然物理》,很快会有更多的数据来确定其结果。如果这个CP破坏的初期证据再次出现在更大的数据样本里,那对于研究CP破坏将是重要的里程碑。
关注原理微信号:principia1687,可查看更多相关文章。