风速是天气监测中重要因素之一,用来测量风速的传感器被称为风速传感器,如我们常见的杯式风速传感器,超声波风速传感器,但有一种风速传感器虽不常见但应用广泛,这就是管道风速变送器。

以前通风管道风压、风速、风量测定方法
一、测定位置和测定点
(一)测定位置的选择
通风管道内风速及风量的测定,是通过测量压力换算得到。测得管道中气体的真实压力值,除了正确使用测压仪器外,合理选择测量断面、减少气流扰动对测量结果的影响很大。测量断面应尽量选择在气流平稳的直管段上。测量断面设在弯头、三通等异形部件前面(相对气流流动方向)时,距这些部件的距离应大于2倍管道直径。当测量断面设在上述部件后面时,距这些部件的距离应大于4~5倍管道直径。当测试现场难于满足要求时,为减少误差可适当增加测点。但是,测量断面位置距异形部件的最小距离至少是管道直径的1.5倍。
测定动压时如发现任何一个测点出现零值或负值,表明气流不稳定,该断面不宜作为测定断面。如果气流方向偏出风管中心线15°以上,该断面也不宜作测量断面(检查方法:毕托管端部正对气流方向,慢慢摆动毕托管,使动压值最大,这时毕托管与风管外壁垂线的夹角即为气流方向与风管中心线的偏离角)。
选择测量断面,还应考虑测定操作的方便和安全。
(二)测试孔和测定点
由于速度分布的不均匀性,压力分布也是不均匀的。因此,必须在同一断面上多点测量,然后求出该断面的平均值。
1圆形风道
在同一断面设置两个彼此垂直的测孔,并将管道断面分成一定数量的等面积同心环,对于圆形风道,测点越多,测量精度越高。
2矩形风道
可将风道断面划分为若干等面积的小矩形,测点布置在每个小矩形的中心,小矩形每边的长度为200mm左右,圆风管测点与管壁距离系数(以管径为基数)。
二、风道内压力的测定
(一)原理
测量风道中气体的压力应在气流比较平稳的管段进行。测试中需测定气体的静压、动压和全压。测气体全压的孔口应迎着风道中气流的方向,测静压的孔口应垂直于气流的方向。用U形压力计测全压和静压时,另一端应与大气相通(用倾斜微压计在正压管段测压时,管的一端应与大气相通,在负压管段测压时,容器开口端应与大气相通)。因此压力计上读出的压力,实际上是风道内气体压力与大气压力之间的压差(即气体相对压力)。大气压力一般用大气压力表测定。由于全压等于动压与静压的代数和,可只测其中两个值,另一值通过计算求得。
(二)测定仪器
气体压力(静压、动压和全压)的测量通常是用插入风道中的测压管将压力信号取出,在与之连接的压力计上读出,常用的仪器有毕托管和压力计。
1 毕托管
(1) 标准毕 托管
它是一个弯成90°的双层同心圆管,其开口端同内管相通,用来测定全压;在靠近管头的外壁上开有一圈小孔,用来测定静压,按标准尺寸加工的毕托管校正系数近似等于1。标准毕托管测孔很小,易被风道内粉尘堵塞,因此这种毕托管只适用于比较清洁的管道中测定。
(2)S型毕托管
它是由两根相同的金属管并联组成,测量时有方向相反的两个开口,测定时,面向气流的开口测得的相当于全压,背向气流的开口测得的相当于静压。由于测头对气流的影响,测得的压力与实际值有较大误差,特别是静压。因此,S型毕托管在使用前须用标准毕托管进行校正,S型毕托管的动压校正系数一般在0.82~0.85之间。S型毕托管测孔较大,不易被风道内粉尘堵塞,这种毕托管在含尘污染源监测中得到广泛应用。
2.压力计
(1)U形压力计
由U形玻璃管制成,其中测压液体视被测压力范围选用水、酒精或汞,U形压力计不适于测量微小压力。压力值由液柱高差读得换算,p值按下式计算:
p=ρgh (Pa) (2.8-1)式中p—压力,Pa;h—液柱差,mm;ρ—液体密度,g/cm3;
g—重力加速度,m/s2。
(2)倾斜式微压计
测压时,将微压计容器开口与测定系统中压力较高的一端相连,斜管与系统中压力较低的一端相连,作用于两个液面上的压力差,使液柱沿斜管上升,压力p按下式计算:
p=K·L(Pa)(2.8-2)式中L—斜管内液柱长度,mm;K—斜管系数,由仪器斜角刻度读得。
测压液体密度,常用密度为0.1g/cm3的乙醇。当采用其他密度的液体时,需进行密度修正。
(三)测定方法
1.试前,将仪器调整水平,检查液柱有无气泡,并将液面调至零点,然后根据测定内容用橡皮管将测压管与压力计连接。毕托管与U形压力计测量烟气全压、静压、动压的连接方法。
2测压时,毕托管的管嘴要对准气流流动方向,其偏差不大于5°,每次测定反复三次,取平均值。
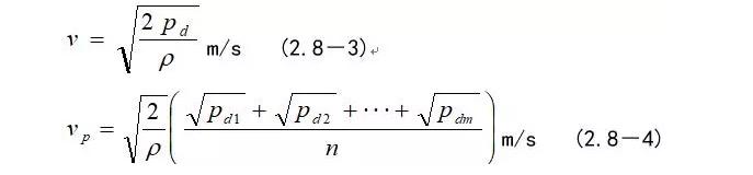
三、管道内风速测定
常用的测定管道内风速的方法分为间接式和直读式两类。
(一)间接式
先测得管内某点动压pd,可以计算出该点的流速v。用各点测得的动压取均方根,可以计算出该截面的平均流速vp。

式中pd—动压值,pdi断面上各测点动压值,Pa;vp—平均流速是断面上各测点流速的平均值。
此法虽较繁琐,由于精度高,在通风系统测试中得到广泛应用。
(二)直读式
常用的直读式测速仪是热球式热电风速仪,这种仪器的传感器是一球形测头,其中为镍铬丝弹簧圈,用低熔点的玻璃将其包成球状。弹簧圈内有一对镍铬—康铜热电偶,用以测量球体的温升程度。测头用电加热。由于测头的加热量集中在球部,只需较小的加热电流(约30mA)就能达到要求的温升。测头的温升会受到周围空气流速的影响,根据温升的大小,即可测出气流的速度。
仪器的测量部分采用电子放大线路和运算放大器,并用数字显示测量结果。测量的范围为0.05~19.0m/s(必要时可扩大至40m/s)。
仪器中还设有P-N结温度测头,可以在测量风速的同时,测定气流的温度。这种仪器适用于气流稳定输送清洁空气,流速小于4m/s的场合。
管道风速传感器测量风速、风量

我们可以通过风速(V)算出风量(L)的大小,如1小时内通过风量的计算公式为L=F*V*3600秒,公式中:F——风口通风面积(m²),V——测得的风口平均风速(m/s)。

通过配置软件设置风更方便我们的使用,将地址及波特率设置好,将管道截面积添加好之后,软件会自动计算出风速值和风量值。
广泛应用在油烟管道、通风管道、暖通空调进出风口等地方来测量风速和风量。